Powierzchnia Okres wynajmu Cena rynkowa w oparciu o

Transkrypt

Powierzchnia Okres wynajmu Cena rynkowa w oparciu o
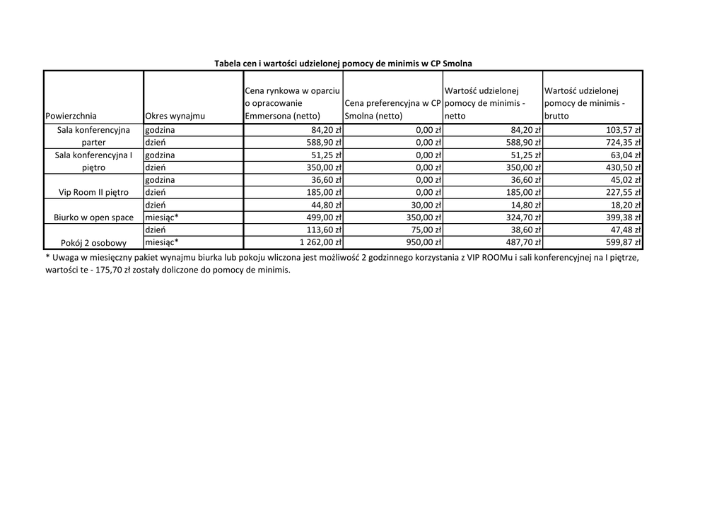
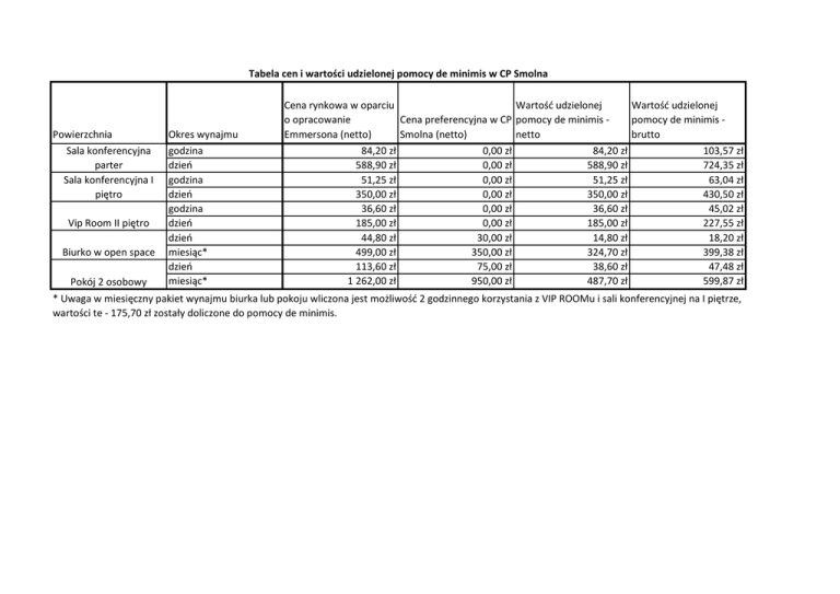
Tabela cen i wartości udzielonej pomocy de minimis w CP Smolna
Powierzchnia
Sala konferencyjna
parter
Sala konferencyjna I
piętro
Vip Room II piętro
Biurko w open space
Pokój 2 osobowy
Okres wynajmu
godzina
dzień
godzina
dzień
godzina
dzień
dzień
miesiąc*
dzień
miesiąc*
Cena rynkowa w oparciu
Wartość udzielonej
Wartość udzielonej
o opracowanie
Cena preferencyjna w CP pomocy de minimis pomocy de minimis Emmersona (netto)
Smolna (netto)
netto
brutto
84,20 zł
0,00 zł
84,20 zł
103,57 zł
588,90 zł
0,00 zł
588,90 zł
724,35 zł
51,25 zł
0,00 zł
51,25 zł
63,04 zł
350,00 zł
0,00 zł
350,00 zł
430,50 zł
36,60 zł
0,00 zł
36,60 zł
45,02 zł
185,00 zł
0,00 zł
185,00 zł
227,55 zł
44,80 zł
30,00 zł
14,80 zł
18,20 zł
499,00 zł
350,00 zł
324,70 zł
399,38 zł
113,60 zł
75,00 zł
38,60 zł
47,48 zł
1 262,00 zł
950,00 zł
487,70 zł
599,87 zł
* Uwaga w miesięczny pakiet wynajmu biurka lub pokoju wliczona jest możliwość 2 godzinnego korzystania z VIP ROOMu i sali konferencyjnej na I piętrze,
wartości te - 175,70 zł zostały doliczone do pomocy de minimis.