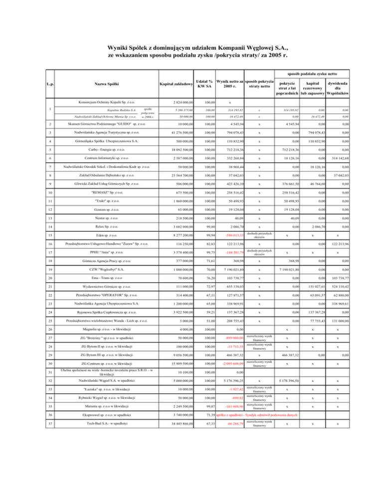
Wyniki Spółek z dominującym udziałem Kompanii Węglowej S.A., ze

Transkrypt

Wyniki Spółek z dominującym udziałem Kompanii Węglowej S.A., ze
Wyniki Spółek z dominującym udziałem Kompanii Węglowej S.A.,
ze wskazaniem sposobu podziału zysku /pokrycia straty/ za 2005 r.
sposób podziału zysku netto
L.p.
Udział % Wynik netto za sposób pokrycia
Kapitał zakładowy
KW SA
2005 r.
straty netto
Nazwa Spółki
Konsorcjum Ochrony Kopalń Sp. z o.o.
1
Kopalnie Rudzkie S.A.
Nadwiślański Zakład Ochrony Mienia Sp. z o.o.
spółki
połączone
w 2006 r.
dywidenda
kapitał
pokrycie
dla
rezerwowy
strat z lat
poprzednich lub zapasowy Wspólników
2 824 000,00
100,00
5 206 375,00
100,00
314 195,82
x
x
314 195,82
0,00
50 000,00
100,00
16 472,49
x
0,00
16 472,49
0,00
10 000,00
100,00
4 545,94
x
4 545,94
0,00
0,00
0,00
2
Skansen Górnictwa Podziemnego "GUIDO" sp. z o.o.
3
Nadwiślańska Agencja Turystyczna sp. z o.o.
41 276 500,00
100,00
794 078,43
x
0,00
794 078,43
0,00
4
Górnośląska Spółka Ubezpieczeniowa S.A.
500 000,00
100,00
110 852,90
x
0,00
110 852,90
0,00
5
Carbo - Energia sp. z o.o.
18 092 500,00
100,00
712 218,36
x
712 218,36
0,00
0,00
6
Centrum Informatyki sp. z o.o.
2 587 000,00
100,00
332 268,84
x
18 126,16
0,00
314 142,68
7
Nadwiślański Ośrodek Szkol. i Doskonalenia Kadr sp. z o.o.
50 000,00
100,00
38 968,44
x
0,00
18 126,16
0,00
8
Zakład Odsalania Dębieńsko sp. z o.o.
23 564 700,00
100,00
37 042,03
x
0,00
0,00
37 042,03
9
Gliwicki Zakład Usług Górniczych Sp. z o.o.
506 000,00
100,00
423 426,10
x
376 661,50
46 764,60
0,00
10
"REMASZ" Sp. z o.o.
675 500,00
100,00
258 516,42
x
258 516,42
0,00
0,00
11
"Trakt" sp. z o.o.
1 860 000,00
100,00
50 498,93
x
50 498,93
0,00
0,00
12
Gosrem sp. z o.o.
65 000,00
100,00
19 128,04
x
19 128,04
0,00
0,00
13
Nestor sp. z o.o.
218 500,00
100,00
40,09
x
40,09
0,00
0,00
14
Relax Sp. z o.o.
3 682 000,00
99,80
2 086,70
15
Eden sp. z o.o.
8 277 200,00
99,94
-586 013,33
16
Przedsiębiorstwo Usługowo-Handlowe "Żuraw" Sp. z o.o.
17
PPHU "Ania" sp. z o.o.
18
Górnicza Agencja Pracy sp. z o.o.
19
CZW "Węglozbyt" S.A.
20
Ema - Trans sp. z o.o
21
Wydawnictwo Górnicze sp. z o.o.
x
dochody przyszłych
okresów
116 250,00
82,83
122 213,96
x
3 578 400,00
99,75
-144 381,79
dochody przyszłych
okresów
377 000,00
71,61
368,98
1 000 000,00
70,00
70 600,00
76,20
111 000,00
0,00
x
2 086,70
x
0,00
x
0,00
x
0,00
x
122 213,96
x
x
368,98
0,00
0,00
7 190 021,80
x
7 190 021,80
0,00
0,00
103 738,77
x
0,00
0,00
103 738,77
72,97
655 138,03
x
0,00
131 027,61
524 110,42
22
Przedsiębiorstwo "OPERATOR" Sp. z o.o.
314 400,00
67,11
127 971,57
x
0,00
65 091,57
62 880,00
23
Nadwiślańka Agencja Ubezpieczeniowa S.A.
1 200 000,00
65,00
338 969,91
x
0,00
0,00
338 969,61
24
Rejonowa Spółka Ciepłownicza sp. z o.o.
3 922 500,00
59,21
137 367,28
x
0,00
137 367,28
0,00
25
Przedsiębiorstwo wielobranżowe Wanda - Lech sp. z o.o.
5 000,00
51,00
208 755,43
x
0,00
77 755,43
131 000,00
26
Magnolia sp. z o.o. - w likwidacji
4 000,00
100,00
0,00
27
ZG "Brzeziny " sp.z o.o. w upadłości
50 000,00
100,00
-899 000,00
nierozliczony wynik
finansowy
28
ZG Bytom II sp. z o.o. w likwidacji
100 000,00
100,00
-33 713,35
nierozliczony wynik
finansowy
29
ZG Bytom III sp. z o.o. w likwidacji
9 056 500,00
100,00
466 387,32
30
ZG Centrum sp. z o.o. w likwidacji
31
Uhelna spolećnost na wisle -hornicke investićni prace S.R.O. - w
likwidacji
32
Nadwiślański Węgiel S.A. w upadłości
15 809 500,00
100,00
-2 095 648,09
10 100,00
100,00
0,00
5 000 000,00
100,00
5 176 396,25
x
nierozliczony wynik
finansowy
x
x
x
x
x
x
x
x
x
x
466 387,32
x
5 176 396,50
0,00
0,00
x
x
x
x
33
"Łaziska" sp. z o.o. w likwidacji
10 000,00
100,00
-1 927,42
nierozliczony wynik
finansowy
x
x
x
34
Rybnicki Wegiel sp. z.o.o. w likwidacji
50 000,00
100,00
-899,82
nierozliczony wynik
finansowy
x
x
x
-161 608,96
nierozliczony wynik
finansowy
x
x
x
x
x
35
Maranta sp. z o.o w likwidacji
36
37
2 249 500,00
99,87
Ekoproswel sp. z o.o. w upadłości
3 740 000,00
71,39 spółka z upadłości - Syndyk odmówił podawania danych
Tech-Bud S.A.- w upadłości
34 445 866,00
67,33
-66 266,79
nierozliczony wynik
finansowy
x