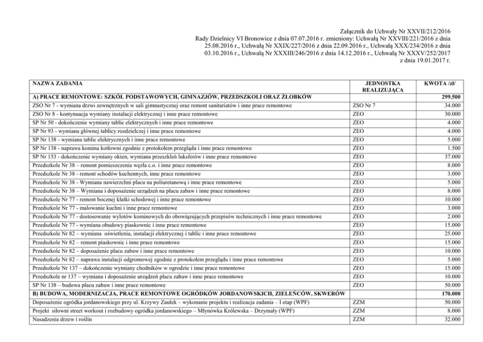
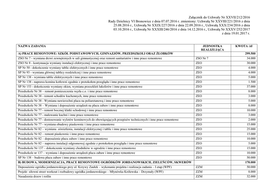
Załącznik do Uchwały Nr XXVII/212/2016 Rady

Transkrypt

Załącznik do Uchwały Nr XXVII/212/2016 Rady
Załącznik do Uchwały Nr XXVII/212/2016
Rady Dzielnicy VI Bronowice z dnia 07.07.2016 r. zmieniony: Uchwałą Nr XXVIII/221/2016 z dnia
25.08.2016 r., Uchwałą Nr XXIX/227/2016 z dnia 22.09.2016 r., Uchwałą XXX/234/2016 z dnia
03.10.2016 r., Uchwałą Nr XXXIII/246/2016 z dnia 14.12.2016 r., Uchwałą Nr XXXV/252/2017
z dnia 19.01.2017 r.
NAZWA ZADANIA
JEDNOSTKA
REALIZUJĄCA
KWOTA /zł/
A) PRACE REMONTOWE: SZKÓŁ PODSTAWOWYCH, GIMNAZJÓW, PRZEDSZKOLI ORAZ ŻŁOBKÓW
ZSO Nr 7 - wymiana drzwi zewnętrznych w sali gimnastycznej oraz remont sanitariatów i inne prace remontowe
ZSO Nr 8 - kontynuacja wymiany instalacji elektrycznej i inne prace remontowe
SP Nr 50 - dokończenie wymiany tablic elektrycznych i inne prace remontowe
SP Nr 93 - wymiana głównej tablicy rozdzielczej i inne prace remontowe
ZSO Nr 7
ZEO
ZEO
ZEO
SP Nr 138 - wymiana tablic elektrycznych i inne prace remontowe
SP Nr 138 - naprawa komina kotłowni zgodnie z protokołem przeglądu i inne prace remontowe
SP Nr 153 - dokończenie wymiany okien, wymiana przeszkleń luksferów i inne prace remontowe
Przedszkole Nr 38 – remont pomieszczenia węzła c.o. i inne prace remontowe
Przedszkole Nr 38 - remont schodów kuchennych, inne prace remontowe
Przedszkole Nr 38 - Wymiana nawierzchni placu na poliuretanową i inne prace remontowe
ZEO
ZEO
ZEO
ZEO
ZEO
ZEO
5.000
1.500
37.000
8.000
3.000
5.000
Przedszkole Nr 38 – Wymiana i doposażenie urządzeń na placu zabaw i inne prace remontowe
Przedszkole Nr 77 - remont bocznej klatki schodowej i inne prace remontowe
Przedszkole Nr 77 - malowanie kuchni i inne prace remontowe
Przedszkole Nr 77 - dostosowanie wylotów kominowych do obowiązujących przepisów technicznych i inne prace remontowe
Przedszkole Nr 77 - wymiana obudowy piaskownic i inne prace remontowe
Przedszkole Nr 82 – wymiana oświetlenia, instalacji elektrycznej i tablic i inne prace remontowe
ZEO
ZEO
ZEO
ZEO
ZEO
ZEO
8.000
10.000
3.000
2.000
15.000
25.000
Przedszkole Nr 82 – remont piaskownic i inne prace remontowe
Przedszkole Nr 82 – doposażenie placu zabaw i inne prace remontowe
Przedszkole Nr 82 – naprawa instalacji odgromowej zgodnie z protokołem przeglądu i inne prace remontowe
Przedszkole Nr 137 – dokończenie wymiany chodników w ogrodzie i inne prace remontowe
Przedszkole nr 137 – wymiana i doposażenie urządzeń placu zabaw i inne prace remontowe
SP Nr 138 – budowa placu zabaw i inne prace remontowe
ZEO
ZEO
ZEO
ZEO
ZEO
ZEO
15.000
10.000
5.000
15.000
10.000
50.000
ZZM
ZZM
ZZM
170.000
50.000
8.000
32.000
B) BUDOWA, MODERNIZACJA, PRACE REMONTOWE OGRÓDKÓW JORDANOWSKICH, ZIELEŃCÓW, SKWERÓW
Doposażenie ogródka jordanowskiego przy ul. Krzywy Zaułek – wykonanie projektu i realizacja zadania – I etap (WPF)
Projekt siłowni street workout i rozbudowy ogródka jordanowskiego – Młynówka Królewska – Drzymały (WPF)
Nasadzenia drzew i roślin
299.500
34.000
30.000
4.000
4.000
Przebudowa schodów w parku Młynówka Królewska przy przejściu dla pieszych przez ul. Przybyszewskiego – dokończenie projektu
i realizacja wg pozwolenia na budowę
C) BUDOWA, MODERNIZACJA, PRACE REMONTOWE MIEJSKIEJ INFRASTRUKTURY DROGOWEJ W ZAKRESIE
DRÓG WSKAZANYCH W WYKAZIE, O KTÓRYM MOWA W § 66 UST.1 STATUTU
Budowa przejścia na wały rzeki Rudawa (WPF)
Przebudowa drogi wewnętrznej przy ul Rydla 18-22 - wykonanie projektu (WPF)
ZIKiT
ZIKiT
ZIKiT
115.000
48.000
Dobudowa oświetlenia ul. Machaya (WPF)
Dobudowa oświetlenia na ul. Palmowej (WPF)
Wyniesienie przejścia dla pieszych na ul. Wesele (WPF)
Dobudowa oświetlenia chodnika stanowiącego dojście do bloku 71 przy ul. Racheli
Dobudowa wysięgnika na ul. Przesmyk wraz z oprawą typu LED na istniejącym słupie
Remonty dróg, chodników i oświetlenia:
 Remont ul. Machaya,
 Remont pobocza z wjazdami na ul. Katowickiej na odcinku od ul. Boya- Żeleńskiego do posesji nr 12c,
 Remont tarczy skrzyżowania ul. Przybyszewskiego z ul. Zapolskiej,
 Remont chodnika na ul. Katowickiej na odcinku od posesji nr 36 do posesji nr 48 włącznie,
 Remont zatoki postojowej na ul. Katowickiej usytuowanej przed wjazdem do Szkoły Podstawowej nr 50,
 Wykonanie nakładki asfaltowej na ul. Złoty Róg
Zatoki parkingowe przy ul. Bronowickiej (II etap)
ZIKiT
ZIKiT
ZIKiT
ZIKiT
ZIKiT
ZIKiT
45.000
36.000
80.900
19.000
4.000
402.702
ZIKiT
45.000
D) BUDOWA, MODERNIZACJA, PRACE REMONTOWE OSIEDLOWEJ INFRASTRUKTURY SPORTOWEJ I
REKREACYJNEJ
E) LOKALNE WYDARZENIA: OŚWIATOWE, KULTURALNE, SPORTOWE I REKREACYJNE
Organizacja imprez, uroczystości, konkursów i innych wydarzeń lokalnych dla całej dzielnicy z zakresu kultury.
80.000
795.602
0
96.200
12.000
Integracyjne Dni Bronowic
Zeszyty historyczno-literackie
CK Dworek
Białoprądnicki
CM im. H. Jordana
CM im. H. Jordana
Projekty edukacyjne
Organizacja wernisażu i druk katalogu na wystawę malarstwa z okazji Dni Bronowic
SP Nr 50 – Osadzanie chochoła
SP Nr 50 – Święto ul. Tetmajera
SP Nr 50 – Korowód Bronowicki
SP nr 50 – Wielkanoc w Bronowicach
CM im H Jordana
CM im. H Jordana
ZEO
ZEO
ZEO
ZEO
SP Nr 138 – Międzyszkolny Dzień Dziecka
SP Nr 138 – Międzyszkolny Konkurs Palm
ZEO
ZEO
7.000
1.000
SP Nr 138 – Międzyszkolny konkurs Szopek
ZEO
900
SP Nr 153 – Dzielnicowa Olimpiada Sześciolatka
SP Nr 138 – Międzyszkolny Konkurs „Brzechwałki”
SP Nr 153 – Międzyszkolny Konkurs pt. „Jestem genialnym dzieckiem, czyli pokaż co potrafisz?”
ZEO
ZEO
ZEO
800
1.000
2.000
25.000
3.000
2.000
3.000
1.000
12.000
3.000
1.000
SP Nr 93 – Międzyszkolna gra terenowa pt. „Śladami Młodej Polski w Bronowicach”
ZSO N 8 – organizacja zawodów sportowych w siatkówce
ZSO Nr 8 - Cykl zawodów sportowych dla dzieci i młodzieży „ od przedszkolaka do starszaka”
Wykonanie pomnika rtm. Witolda Pileckiego patrona ulicy
Organizacja kina letniego w amfiteatrze
F) PROGRAM POPRAWY BEZPIECZEŃSTWA DLA GMINY MIEJSKIEJ KRAKÓW „BEZPIECZNY KRAKÓW”
Komenda Miejska Państwowej Straży Pożarnej (JRG3) – zestaw ratownika medycznego KSRG do udzielania kwalifikowanej pomocy
przed medycznej
Komenda Miejska Państwowej Straży Pożarnej (JRG3) – zakup rzutnik multimedialny
Straż Miejska (Oddział Krowodrza) – zakup materiałów profilaktycznych
Straż Miejska (Oddział Krowodrza) – zakup nagród rzeczowych dla uczestników konkursów, festynów, akcji „Bezpieczne ferie” oraz
„Bezpieczne wakacje” organizowane na terenie dzielnicy
Straż Miejska (Oddział Krowodrza) – zakup sprzętu komputerowego i oprogramowania
Komenda Miejska Policji (Komisariat IV) – zakup materiałów dydaktyczno-profilaktycznych
Komenda Miejska Policji (Komisariat IV) – zakup testerów narkotykowych
Komenda Miejska Policji (Komisariat IV) – zakup wyposażenie i sprzętu takiego jak: aparaty fotograficzne, latarki, tarcze służące do
zatrzymywania pojazdów z podświetleniem i inne
Komenda Miejska Państwowej Straży Pożarnej (JRG3) – specjalistyczny fantom do przyrządowego udrażniania dróg oddechowych
Komenda Miejska Policji – Komisariat IV – dofinansowanie zakupu radiowozu oznakowanego
G) DZIELNICOWY PROGRAM WSPIERANIA OŚÓB NIEPEŁNOSPRAWNYCH
Zajęcia usprawniające w wodzie i na sali gimnastycznej dla dzieci i młodzieży niepełnosprawnej z fizjoterapeutą – konkurs ofert
Integracja społeczna osób niepełnosprawnych – konkurs ofert
Integracyjny Dzień Sportu z piknikiem rodzinnym EDF pn. „Dzień Różnorodności” oraz Integracyjne Dni Bronowic w ramach
Tygodnia Osób Niepełnosprawnych „Kocham Kraków z Wzajemnością”
Wykonanie przejść medialnych wg. wskazań dzielnicy
Spotkanie integracyjne dla osób niepełnosprawnych – mieszkańców dzielnicy
Spotkania integracyjne dla osób starszych i niepełnosprawnych – mieszkańców dzielnicy
Integracyjne wyjścia seniorów z niepełnosprawnością do teatru, kina i na koncerty (zakup biletów)
H) DZIELNICOWY PROGRAM OCHRONY ZDROWIA I PROFILAKTYKI ZDROWOTNEJ
Szczepienia przeciwko grypie dla mieszkańców po 65 r. życia dla mieszkańców dzielnicy.
I) DZIELNICOWY PROGRAM WSPIERANIA DZIAŁALNOŚCI MIEJSKICH PLACÓWEK: OŚWIATY, KULTURY,
SPORTU, POMOCY SPOŁECZNEJ I ZDROWIA
Filia Nr 23 Biblioteki Kraków – zakup książek
Filia Nr 24 Biblioteki Kraków – zakup książek
Klub Kultury Mydlniki – Dofinansowanie działalności zespołu” Mali Mydlniczanie”
Klub Kultury Mydlniki – Dofinansowanie działalności zespołu instrumentalnego
ZEO
ZEO
ZEO
CM im. H. Jordana
CM im. H. Jordana
1.500
1.500
8.000
6.000
4.500
KM PSP
40.500
6.000
KM PSP
3.000
SMMK
SMMK
2.000
2.000
SMMK
OC
OC
OC
5.500
2.000
1.000
4.000
KM PSP
OC
5.000
10.000
SO
89.759
6.000
SO
SO
10.000
14.760
ZIKiT
SO
MOPS
CM im. H. Jordana
24.259
9.240
10.500
15.000
BZ
12.000
12.000
152.700
Biblioteka Kraków – Filia
Nr 23
Biblioteka Kraków – Filia
Nr 24
CK Dworek
Białoprądnicki
CK Dworek
1.000
1.000
8.000
3.000
Przedszkole Nr 38 – zakup pomocy dydaktycznych i zabawek
Przedszkole Nr 77 – zakup pomocy dydaktycznych i zabawek
Przedszkole Nr 137 – zakup pomocy dydaktycznych i zabawek
Przedszkole Nr 82 – zakup pomocy dydaktycznych i zabawek
Klub Kultury Mydlniki –Klub Puchatek – zakup pomocy dydaktycznych i zabawek
SP Nr 50 – organizacja imprez szkolnych, zakup nagród, zakup książek do biblioteki, program zdrowego żywienia, dofinansowanie
wypoczynku letniego.
SP Nr 138 – organizacja imprez szkolnych, zakup nagród, zakup książek do biblioteki, program zdrowego żywienia, dofinansowanie
wypoczynku letniego.
SP Nr 93 – organizacja imprez szkolnych, zakup nagród, zakup książek do biblioteki, program zdrowego żywienia, dofinansowanie
wypoczynku letniego.
SP Nr 153 – organizacja imprez szkolnych, zakup nagród, zakup książek do biblioteki, program zdrowego żywienia, dofinansowanie
wypoczynku letniego.
ZSB Nr 1- Zakup książek do biblioteki, program zdrowego żywienia.
Białoprądnicki
ZEO
ZEO
ZEO
ZEO
CK Dworek
Białoprądnicki
ZEO
3.300
ZEO
4.000
ZEO
3.300
ZEO
3.300
ZSB Nr 1
600
600
600
600
300
750
ZSGDiGW- Zakup książek do biblioteki, program zdrowego żywienia.
ZSO Nr 7 Zakup książek do biblioteki, program zdrowego żywienia.
SP Nr 93 – program „Mój Trener”
Program „Aktywny Krakowianin”
Zakup przyborów i podręczników dla dzieci potrzebujących zamieszkałych na terenie dzielnicy VI
Zakup leków dla osób starszych i niepełnosprawnych zamieszkałych na terenie dzielnicy VI
ZSGDiGW
ZSO Nr 7
SP
SP
MOPS
MOPS
800
750
9.000
4.000
2.000
18.000
Dofinansowanie kosztów ogrzewania dla osób potrzebujących – mieszkańców dzielnicy VI
ZSO nr 8 – zakup książek do biblioteki, program zdrowego żywienia
Budowa tablic informacyjnych na trasie kulturowej Bronowice Małe-Mydlniki
KS Bronowianka – nagłośnienie hali sportowej i zakup dwóch wiat dla zawodników wraz z siedziskami
SP Nr 50 – Jubileusz 200 lat Oświaty Bronowickiej
Filia Nr 23 Biblioteki Kraków – renowacja biblioteki
MOPS
ZEO
PT
ZIS
ZEO
Biblioteka Kraków – Filia
Nr 23
CK Dworek
Białoprądnicki
8.000
800
10.000
18.000
11.000
35.000
Projekt „Projektownia” – warsztaty dla rodzin
5.000
J) WSPÓŁPRACA Z ORGANIZACJAMI POZARZĄDOWYMI DZIAŁAJĄCYMI NA OBSZARZE DZIELNICY
K) KOMUNIKACJA Z MIESZKAŃCAMI
Druk Biuletynu Rady Dzielnicy VI
BR
0
35.825
16.825
Redakcja Biuletynu Rady Dzielnicy VI
Kolportaż Biuletynu Rady Dzielnicy VI
Redagowanie strony internetowej Rady Dzielnicy VI
Doposażenie, remont tablic informacyjnych na terenie Dzielnicy VI
BR
BR
BR
ZIKiT
10.000
1.500
6.000
1.500
L) OBSŁUGA ADMINISTRACYJNO-BIUROWA
Ł INNE
Siłownia na wolnym powietrzu w Bronowicach w ramach Budżetu Obywatelskiego
Biblioteka - nowe oblicze w ramach Budżetu Obywatelskiego
ZZM
Biblioteka Kraków – Filia
Nr 23
ZZM
ZEO
BZ
CK Dworek
Białoprądnicki
Żywopłot przy ogródku jordanowskim obok ulicy Zarzecze w ramach Budżetu Obywatelskiego
Readaptacja sali sportowej SP nr 50 w Krakowie w ramach Budżetu Obywatelskiego
Mali Ratownicy w ramach Budżetu Obywatelskiego
Roztańczone Bronowice
SUMA:
0
99.185
67.500
12.300
5.000
4.945
2.500
6.940
1.791.271