Zestawienie praw do nazwy

Transkrypt

Zestawienie praw do nazwy
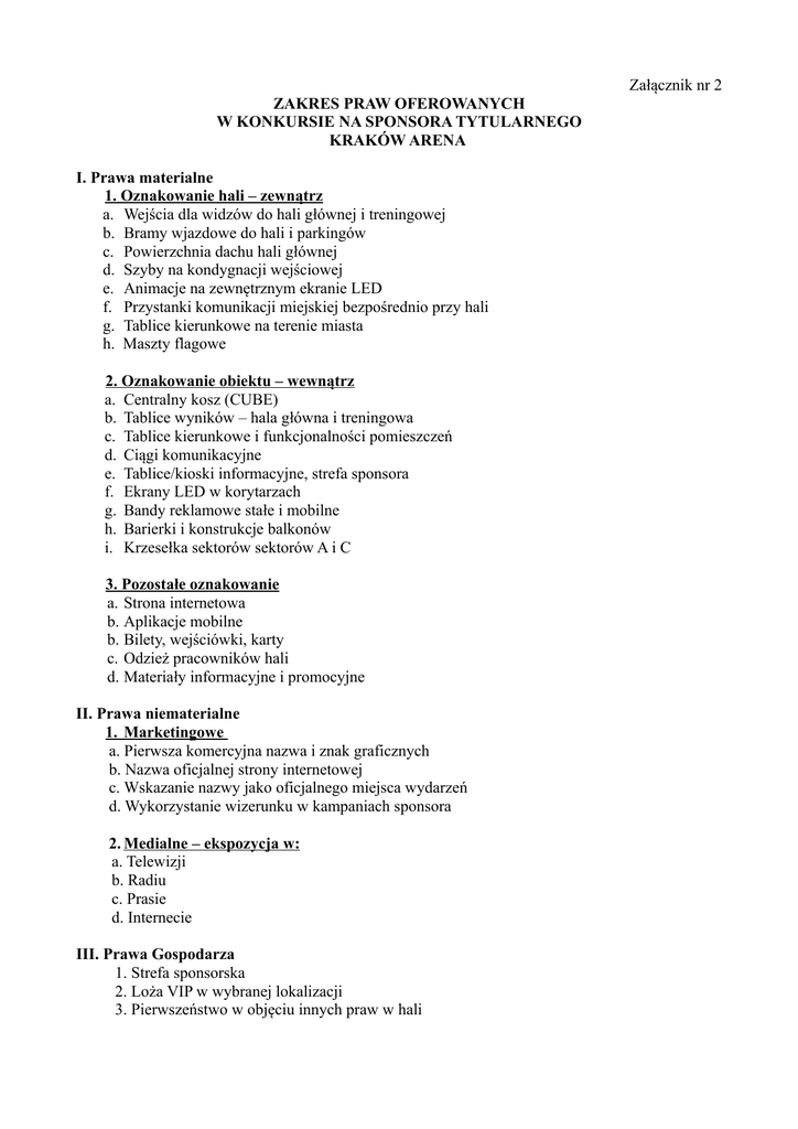
Załącznik nr 2
ZAKRES PRAW OFEROWANYCH
W KONKURSIE NA SPONSORA TYTULARNEGO
KRAKÓW ARENA
I. Prawa materialne
1. Oznakowanie hali – zewnątrz
a. Wejścia dla widzów do hali głównej i treningowej
b. Bramy wjazdowe do hali i parkingów
c. Powierzchnia dachu hali głównej
d. Szyby na kondygnacji wejściowej
e. Animacje na zewnętrznym ekranie LED
f. Przystanki komunikacji miejskiej bezpośrednio przy hali
g. Tablice kierunkowe na terenie miasta
h. Maszty flagowe
2. Oznakowanie obiektu – wewnątrz
a. Centralny kosz (CUBE)
b. Tablice wyników – hala główna i treningowa
c. Tablice kierunkowe i funkcjonalności pomieszczeń
d. Ciągi komunikacyjne
e. Tablice/kioski informacyjne, strefa sponsora
f. Ekrany LED w korytarzach
g. Bandy reklamowe stałe i mobilne
h. Barierki i konstrukcje balkonów
i. Krzesełka sektorów sektorów A i C
3. Pozostałe oznakowanie
a. Strona internetowa
b. Aplikacje mobilne
b. Bilety, wejściówki, karty
c. Odzież pracowników hali
d. Materiały informacyjne i promocyjne
II. Prawa niematerialne
1. Marketingowe
a. Pierwsza komercyjna nazwa i znak graficznych
b. Nazwa oficjalnej strony internetowej
c. Wskazanie nazwy jako oficjalnego miejsca wydarzeń
d. Wykorzystanie wizerunku w kampaniach sponsora
2. Medialne – ekspozycja w:
a. Telewizji
b. Radiu
c. Prasie
d. Internecie
III. Prawa Gospodarza
1. Strefa sponsorska
2. Loża VIP w wybranej lokalizacji
3. Pierwszeństwo w objęciu innych praw w hali
Szczegółowe zestawienie praw Sponsora Tytularnego zawiera poniższa tabela:
L.P.
1
Nazwa elementu
Parametry
Pozostałe informacje
Zakres
świadczenia
PRAWA MATERIALNE
1. NA ARENIE (trybuny, powierzchnia zawodów/imprez)
krawędzie ekranu CUBE / tablicy wyników
0,96m x10,1m
2
animacje na ekranie CUBE
spoty 5 – 30 sek.
3
4
5
bandy reklamowe (stałe) wokół areny
bandy reklamowe (mobilne) wokół areny
bandy reklamowe pomiędzy kondygnacjami B i C
200m x 2m
różne wymiary
200-250m x 0,6m
6
7
8
element na przedniej stronie oparcia siedziska
elementy na tylnej stronie oparcia siedziska
elementy na konstrukcji balkonów i barierek
15 tys. szt
15 tys. szt
200-250m x 0,5m
ilość nośników
% czasu
reklam
przy złożonych trybunach % powierzchni
wymaga zgody organizatora % powierzchni
z wyłączeniem lóż VIP (B) % powierzchni
element numeracji miejsc
materiały sponsorskie
poziom C
Ilość
3
10
50
10
50
ilość
ilość
%powierzchni
15000
15000
50
ilość
ilość
%powierzchni
%powierzchni
%powierzchni
%emisji
ilość
ilość
150
150
30
20
10
10
2
4
2. WNĘTRZE HALI WIDOWISKOWO - SPORTOWEJ (ciągi komunikacyjne)
9
10
11
12
13
14
15
16
17
tablice oznaczeń kierunkowych (np. -> sektor B1)
150 szt, do 20% pow.
tablice oznaczeń funkcjonalności pomieszczeń
150 szt, do 20% pow.
oznakowanie na schodach, klatkach schodowych
orientacja pionowa
podstopnice w 4 klatkach
elementy na podłodze w ciągach komunikacyjnych
ok.. 400m2 łącznie
przy wejściach (bez VIP)
elementy na ścianach w ciągach komunikacyjnych
ok.. 400m2 łącznie
bez powierzchni VIP
emisja spotów komercyjnych na ekranach LED
panele 15sek - 3 min
możliwość ustawienia"stoiska sponsorskiego"
powierzchnia 10m2
tablice informacyjne/kioski informacyjne
2 szt na kondygnację A i C
3. ELEWACJA HALI WIDOWISKOWO - SPORTOWEJ
krawędzie elewacji ekranu LED
8m x 2m
elementy podwieszane
18
animacje na ekranie LED
15sek - 3 min
filmy/spoty reklamowe
19
20
21
elementy na oznaczeniach wejść do Hali
szyby na kondygnacji wejściowej
korpus dachu Hali
do 20% pow.
obwód HWS 4m x 400m
średnica ok.: 80m
elementy podwieszane
folia one-way- vision
ilość
% czasu
reklam
ilość
%powierzchni
ilość
4
10
18
10
1
4. OTOCZENIE ZEWNĘTRZNE HALI WIDOWISKOWO - SPORTOWEJ
22
23
24
25
26
27
28
29
30
31
32
33
34
35
36
37
38
39
40
41
42
43
44
45
46
elementy na tablicach informacyjnych i kierunkowych
na dojazdowych arteriach do Hali
ok. 80 lokalizacji
rozmiar zgodnie z
Rozporządzeniem Ministra
Transportu i Infrastruktury
ilość
80
wjazdy na parkingi Hali
ok. 10 szt, do 20 % pow.
ilość
10
zgodnie z ilością
ilość
10
przyznanych miejsc
tablice informacyjne na promenadach dookoła Hali
do uzgodnienia
ilość
4
oznakowanie na przystankach komunikacji miejskiej
tablice z nazwą
ilość
2
5. INTERNET / NARZĘDZIA IT
strona główna Hali
logo w nagłówku
tak
podstrona sponsorska
link do strony sponsora
tak
podstrona do zakupu biletów na imprezy
link do strony sponsora
tak
podstrona do wirtualnego spaceru po Hali
wizualizacja reklam
tak
powierzchnia w aplikacji mobilnej Hali
link do strony sponsora
tak
6. POZOSTAŁE PRAWA MATERIALNE
powierzchnia na biletach i wejściówkach
5% powierzchni
tak
powierzchnie na kartach do płatności
5% powierzchni
tak
bezgotówkowych/lojalnościowych
powierzchnie na materiałach
wg projektu
plakaty promocyjne imprez
tak
promocyjnych/informacyjnych wydarzeń
powierzchnie na odzieży pracowników Hali
20 osób
ilość
20
powierzchnie dedykowane pod działalność usługowo –
dowolna aranżacja
% powierzchni
5
handlową
PRAWA NIEMATERIALNE
7. PRAWA MEDIALNE I PUBLICITY
ekspozycja w telewizji ogólnopolskiej i regionalnej
tak
ekspozycja w radiu
tak
ekspozycja w prasie ogólnopolskiej i regionalnej
tak
ekspozycja on-line na portalach internetowych
tak
8. PRAWA WIZERUNKOWE
prawo do kreacji marki - logo i wizerunku
tak
prawo do pierwszej nazwy Areny
tak
nazwa oficjalnej strony internetowej
tak
komunikacja online z zarejestrowanymi odbiorcami
tak
PRAWA GOSPODARZA
stała loża VIP z możliwością adaptacji, prawem
Ilość (miejsca
1-2(do 40)
pierwokupu biletów na imprezy
na trybunach)
wykorzystanie Hali na potrzeby sponsora
1 dzień bezpłatny w roku
tak
oznakowanie miejsc parkingowych dla sponsorów
47
powierzchnia restauracji do dyspozycji
podczas imprez własnych
tak
48
sala konferencyjna
10 bezpłatnych dni
tak
49
promenada zewnętrzna
podczas imprez własnych
tak
50
powierzchnia hali głównej/logotyp
na nawierzchni Hali
tak