Lp. Nazwa asortymentu Nazwa oferowanego leku Postać Dawka

Transkrypt

Lp. Nazwa asortymentu Nazwa oferowanego leku Postać Dawka
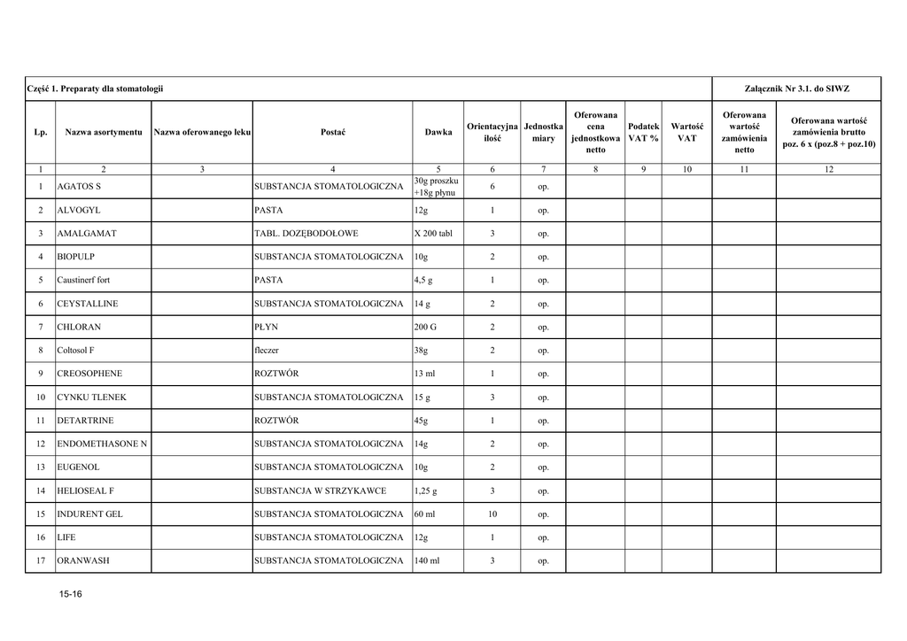
Część 1. Preparaty dla stomatologii
Zalącznik Nr 3.1. do SIWZ
Oferowana
cena
Orientacyjna Jednostka
Podatek
ilość
miary
jednostkowa VAT %
netto
Lp.
Nazwa asortymentu
Nazwa oferowanego leku
Postać
Dawka
1
2
3
4
5
30g proszku
+18g płynu
6
7
6
op.
1
AGATOS S
SUBSTANCJA STOMATOLOGICZNA
2
ALVOGYL
PASTA
12g
1
op.
3
AMALGAMAT
TABL. DOZĘBODOŁOWE
X 200 tabl
3
op.
4
BIOPULP
SUBSTANCJA STOMATOLOGICZNA
10g
2
op.
5
Caustinerf fort
PASTA
4,5 g
1
op.
6
CEYSTALLINE
SUBSTANCJA STOMATOLOGICZNA
14 g
2
op.
7
CHLORAN
PŁYN
200 G
2
op.
8
Coltosol F
fleczer
38g
2
op.
9
CREOSOPHENE
ROZTWÓR
13 ml
1
op.
10
CYNKU TLENEK
SUBSTANCJA STOMATOLOGICZNA
15 g
3
op.
11
DETARTRINE
ROZTWÓR
45g
1
op.
12
ENDOMETHASONE N
SUBSTANCJA STOMATOLOGICZNA
14g
2
op.
13
EUGENOL
SUBSTANCJA STOMATOLOGICZNA
10g
2
op.
14
HELIOSEAL F
SUBSTANCJA W STRZYKAWCE
1,25 g
3
op.
15
INDURENT GEL
SUBSTANCJA STOMATOLOGICZNA
60 ml
10
op.
16
LIFE
SUBSTANCJA STOMATOLOGICZNA
12g
1
op.
17
ORANWASH
SUBSTANCJA STOMATOLOGICZNA
140 ml
3
op.
15-16
8
9
Wartość
VAT
Oferowana
wartość
zamówienia
netto
Oferowana wartość
zamówienia brutto
poz. 6 x (poz.8 + poz.10)
10
11
12
18
ORTHOPRINT
SUBSTANCJA STOMATOLOGICZNA
500 g
8
op.
19
RACESTYPINE
ROZTWÓR
13 ml
1
op.
20
THIXOFLEX M
SUBSTANCJA STOMATOLOGICZNA
140 ml
5
op.
21
WYTRAWIACZ
SUBSTANCJA W STRZYKAWCE
13 g
3
op.
22
XRV HERCULITE
AMPUŁKOSTRZYKAWKA
5g
1
op.
23
ZETA PLUS
SUBSTANCJA STOMATOLOGICZNA
900 ml
1
op.
Razem
Oferowana wartość zamówienia netto ................................................zł Słownie ............................................................................................................................
Oferowana wartość zamówienia brutto ..............................................zł Słownie ............................................................................................................................
w tym kwota podatku VAT:……….…………………..…..…..……..zł Słownie: …………………………………………………………….
………………………………………, dnia………………………………
15-16
…………………………………………………..
podpis i pieczęc osoby/osób uprawnionych do
reprezentowania Wykonawcy
Część 2. Gąbka implant
Zalącznik Nr 3.2. do SIWZ
Lp.
Nazwa
asortymentu
Nazwa
oferowanego leku
Postać
Dawka
1
2
3
4
5
1 GENTAMICIN
GĄBKA 0,13 G siarczanu gentamycyny
Orientacyjna Jednostka
ilość
miary
6
7
24
op.
Oferowana
cena
jednostkowa
netto
Podatek
VAT %
Wartość
VAT
8
9
10
Oferowana
Oferowana wartość
wartość
zamówienia brutto
zamówienia
poz. 6 x (poz.8 + poz.10)
netto
11
12
Razem
Oferowana wartość zamówienia netto ................................................zł Słownie ............................................................................................................................
Oferowana wartość zamówienia brutto ..............................................zł Słownie ............................................................................................................................
w tym kwota podatku VAT:……….…………………..…..…..……..zł Słownie: …………………………………………………………….
………………………………………, dnia………………………………
17
…………………………………………………..
podpis i pieczęc osoby/osób
uprawnionych do reprezentowania
Część 3. Leki z grupy N
Lp.
Zalącznik Nr 3.3. do SIWZ
Nazwa
Nazwa
asortymentu oferowanego leku
1
2
3
Postać
Dawka
4
5
Oferowana
Orientacyjna Jednostka
cena
Podatek
Wartość VAT
ilość
miary jednostkowa VAT %
netto
6
7
1
FENTANYL
INJ.
0,1 MG/2 MLx50
80
op.
2
FENTANYL
INJ.
0,5 MG/10 ML x50
5
op.
3
FENTANYL
SYSTEM TRANSDERMALNY 0,025 MG/1 H
50
szt.
4
MORPHINE
INJ.
0,02 G/1 MLX10
50
op.
5
MORPHINE
SUBST.
1G
2
op.
6
MORPHINE
INJ.
0,01 G/1 MLX10
40
op.
7
PETHIDINE
INJ.
0,1 G/2 ML X10
100
op.
8
9
10
Oferowana
wartość
zamówienia
netto
Oferowana wartość
zamówienia brutto
poz. 6 x (poz.8 + poz.10)
11
12
Razem
Oferowana wartość zamówienia netto ................................................zł Słownie ............................................................................................................................
Oferowana wartość zamówienia brutto ..............................................zł Słownie ............................................................................................................................
w tym kwota podatku VAT:……….…………………..…..…..……..zł Słownie: …………………………………………………………….
………………………………………, dnia………………………………
18
…………………………………………………..
podpis i pieczęc osoby/osób uprawnionych
do reprezentowania Wykonawcy
Część 4. Leki róŜne
Zalącznik Nr 3.4. do SIWZ
Oferowana
cena
Orientacyjna Jednostka
Podatek
ilość
miary
jednostkowa VAT %
netto
Lp.
Nazwa asortymentu
Nazwa oferowanego leku
Postać
Dawka
1
2
3
4
5
6
7
1 kg
30
op.
1
Bocheńska sól lecznicza
Substancja sypka
2
ESTRADIOL
SYSTEM
TRANSDERMALNY
0,05 MG/24 H
24
op.
3
MACROGOLS
PROSZEK -> PŁYN
64 G x 4
10
op.
4
POTASSIUM
PERMANGANATE
TABL.
0,1 G x 30
10
op.
5
RIFAXIMIN
TABL. POWL.
0,2 G
24
op.
6
SULODEXIDE
INJ.
600 J. LS/2 ML x 10
10
op.
8
9
Wartość
VAT
Oferowana
wartość
zamówienia
netto
Oferowana wartość
zamówienia brutto
poz. 6 x (poz.8 + poz.10)
10
11
12
Razem
Oferowana wartość zamówienia netto ................................................zł Słownie ............................................................................................................................
Oferowana wartość zamówienia brutto ..............................................zł Słownie ............................................................................................................................
w tym kwota podatku VAT:……….…………………..…..…..……..zł Słownie: …………………………………………………………….
………………………………………, dnia………………………………
19
…………………………………………………..
podpis i pieczęc osoby/osób uprawnionych
do reprezentowania Wykonawcy
Część 5. Artykuły gumowe
Zalącznik Nr 3.5. do SIWZ
Lp.
Nazwa asortymentu
Nazwa
oferowanego leku
1
2
3
Oferowana
Jednostka
cena
Podatek
miary
jednostkowa VAT %
netto
Postać
Dawka
Orientacyjna
ilość
4
5
6
7
Artykuł
gumowy
Nr 2
30
szt.
1
Gruszka medyczna z miękkim
końcem
2
Smoczek nakładany na butelkę z
odpowietrzacze Ala
SMOCZEK
x 2 szt
30
op.
3
Smoczek nakładany na butelkę z
odpowietrzaczem Ola
SMOCZEK
x 2 szt
20
op.
8
9
Wartość
VAT
Oferowana
Oferowana wartość
wartość
zamówienia brutto
zamówienia
poz. 6 x (poz.8 + poz.10)
netto
10
11
12
Razem
Oferowana wartość zamówienia netto ................................................zł Słownie ............................................................................................................................
Oferowana wartość zamówienia brutto ..............................................zł Słownie ............................................................................................................................
w tym kwota podatku VAT:……….…………………..…..…..……..zł Słownie: …………………………………………………………….
………………………………………, dnia………………………………
20
…………………………………………………..
podpis i pieczęc osoby/osób
uprawnionych do reprezentowania
Część 6. Paski do glukometrów
Zalącznik Nr 3.6. do SIWZ
Lp.
Nazwa asortymentu
Nazwa oferowanego
leku
1
2
3
1 Accu-Chec GO
Oferowana
Orientacyjna Jednostka
cena
Podatek
Dawka
ilość
miary
jednostkowa VAT %
netto
Postać
4
5
6
7
Pasek testowy
x 50
120
op.
2
Accu-Chek Activ Test
paskowy x 50
Pasek testowy
60
op.
3
Ascensia Entrust Test
Paskowy
Pasek testowy x 50 szt
80
op.
8
9
Wartość
VAT
Oferowana
wartość
zamówienia
netto
Oferowana wartość
zamówienia brutto
poz. 6 x (poz.8 + poz.10)
10
11
12
Razem
Oferowana wartość zamówienia netto ................................................zł Słownie ............................................................................................................................
Oferowana wartość zamówienia brutto ..............................................zł Słownie ............................................................................................................................
w tym kwota podatku VAT:……….…………………..…..…..……..zł Słownie: …………………………………………………………….
………………………………………, dnia………………………………
21
…………………………………………………..
podpis i pieczęc osoby/osób uprawnionych
do reprezentowania Wykonawcy
Część 7. Gąbki Ŝelatynowe
Lp.
Nazwa asortymentu
1
2
Zalącznik Nr 3.7. do SIWZ
Nazwa oferowanego
Postać
leku
3
4
Dawka
5
Oferowana
cena
Podatek
Orientacyjna Jednostka
Wartość VAT
ilość
miary
jednostkowa VAT %
netto
6
7
1 ABSORBABLE GELATIN SPONGE
GĄBKA 80X50X1 mm x 20
10
op.
2 ABSORBALE GELATIN SPONGE
GĄBKA 80X50X10MM x 10
20
op.
3 GĄBKA śELATYNOWA
GĄBKA
15
op.
1*1*1 X 24
8
9
10
Oferowana
wartość
zamówienia
netto
Oferowana wartość
zamówienia brutto
poz. 6 x (poz.8 + poz.10)
11
12
Razem
Oferowana wartość zamówienia netto ................................................zł Słownie ............................................................................................................................
Oferowana wartość zamówienia brutto ..............................................zł Słownie ............................................................................................................................
w tym kwota podatku VAT:……….…………………..…..…..……..zł Słownie: …………………………………………………………….
………………………………………, dnia………………………………
22
…………………………………………………..
podpis i pieczęc osoby/osób uprawnionych
do reprezentowania Wykonawcy