koniec z uszkodzonym ABS em

Transkrypt

koniec z uszkodzonym ABS em
koniec z uszkodzonym ABS em
Autor: dominika - 2006/09/26 01:08
_____________________________________
Witam
Niedawno zwraca³am siê z zapytaniem na forum o uszkodzony ABS, podpowiedziano mi aby zresetowaæ uk³ad ,co
uczyni³am .Nic nie pomog³o , trochê poszpera³am i co nieco znalaz³am - jak przy pomocy omomnierz ( dobrze
wykalibrowany )ustaliæ co jest uszkodzone w uk³adzie ABS , przyznam siê szczerze ¿e usterki ( by³y dwie )
znale¿li¶my z pomoc± zaprzyja¿nionego elektryka , ale diagnostyka jest bardzo prosta, oto t³umaczenie , co prawda
dosæ niechlujne ale mo¿liwe ¿e komu¶ pomo¿e
"To jest nieco informacji jak odkryæ co powoduje b³±d u¿ywaj±cy dobrego omomnierza . To jest napisane na bazowany
na ABS I. ABS II jest podobny, ale ma ró¿ne kody.
Na moim K75 diagnostyczna wtyczka jest umieszczona na stronie prawa motoru pod bocznym panelem. To wtyczka do
niebieska "za¶lepka" . S± trzy piny na tej wtyczce. Nie by³em zdolny, by dostrzegaæ jakie¶ napiêcie na zewnêtrznych,
numer 1 i 3 piny.
Centrum, numeruj 2, jest to szpilka , gdzie kody b³êdu s± wskazywaæ. Ta szpilka ma oko³o 0.5 do 0.75 wolta gdy motor
jest wy³±czony. Kiedy zap³on jest w³±czony, wzrosty napiêcia do oko³o 10 wolta. Kiedy wszystko jest dobre, to
pozostaje 10 v. Jednak¿e, je¶li jest b³±d, to spada do blisko zero . Kiedy jest b³±d, bardzo tak czêsto, impulsy
napiêciowe spadaj± w dó³ do 0 wolta. Numer pulsów, wskazuje numer b³êdu. Inaczej mówi±c , je¶li to pulsuje na dó³ 4
razy, to wskazuje, ¿e jest problem z numerem kodu b³êdu 4 . Pulsowanie te¿ zdarza siê kiedy zap³on jest pierwszy
w³±czony i napiêcie podnosi siê do ~ 10 wolta, ale to jest ³atwiejsze, by zauwa¿aæ kiedy to zdarza siê okresowo .
By³em w stanie siê, by widzieæ pulsy ³atwo u¿ywaj±ce analogowy metr. To mo¿e te¿ zostaæ zauwa¿one u¿ywaj±c
cyfrowy woltomierz.
Z numerem kodu b³êdu, usuwanie b³êdów mo¿e i¶æ dalej.
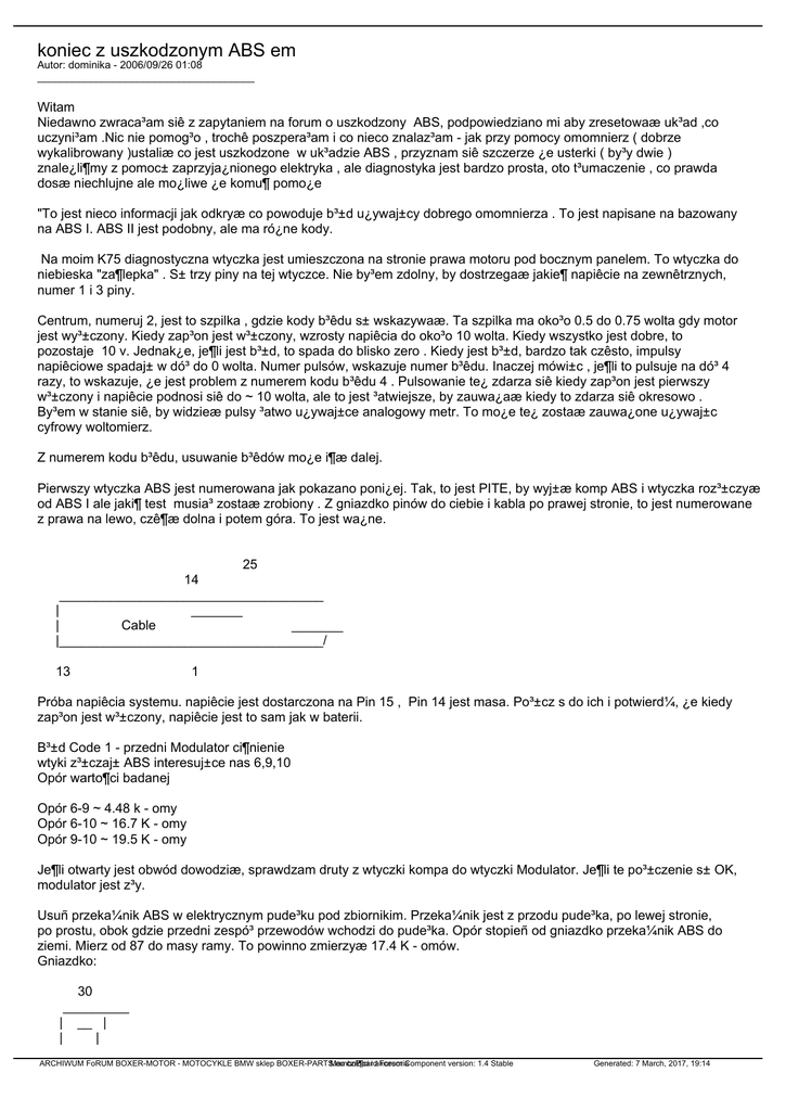
Pierwszy wtyczka ABS jest numerowana jak pokazano poni¿ej. Tak, to jest PITE, by wyj±æ komp ABS i wtyczka roz³±czyæ
od ABS I ale jaki¶ test musia³ zostaæ zrobiony . Z gniazdko pinów do ciebie i kabla po prawej stronie, to jest numerowane
z prawa na lewo, czê¶æ dolna i potem góra. To jest wa¿ne.
25
14
____________________________________
|
_______
|
Cable
_______
|____________________________________/
13
1
Próba napiêcia systemu. napiêcie jest dostarczona na Pin 15 , Pin 14 jest masa. Po³±cz s do ich i potwierd¼, ¿e kiedy
zap³on jest w³±czony, napiêcie jest to sam jak w baterii.
B³±d Code 1 - przedni Modulator ci¶nienie
wtyki z³±czaj± ABS interesuj±ce nas 6,9,10
Opór warto¶ci badanej
Opór 6-9 ~ 4.48 k - omy
Opór 6-10 ~ 16.7 K - omy
Opór 9-10 ~ 19.5 K - omy
Je¶li otwarty jest obwód dowodziæ, sprawdzam druty z wtyczki kompa do wtyczki Modulator. Je¶li te po³±czenie s± OK,
modulator jest z³y.
Usuñ przeka¼nik ABS w elektrycznym pude³ku pod zbiornikim. Przeka¼nik jest z przodu pude³ka, po lewej stronie,
po prostu, obok gdzie przedni zespó³ przewodów wchodzi do pude³ka. Opór stopieñ od gniazdko przeka¼nik ABS do
ziemi. Mierz od 87 do masy ramy. To powinno zmierzyæ 17.4 K - omów.
Gniazdko:
30
_________
| __ |
|
|
ARCHIWUM FoRUM BOXER-MOTOR - MOTOCYKLE BMW sklep BOXER-PARTS.eu
MamboBoard
czê¶ci i akcesoria
Forum Component version: 1.4 Stable
Generated: 7 March, 2017, 19:14
87 | | __ | 86
| | __ |
|_________|
85
Jeszcze raz, je¶li to jes obwod otwarty od gniazdka do wtyczki Modulatora. Wtedy sprawd¼ od koñcówki 31 Modulatora
do masy. Znów, je¶li instalacja jest dobra, modulator jest z³y.
Z zap³onem wy³±czonym, Pin kontakt gniazdko przeka¼nik ABS 30 powinien byæ tkie samo jako napiêcie baterii. Je¶li
nie, sprawd¼ ten punkt po³±czenia czy jest pewny i czerwony drut od baterii do punktu po³±czenia 30.
B³±d Code 2 - Ty³ Modulator Ci¶nienie
wtyki z³±czaj± ABS interesuj± nas 7,11,12
Opór warto¶ci badanej
Opór 7-11 ~ 4.48 K - omy
Opór 7-12 ~ 16.7 K - omy
Opór 11-12 ~ 19.5 K - omy
Je¶li otwarty jest obwód sygna³owy, sprawdzaj druty z wtyczki kompa do wtyczki Modulatora. Je¶li te zwi±zki s± OK,
modulator jest z³y.
Usuñ przeka¼nik ABS w elektrycznym pude³ku pod zbiornikiem. Przeka¼nik jest przed pude³kiem, po lewej stronie,
dok³adnie, obok gdzie przedni zespó³ przewodów wchodzi do pude³ka. Opór miary od gniazdk przekaznika ABS do masy.
Mierz od 87 do masy ramy. To powinno mierzyæ 17.4 K - omów.
Znów, je¶li to jest otwartyobwód kontroluj od gniazdka do wtyczki Modulatora. Wtedy sprawd¼ od koñcówki 31
Modulatora do masy. Znów, je¶li instalacja jest dobra, modulator jest z³y.
Z zap³onem wy³±czonym, po³±czenie gniazdko ABS przeka¼nik Pin 30 powinien byæ tak samo jako napiêcie baterii.
Je¶li nie, sprawd¼ czy punkt po³±czenia jest pewny i czerwony drut od baterii do punktu po³±czenia 30.
B³±d Code 3 - Sensor Prêdko¶æ ko³a przedniego
wtyki z³±czaj± ABS interesuj± nas1,2
Opór warto¶ci badanej
Opór 1-2 ~ 135 +/-20 omu
Je¶li odczyt jest obwodem otwartym, mierz opór od wtyki po³±czaj±c ABS 1 i 2 do masy. To powinno byæ obwodem
otwartym. Je¶li to nie jest, sprawdzaj± instalacjê do sensora szybko¶ci. Je¶li instalacja jest OK, sensor jest zwarty
wewnêtrznie i to bêdzie potrzebowa³o zostaæ zast±pione innym.
Je¶li czytanie oporu jest nie poprawne, sprawdzam przewody od szpilek 1 i 2 do sensora szybko¶ci ko³a przedniego i
po³±czenia wtykowego w sensorze szybko¶ci ko³a przedniego. Je¶li instalacja jest dobra, sensor szybko¶ci jest z³y i
potrzebuje zamianê.
Je¶li czytanie oporu jest poprawne, zastêpuj± kompa ABS.
B³±d Code 4 - Sensor prêdko¶ci ko³a tylnego
wtyki z³±czaj± ABS interesuj± nas3,4
Opór warto¶ci badanej
Opór 3-4 ~ 135 +/-20 omu
Je¶li odczyt jest obwodem otwartym, mierzymy rezystancje od wtyki ABS 3 i 4 do masy. To powinno byæ obwodem
otwartym. Je¶li to nie jest, sprawdzaj± instalacjê do sensora szybko¶ci, je¶li instalacja jest OK, sensor jest zwarty
wewnêtrznie i to bêdzie potrzebowa³ zostaæ zast±piony.
Je¶li odczyt rezystancji jest nie poprawny, sprawdzam po³±czenie od szpilek 3 i 4 do sensora szybko¶ci ko³a tylnego i
po³±czenia wtykowego w tyle sensora szybko¶ci ko³a. Je¶li instalacja jest dobra, sensor szybko¶ci jest z³y i potrzebuje
zamianê.
Je¶li czytanie oporu jest poprawne, wymieniæ komp ABS.
B³±d Code 5 - Voltage Battery Zbyt nizki
pr±d (~ 12.6 V) jest zasilany na Pin 15 oraz Pin 14 który jest masowy. pod³±czaj do ich i potwierd¼, ¿e kiedy zap³on jest
w³±czony, napiêcie jest to sam jako w baterii.
Je¶li nie: Sprawd¼ ³adowanie baterii i jej kondycjê( próba obci±¿enia.) Sprawdz szpilkê 14, by dobrze po³±czyæ do
ziemi. Sprawd¼ bateriê, ramê i silnik. Sprawd¼ pin wtyczki ABS 15 wzglêdem terminalu stacyjki zap³onu 15.
ARCHIWUM FoRUM BOXER-MOTOR - MOTOCYKLE BMW sklep BOXER-PARTS.eu
MamboBoard
czê¶ci i akcesoria
Forum Component version: 1.4 Stable
Generated: 7 March, 2017, 19:14
Sprawdzenie po³±czenie od bateria plus wtyczki do stacyjki.
Je¶li wszystka instalacja jest OK, wymieniaj komp ABS.
B³±d Code 6 - przeka¼nik ABS
wtyki z³±czaj± ABS17,19
Opór warto¶ci badanej
Opór 17-19 < 92 OMÓW ( mniej ni¿ 92 OMÓW)
Je¶li obwód jest otwarty to ABS pin17 dopod³±cz do przeka¼nika ABS 86 i sprawd¼ pin wtyczki ABS 19 do po³±czenia
terminalu gniazdka przeka¼nik ABS 85. je¶li instalacja jest dobra, wtedy sprawdzaæ przeka¼nik.
Je¶li opór jest wy³±czony, zmierz miêdzy koñcówkami przeka¼nik 85 i 86. Je¿eli to nie jest poni¿ej 92 omów, wymieniaæ
przeka¼nik.
B³±d Code 7 - Zespó³ Controli ABS
wtyki z³±czaj± ABS zainteresowania 1,3,17
Opór warto¶ci badanej
Obwód otwarty oporu, do masa.
Mierze miêdzy ka¿dy± ze szpilek i ziemi±, to powinno wskazywaæ obwód otwarty. pin 1 jest obwód szybko¶ci ko³a
przedniego i powinien byæ po³±czony do obudowy sensora szybko¶ci. pin3 jest obwód szybko¶ci ko³a tylnego i powinien
byæ pod³±czony do os³ony sensora szybko¶ci. pin 17 jest koñcówk± gniazdka przeka¼nika ABS 86 i powinien byæ
obwodem otwartym do masy. Równie¿, od Pin 17 do terminal gniazdka przeka¼nika ABS 86, to powinno byæ
zamkniêtym obwodem.
Je¶li te wskazania s± poprawne, komp ABS jest z³y.
(W co najmniej jeden przyk³ad, który ABS utworzy³ z b³êdami, pokazuje komp ABS, ale to resetuje i pracuje czysto
potem. W takim razie, mog³yby byæ jakie¶ warunki, które s± przerywane i siê lecz±cy. w takim razie, znaj±c jak zresetowaæ
mózg i widzieæ, czy to wyleczy³o siê, móg³bym uratowaæ tobie WI¡ZKÊ PIENIÊDZY.)
B³±d Code 8 - Zewnêtrzne oddzia³ywanie ( indukcja)
Przerwa sensora szybko¶ci
Ten b³±d mo¿e zostaæ spowodowany przez niskie napiêcie baterii, sensor szybko¶ci ko³a , albo niepoprawn± przerwê
sensora szybko¶ci.
Napiêcie baterii ju¿ zosta³o przetestowane do teraz, testowanie kolejno. Chwyæ i sprawd¼, ¿e sensory s± niezawodne.
Sprawd¼ szczeliny sensora szybko¶ci. Moja nalepka ko³a przedniego mówi 0.35-0.65 mm. Jednak¿e instrukcja obs³ugi
i instrukcja obs³ugi dla w³a¶ciciela powiedzieæ, ¿e to powinno mieæ 0.60 lat-0.65 mm przodu i ty³y. To ma zostaæ
zmierzone, gdzie punkt dziurka przecinaka jest na sensor szybko¶ci ( przek³adni zêbatej).
kontrolka os ABS jest stale w³±czona
wtyki z³±cza ABS zainteresowanie 18,19
Opór warto¶ci badanej
Opór 18-19 110 +/-20 omu
Je¶li to jest nie poprawne, sprawdzamy od pin wtyczki ABS 18 do terminalu przeka¼nika ostrze¿enia ABS 86 i,
sprawdzam od pin wtyczki ABS 19 do terminalu przeka¼nika kontrolki ABS 85. ( przeka¼nik kontrolki ABS jest w
elektrycznym pude³ku, przednim prawejstronie , po prostu w prawo wej¶cia zespo³u przewodów. ustawienie koñcówek
przeka¼nik i numerowania s± ró¿ne od przeka¼nika ABS.)
Gniazdko:
___________
| ___ | 30
| ___ | 87a
|
|
| | | |
86 | | | | 85
|___________|
Instalacja nie powinna mieæ faktycznie ¿adnego oporu do gniazdka. Opór przeka¼nika cewki miêdzy szpilkami 86 i 85
powinny mieæ 110 +/-20 omów.
ARCHIWUM FoRUM BOXER-MOTOR - MOTOCYKLE BMW sklep BOXER-PARTS.eu
MamboBoard
czê¶ci i akcesoria
Forum Component version: 1.4 Stable
Generated: 7 March, 2017, 19:14
pin wtyczki ABS zainteresowanie 5
Opór warto¶ci badanej
Obwód otwarty oporu, do masy.
mierzyæ od pin wtyczki ABS 5 do masy.
Je¶li to jest obwód otwarty wymieniaæ komp. Je¶li obwód otwarty nie jest wskazany, pin 5 sprawdzaj do prze³±cznik
elektrycznego ABS. Je¶li instalacja jest dobra, zastêpuj± wy³±cznik elektryczny ABS."
dominika
:kiss:
============================================================================
ARCHIWUM FoRUM BOXER-MOTOR - MOTOCYKLE BMW sklep BOXER-PARTS.eu
MamboBoard
czê¶ci i akcesoria
Forum Component version: 1.4 Stable
Generated: 7 March, 2017, 19:14