Pobierz Oświadczenie dla Rodziców
Transkrypt
										Pobierz Oświadczenie dla Rodziców
                                        
                                        
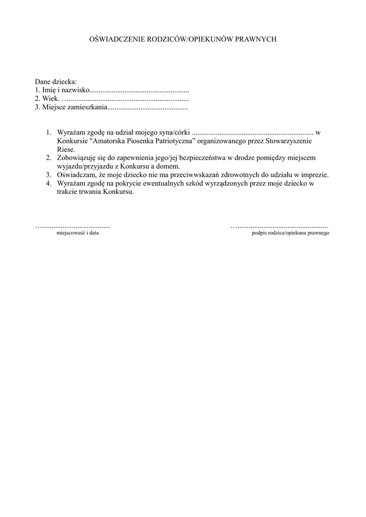
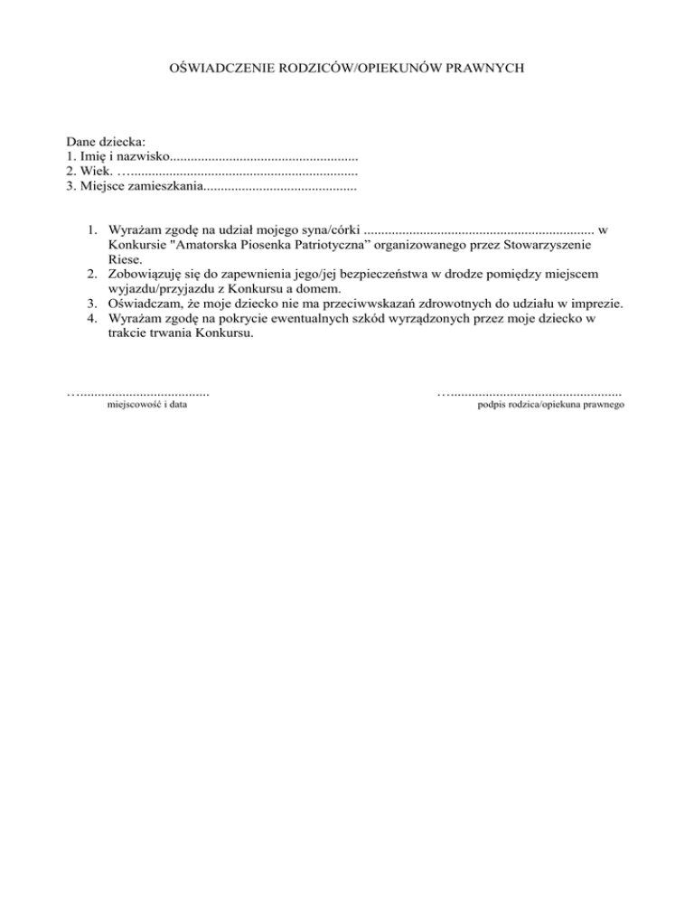
                                OŚWIADCZENIE RODZICÓW/OPIEKUNÓW PRAWNYCH Dane dziecka: 1. Imię i nazwisko...................................................... 2. Wiek. …................................................................. 3. Miejsce zamieszkania............................................ 1. Wyrażam zgodę na udział mojego syna/córki .................................................................. w Konkursie "Amatorska Piosenka Patriotyczna” organizowanego przez Stowarzyszenie Riese. 2. Zobowiązuję się do zapewnienia jego/jej bezpieczeństwa w drodze pomiędzy miejscem wyjazdu/przyjazdu z Konkursu a domem. 3. Oświadczam, że moje dziecko nie ma przeciwwskazań zdrowotnych do udziału w imprezie. 4. Wyrażam zgodę na pokrycie ewentualnych szkód wyrządzonych przez moje dziecko w trakcie trwania Konkursu. …..................................... miejscowość i data …................................................. podpis rodzica/opiekuna prawnego
 doc
                    doc download
															download                                                         Reklamacja
															Reklamacja                                                         
		     
		     
		     
		     
		     
		     
		     
		     
		     
		     
		     
		     
		     
		     
		     
		     
		     
		     
		     
		     
		    