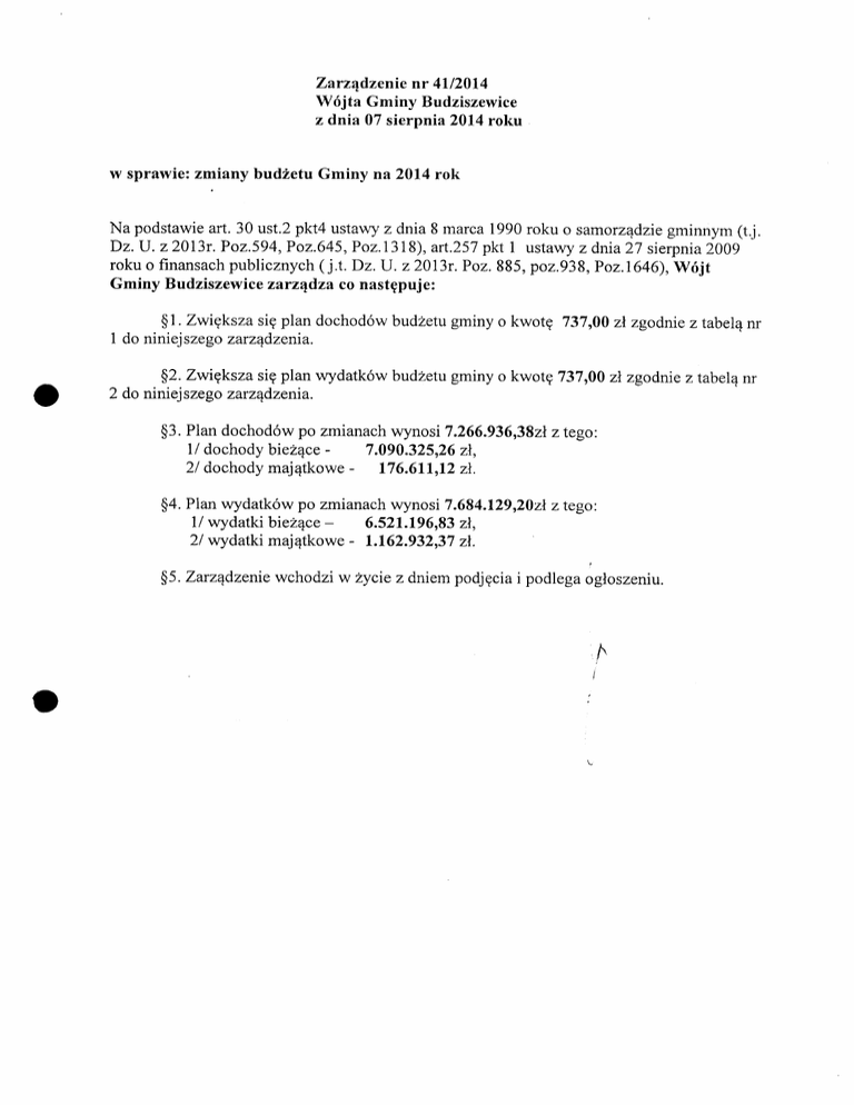
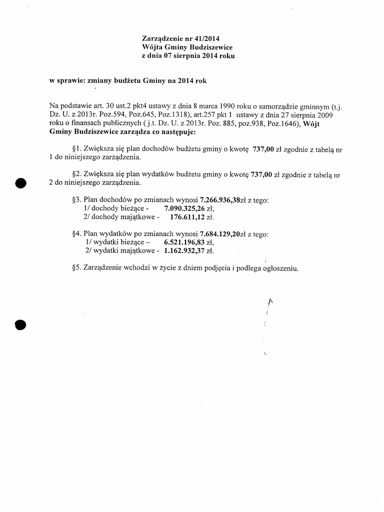
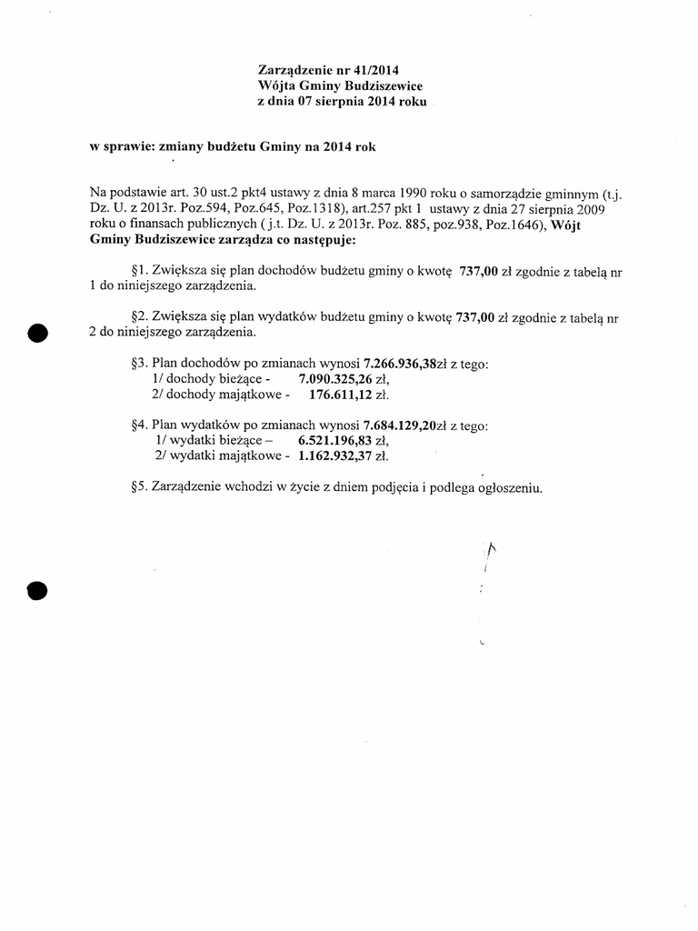
Zarzqdzenie nr 41/2014 Wojta Gminy Budziszewice z dnia 07

Transkrypt

Zarzqdzenie nr 41/2014 Wojta Gminy Budziszewice z dnia 07
Zarzqdzenie nr 41/2014
Wojta Gminy Budziszewice
z dnia 07 sierpnia 2014 roku
w sprawie: zmiany budzetu Gminy na 2014 rok
Na podstawie art. 30 ust.2 pkt4 ustawy z dnia 8 marca 1990 roku o samorz^dzie gminnym (t.j.
Dz. U. z 2013r. Poz.594, Poz.645, Poz. 1318), art.257 pkt 1 ustawy z dnia 27 sierpnia 2009
roku o fmansach publicznych (j.t. Dz. U. z 2013r. Poz. 885, poz.938, Poz.1646), Wojt
Gminy Budziszewice zarz^dza co nast^puje:
§ 1. Zwieksza sie plan dochodow budzetu gminy o kwote 737,00 zl zgodnie z tabela^ nr
1 do niniejszego zarz^dzenia.
§2. Zwieksza si? plan wydatkow budzetu gminy o kwot? 737,00 zl zgodnie z tabelq. nr
2 do niniejszego zarzadzenia.
§3. Plan dochodow po zmianach wynosi 7.266.936,38zl z tego:
I/ dochody bieza_ce 7.090.325,26 zl,
21 dochody maj^tkowe - 176.611,12 zl.
§4. Plan wydatkow po zmianach wynosi 7.684.129,20z! z tego:
I/ wydatki biezace 6.521.196,83 zl,
II wydatki majafcowe - 1.162.932,37 zl.
§5. Zarz^dzenie wchodzi w zycie z dniem podjecia i podlega ogloszeniu.
Tabela nr 1 do zarzqdzenia nr 41/2014 Wojta Gminy Budziszewice z dnia 07.08.2014 roku zmiany planu dochodow
w zlotych
Rodzaj zadania:
Wlasne
Dzial
RozdziaJ
§
Nazwa
1
2
3
4
Plan przed zmiana.
Zmniejszenie
Zwiekszenie
Plan po zmianach
(5+6+7)
5
6
7
8
bieza.ce
bieza.ce
razem:
w tym z tytuJu dotacji i srodkow na finansowanie wydatkow
na realizacje zadah finansowanych z udziatem srodkow, o
ktorych mowa w art. 5 ust. 1 pkt 2 i 3
6 055 982,72
0,00
0,00
6 055 982,7
111 358,00
0,00
0,00
111 358,0
176611,12
0,00
0,00
176611,1
92280,12
0,00
0,00
92 280, 1
maja.tkowe
majqtkowe
razem:
w tym z tytuiu dotacji i srodkow na finansowanie wydatkow
na realizacje zadari finansowanych z udzialem srodkow, o
ktorych mowa w art. 5 ust. 1 pkt 2 i 3
Zlecone
Rodzaj zadania:
Dzial
Rozdziat
§
Nazwa
1
2
3
4
Plan przed zmiana.
Zmniejszenie
Zwiekszenie
Plan po zmianach
(5+6+7)
5
6
7
8
bieza.ce
852
Pomoc spoteczna
w tym z tytutu dotacji i srodkow na finansowanie wydatkow
na realizacje zadah finansowanych z udziatem srodkow, o
ktorych mowa w art. 5 ust. 1 pkt 2 i 3
PozostaJa dzialalnosc
85295
w tym z tytuJu dotacji i srodkow na finansowanie wydatkow
na realizacj§ zadari finansowanych z udziatem srodkow, o
ktorych mowa w art. 5 ust. 1 pkt 2 i 3
2010
Dotacje celowe otrzymane z budzetu paristwa na realizacje
zadari bieza.cych z zakresu administracji rza.dowej oraz
innych zadari zleconych gminie (zwiqzkom gmin) ustawami
913996,00
0,00
737,00
914733,0
0,00
0,00
0,00
0,0
18858,00
0,00
737,00
19595,0
0,00
0,00
0,00
0,0
18858,00
0,00
737,00
19595,0
Strona 1 z 2
^^
biezqce
razem:
w tym z tytutu dotacji i srodkow na finansowanie wydatkow
na realizacje zadari finansowanych z udziatem srodkow, o
ktorych mowa w art. 5 ust. 1 pkt 2 i 3
Ogolem:
w tym z tytutu dotacji i srodkow na finansowanie
wydatkow na realizacj? zadah finansowanych z udziatem
srodkow, o ktorych mowa w art. 5 ust. 1 pkt 2 i 3
:
1 033 605,54
0,00
W
0,00
737,00
1 034 342,£
0,00
0,00
O.f
7 266 199,38
0,00
737,00
7 266 936,3
203638,12
0,00
0,00
203 638,1
kol 2 do wykorzystania fakultatywnego)
Strona 2 z 2
Tabela nr 2 do zarzqdzenia nr 41/2014 Wojta Gminy Budziszewice z dnia 07.08.2014r. zmiany pianu wydatkow
Rodzaj zadania:
Wlasne
Ztego
z lego:
z (ego:
z lego:
Dzial
1
Rozdziat
2
Nazwa
§
3
Plan
przed zmiana,
Wydatki razem:
wydatki
jednoslek
budzetowych.
7
6
5
4
6 649 786,66
S 486 854,29
swiadczenia na
wydatki zwia.zane
dotacje na
wynagrodzenia i
rzecz os6b
z realizacja. ich zadania bieza.ce
skladki od nich
fizycznych;
statutowych
naliczane
zadari;
8
4 873 969,40
9
3197455,00
10
1 676 514,40
art.
11
43 390,00
obsluga dlugu
inwestycje i
zakupy
inwestycyjne
5 ust. 1 pkt
2i3
na programy
finansowane z
udzialem
srodkow, o
ktorych mowa w
art.
13
12
133831,82
399 290,07
wtym:
Wydatki
maja.tkowe
14
0,00
15
36 373,00
16
1 162 932,37
5 ust. 1 pkt 2
i3,
17
1 162 932,37
zakup i obj^cie
akcji i udzialow
oraz wniesienie
wktad6w do
spotek prawa
handlowego.
18
699 837,00
0,00
zmniejszenie
0,00
0,00
0,00
0,00
0,00
0,00
0,00
0,00
0,00
0,00
0,00
0,00
0,00
0,00
zwiekszenie
0,00
0,00
0,00
0,00
0,00
0,00
0,00
0,00
0,00
0,00
0,00
0,00
0,00
0,00
pozmianach
Rodzaj zadania:
Wydatki
bieza.ce
wydatki na
programy
finansowane z
wyptaty z tytutu
udzialem
poreczeri i
srodkow, o
gwarancji
ktorych mowa w
6649786,66
5 486 854,29
4 873 969,40
3197455,00
1 676 514,40
43 390,00
133831,82
399 290,07
0,00
36 373,00
1 162 932,37
1 162 932,37
699 837,00
0,00
Zlecone
Ztego
z tego:
z lego:
z tego:
Dzial
1
Rozdzial
2
Plan
Nazwa
§
3
zmniejszenie
Pomoc spoteczna
85295
913996,00
0,00
8
7
913 996.00
0.00
wynagrodzenia i
skladki od nich
naliczane
51 265,48
swiadczenia na
wydalki zwia,zane
dotacje na
rzecz osob
z realizacj^ ich zadania bieza.ce
fizycznych;
statutowych
zadari,
9
46 936,14
10
4 329.34
11
0,00
art.
0,00
obsluga dlugu
inwestycje i
zakupy
inwestycyjne
5 usl. 1 pkt
213
na programy
finansowane z
udzialem
srodkow, o
ktbrych mowa w
art.
13
12
662 730,52
wtym:
Wydatki
majqtkowe
14
15
16
5 ust. 1 pkt 2
i3,
17
zakup i objede
akcji i udzialow
oraz wniesienie
wkladbw do
spotek prawa
handlowego.
18
0,00
0,00
0,00
0.00
0.00
0,00
0,00
0,00
0,00
0,00
0,00
0,00
0,00
0,00
0,00
0,00
0,00
0,00
0,00
0,00
0.00
0,00
0.00
22.11
0,00
714,89
0,00
0,00
0,00
737,00
737.00
22,11
po zmianach
914733.00
914733,00
51 287,59
46 936.14
4351.45
0,00
863 445.41
0,00
0,00
0,00
0,00
0,00
0.00
0,00
przed zmiana.
18858,00
18858.00
871,90
521,14
350,76
0,00
17986,10
0,00
0,00
0.00
0,00
0,00
0.00
0,00
zwiekszenie
zmniejszenie
Pozostala dziatalnosc
wydatki
jednostek
budzetowych,
6
5
4
przed zmiana.
852
Wydatki
bieza.ce
wydatki na
programy
finansowane z
wyptaty z tytulu
udzialem
poreczeri i
srodkow, o
gwarancji
ktbrych mowa w
zwiekszenie
0,00
737.00
0,00
0,00
0.00
0.00
737,00
22,11
0,00
22.11
0,00
894,01
372,87
0,00
po zmianach
19595,00
19595.00
przed zmiana.
17986,10
17986.10
zmniejszenie
521,14
0,00
0.00
0,00
0,00
0,00
0.00
0.00
0.00
0,00
0.00
714,89
0,00
0,00
0.00
0,00
0,00
0,00
0,00
0,00
0,00
18700,99
0,00
0,00
0.00
0,00
0,00
0,00
0,00
0.00
17986.10
0.00
0,00
0.00
0,00
0,00
0,00
0,00
0,00
0,00
0,00
0,00
0.00
0,00
0,00
0,00
0,00
0,00
0,00
714,89
714,89
0,00
0.00
0,00
0,00
714,89
0,00
0,00
0,00
0,00
0,00
0,00
0,00
18700,99
18700.99
0,00
0,00
0,00
0.00
18700,99
0,00
0,00
0,00
0,00
0,00
0.00
0,00
350,76
350.76
0,00
350,76
0.00
0,00
0.00
0,00
0,00
0,00
0.00
0,00
0,00
0.00
0,00
0,00
0.00
0.00
0,00
0,00
0,00
0,00
0,00
0.00
0,00
Swiadczenra spoteczne
3110
zwiekszenie
po zmianach
przed zmiana.
zmniejszenie
0,00
0.00
350,76
0,00
0,00
0.00
Zakup materiatow i wyposaienia
4210
zwiekszenie
22,11
22.11
22,11
0,00
22,11
0,00
0,00
0,00
0,00
0,00
0,00
0,00
0,00
0,00
po zmianach
372,87
372.87
372,87
0,00
372,87
0,00
0,00
0,00
0,00
0.00
0,00
0.00
0.00
0,00
76 703,43
0,00
przed zmiana,
zmniejszenie
Wy
•
zwiekszenie
po zmianach
1 033 605,54
0,00
1 033 605,54
0,00
166389,09
89685,66
867216,45
0,00
0,00
0,00
0,00
0,00
0,00
0,00
0,00
0,00
0,00
0,00
0,00
0,00
0,00
0,00
0,00
0,00
0,00
0,00
0,00
22,11
0,00
714,89
0,00
0,00
0,00
0,00
0,00
0,00
0,00
76 725,54
0,00
867931,34
0,00
0,00
0,00
0,00
0,00
0,00
0,00
737,00
737,00
22,11
1 034 342,54
1 034 342,54
166411,20
89 685,66
Strona 1 z 1