wielomiany bazowe Lagrange`a, baza Hermite`a dla

Transkrypt

wielomiany bazowe Lagrange`a, baza Hermite`a dla
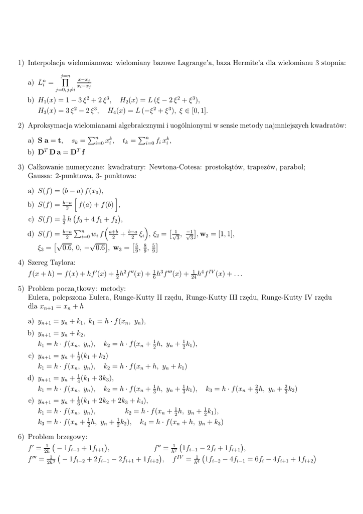
1) Interpolacja wielomianowa: wielomiany bazowe Lagrange’a, baza Hermite’a dla wielomianu 3 stopnia:
a) Lni =
j=n
Q
j=0, j6=i
x−xj
xi −xj
b) H1 (x) = 1 − 3 ξ 2 + 2 ξ 3 , H2 (x) = L (ξ − 2 ξ 2 + ξ 3 ),
H3 (x) = 3 ξ 2 − 2 ξ 3 , H4 (x) = L (−ξ 2 + ξ 3 ), ξ ∈ [0, 1].
2) Aproksymacja wielomianami algebraicznymi i uogólnionymi w sensie metody najmniejszych kwadratów:
P
P
a) S a = t, sk = ni=0 xki , tk = ni=0 fi xki ,
b) DT D a = DT f
3) Całkowanie numeryczne: kwadratury: Newtona-Cotesa: prostokątów, trapezów, parabol;
Gaussa: 2-punktowa, 3- punktowa:
a) S(f ) = (b − a) f (x0 ),
h
i
f
(a)
+
f
(b)
,
b) S(f ) = b−a
2
c) S(f ) = 31 h f0 + 4 f1 + f2 ,
1
Pn
a+b
b−a
w
f
+
ξ
d) S(f ) = b−a
i , ξ 2 = √3 ,
i=0 i
2
2
2
√ √
0.6, 0, − 0.6 , w3 = 59 , 89 , 59
ξ3 =
−1
√
3
, w2 = [1, 1],
4) Szereg Taylora:
f (x + h) = f (x) + hf ′ (x) + 21 h2 f ′′ (x) + 16 h3 f ′′′ (x) +
1 4 IV
h f (x)
24
+ ...
5) Problem pocza˛tkowy: metody:
Eulera, polepszona Eulera, Runge-Kutty II rzędu, Runge-Kutty III rzędu, Runge-Kutty IV rzędu
dla xn+1 = xn + h
a) yn+1 = yn + k1 , k1 = h · f (xn , yn ),
b) yn+1 = yn + k2 ,
k1 = h · f (xn , yn ),
k2 = h · f (xn + 21 h, yn + 12 k1 ),
c) yn+1 = yn + 21 (k1 + k2 )
k1 = h · f (xn , yn ), k2 = h · f (xn + h, yn + k1 )
d) yn+1 = yn + 41 (k1 + 3k3 ),
k1 = h · f (xn , yn ), k2 = h · f (xn + 31 h, yn + 13 k1 ),
k3 = h · f (xn + 32 h, yn + 23 k2 )
e) yn+1 = yn + 61 (k1 + 2k2 + 2k3 + k4 ),
k1 = h · f (xn , yn ),
k2 = h · f (xn + 21 h, yn + 21 k1 ),
k3 = h · f (xn + 21 h, yn + 21 k2 ), k4 = h · f (xn + h, yn + k3 )
6) Problem brzegowy:
f′ =
1
2h
f ′′′ =
1
2h3
− 1fi−1 + 1fi+1 ,
f ′′ = h12 1fi−1 − 2fi + 1fi+1 ,
− 1fi−2 + 2fi−1 − 2fi+1 + 1fi+2 , f IV = h14 1fi−2 − 4fi−1 = 6fi − 4fi+1 + 1fi+2