matematyka - zadania

Transkrypt

matematyka - zadania
MATEMATYKA - ZADANIA
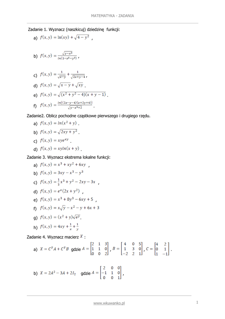
Zadanie 1. Wyznacz (naszkicuj) dziedzinę funkcji:
a)
,
b)
,
c)
,
d)
.
e)
.
f)
.
Zadanie2. Oblicz pochodne cząstkowe pierwszego i drugiego rzędu.
a)
.
b)
.
c)
.
d)
.
Zadanie 3. Wyznacz ekstrema lokalne funkcji:
a)
,
b)
c)
,
d)
,
e)
,
f)
g)
.
h)
Zadanie 4. Wyznacz macierz
a)
b)
:
gdzie
,
gdzie
,
.
,
www.wkuwanko.pl
1
MATEMATYKA - ZADANIA
c)
,
d)
,
e)
 0 3 


f)  
 5 − 2 + 4 X 



−1
 1 2
= 
,
 3 4
Zadanie 5. Oblicz wyznacznik. Określ czy macierz jest osobliwa czy nieosobliwa.
a) det
b) det
c) det
.
Zadanie 6. Sprowadź macierz do postaci bazowej. Określ rząd macierzy .
a)
b)
, d)
,
.
Zadanie 7. Dla jakiej wartości parametru m macierz jest osobliwa:
www.wkuwanko.pl
2
MATEMATYKA - ZADANIA
a)
b)
.
Zadanie 8. Stosując
wyznacz macierz
prawa działań na macierzach oraz własności macierzy odwrotnej
.
a)
,
b)
,
c)
.
d)
e)
9. Wyznacz rozwiązanie ogólne oraz rozwiązania bazowe układu równań:
 3 x1 + 5 x2 + x4 = 4
 3 x1 − 5 x2 + x3 = 4
 − 3 x1 + 4 x3 − 2 x4 = 0


+ 4 x3 − 2 x4 = 2 ,  − 2 x1 + x2 + x3 = 0 ,
,  − x1

 2 x1 + 3 x2 − x3 + x4 = 0
 2 x + 3x − x + 2 x = 0  2 x − 8 x + 4 x = 8
2
3
4
2
3
 1
 1
 x1 − x2 + 2 x3 = 1
 3x
− 4 x3 = 1

1
,

 x1 + 2 x2 − 8 x3 = − 1
 7 x1 + 2 x2 − 16 x3 = 1
 x1 + 3 x2 + x3 = 15
 x1 + x2 + 2 x3 = 10
, 

 x1 − 3 x2 − 2 x3 = 30  − x1 + 2 x2 − 4 x3 = 20
10. Zbadać czy układ jest układem Cramera .Jeśli tak to rozwiązać go.
x2 − 3 x3 + 4 x4 = 0

 x1 + 2 x2 − x3 = 1  2 x1 + x2 + x3 = 6
 x
− 2 x3
= 0


 1
.
 − x1 + x2 + x3 = 2 ,  x1 + x2 + 2 x3 = 5 , 
3 x1 + 2 x2 − 5 x4 = 2
 x + 5x − x = 4  − x

+ 2 x3 = − 1
2
3
 1
 1
 4 x1
− 5 x3
= 0
11. Rozwiąż układ nierówności .
 x1 + x2 ≤ 25
 x + 2 x ≤ 40
 1
2
,

 2 x1 + x2 ≤ 40
 x1 ≥ 0 , x2 ≥ 0
 x1 + x2 ≥ 1
 x + 2x ≤ 6
 1
2
,

 2 x1 + x2 ≤ 6
 x1 ≥ 0 , x2 ≥ 0
 2 x1 + x2 ≤ 18
 x + x ≥ 4
 1 2
.

 2 x1 + x2 ≥ 18
 x1 ≥ 0 , x2 ≥ 0
www.wkuwanko.pl
3