wzory skróconego mnożenia

Transkrypt

wzory skróconego mnożenia
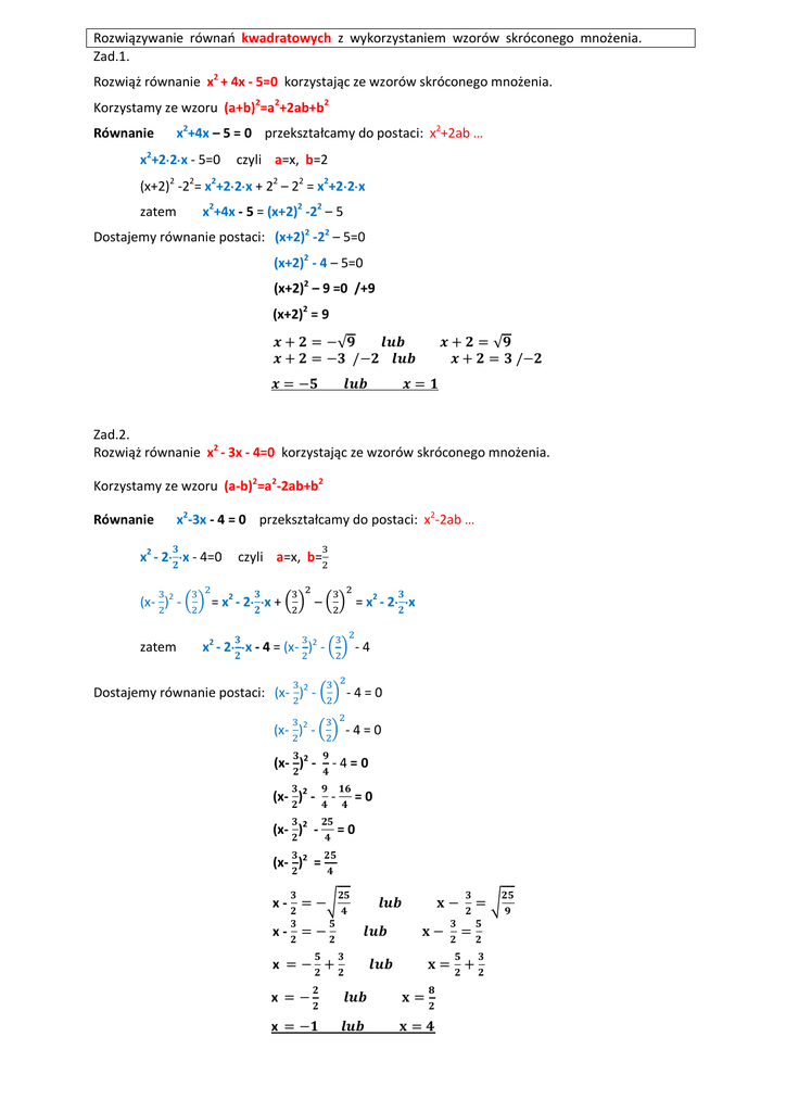
Rozwiązywanie równań kwadratowych z wykorzystaniem wzorów skróconego mnożenia.
Zad.1.
Rozwiąż równanie x2 + 4x - 5=0 korzystając ze wzorów skróconego mnożenia.
Korzystamy ze wzoru (a+b)2=a2+2ab+b2
x2+4x – 5 = 0 przekształcamy do postaci: x2+2ab …
Równanie
x2+22x - 5=0
2
2
czyli a=x, b=2
2
(x+2) -2 = x +22x + 22 – 22 = x2+22x
x2+4x - 5 = (x+2)2 -22 – 5
zatem
Dostajemy równanie postaci: (x+2)2 -22 – 5=0
(x+2)2 - 4 – 5=0
(x+2)2 – 9 =0 /+9
(x+2)2 = 9
+
+
= −√
= − /−
=−
+ =√
+ = /−
=
Zad.2.
Rozwiąż równanie x2 - 3x - 4=0 korzystając ze wzorów skróconego mnożenia.
Korzystamy ze wzoru (a-b)2=a2-2ab+b2
Równanie
x2-3x - 4 = 0 przekształcamy do postaci: x2-2ab …
x2 - 2 x - 4=0
(x- )2 zatem
czyli a=x, b=
= x2 - 2 x +
= x2 - 2 x
–
x2 - 2 x - 4 = (x- )2 -
-4
Dostajemy równanie postaci: (x- )2 -
-4=0
(x- )2 -
-4=0
(x- )2 -
-4=0
(x- )2 -
-
(x- )2 -
=0
=0
(x- )2 =
x- =−
−
x- =−
−
x =− +
=
=
= +
x =−
=
x =−
=
Zad.3.
Rozwiąż równanie 3x2 - 9x + 6=0 korzystając ze wzorów skróconego mnożenia.
Najpierw przekształcamy równanie tak, aby otrzymać samo x2
3x2 - 9x + 6=0 /:3
x2 – 3x + 2 = 0
Korzystamy ze wzoru (a-b)2=a2-2ab+b2
Równanie
x2-3x + 2 = 0 przekształcamy do postaci: x2-2ab …
x2 - 2 x + 2=0
(x- )2 -
czyli a=x, b=
= x2 - 2 x +
= x2 - 2 x
–
x2 - 2 x + 2 = (x- )2 -
zatem
+2
Dostajemy równanie postaci: (x- )2 -
+2=0
(x- )2 -
+2=0
(x- )2 -
+ =0
(x- )2 - = 0
(x- )2 =
x- =−
−
x- =−
−
x =− +
=
=
= +
x =
=
x =
=
Zad.4.
Rozwiąż równanie 2x2 - 5x + 7=0 korzystając ze wzorów skróconego mnożenia.
Najpierw przekształcamy równanie tak, aby otrzymać samo x2
2x2 - 5x + 7=0 /:2
x2 – x + = 0
Korzystamy ze wzoru (a-b)2=a2-2ab+b2
Równanie
x2 - x + = 0 przekształcamy do postaci: x2-2ab …
x2 - 2 x + = 0
(x- )2 -
czyli a=x, b=
= x2 - 2 x +
–
= x2 - 2 x
zatem
x2 - 2 x + = (x- )2 -
+
Dostajemy równanie postaci: (x- )2 -
+ =0
(x- )2 -
+ =0
(x- )2 -
+
(x- )2 +
=0
=0
(x- )2 = −
równanie jest sprzeczne (każda liczba różna od zera podniesiona do kwadratu jest liczbą dodatnią)
zatem: x