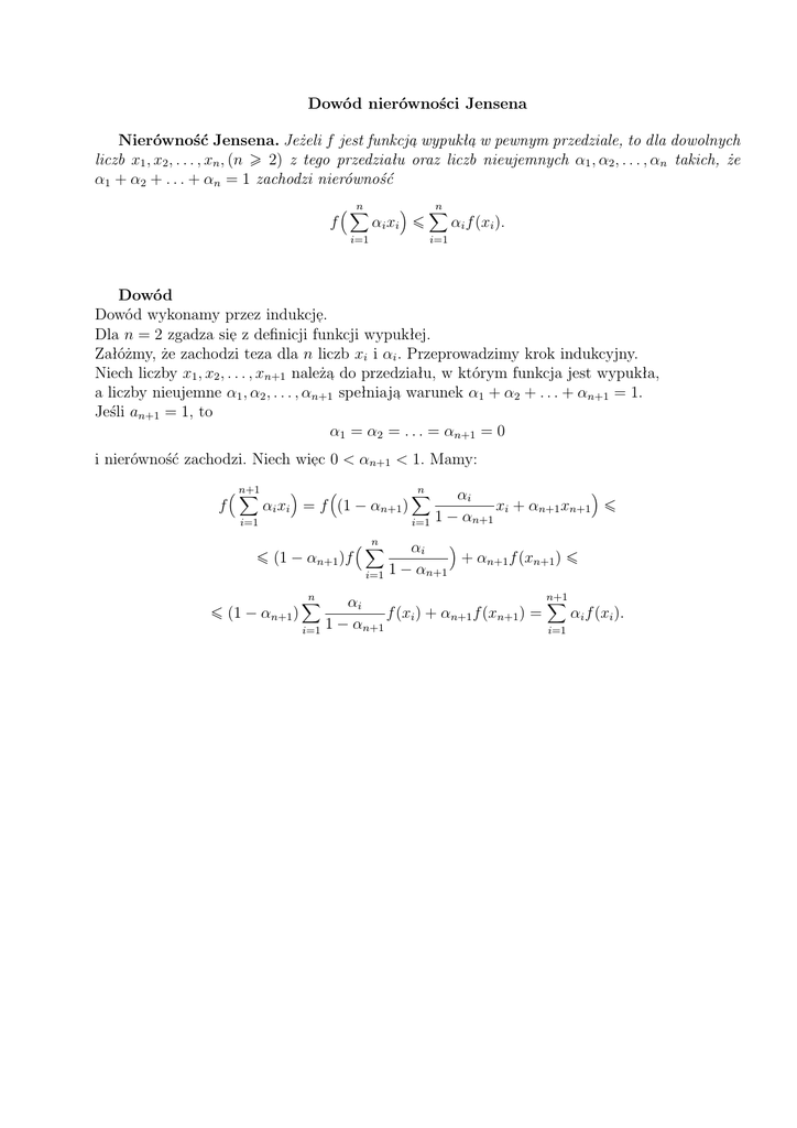
Dowód nierówności Jensena Nierówność Jensena. Jeżeli f jest

Transkrypt

Dowód nierówności Jensena Nierówność Jensena. Jeżeli f jest
Dowód nierówności Jensena
Nierówność Jensena. Jeżeli f jest funkcja, wypukła, w pewnym przedziale, to dla dowolnych
liczb x1 , x2 , . . . , xn , (n ­ 2) z tego przedziału oraz liczb nieujemnych α1 , α2 , . . . , αn takich, że
α1 + α2 + . . . + αn = 1 zachodzi nierówność
f
n
X
α i xi ¬
i=1
n
X
αi f (xi ).
i=1
Dowód
Dowód wykonamy przez indukcje.
,
Dla n = 2 zgadza sie, z definicji funkcji wypukłej.
Załóżmy, że zachodzi teza dla n liczb xi i αi . Przeprowadzimy krok indukcyjny.
Niech liczby x1 , x2 , . . . , xn+1 należa, do przedziału, w którym funkcja jest wypukła,
a liczby nieujemne α1 , α2 , . . . , αn+1 spełniaja, warunek α1 + α2 + . . . + αn+1 = 1.
Jeśli an+1 = 1, to
α1 = α2 = . . . = αn+1 = 0
i nierówność zachodzi. Niech wiec
, 0 < αn+1 < 1. Mamy:
f
n+1
X
αi xi = f (1 − αn+1 )
i=1
¬ (1 − αn+1 )f
¬ (1 − αn+1 )
n
X
αi
xi + αn+1 xn+1 ¬
i=1 1 − αn+1
n
X
αi
+ αn+1 f (xn+1 ) ¬
i=1 1 − αn+1
n
X
n+1
X
αi
f (xi ) + αn+1 f (xn+1 ) =
αi f (xi ).
i=1 1 − αn+1
i=1