Harmonogram udzielania wsparcia w Projekcie

Transkrypt

Harmonogram udzielania wsparcia w Projekcie
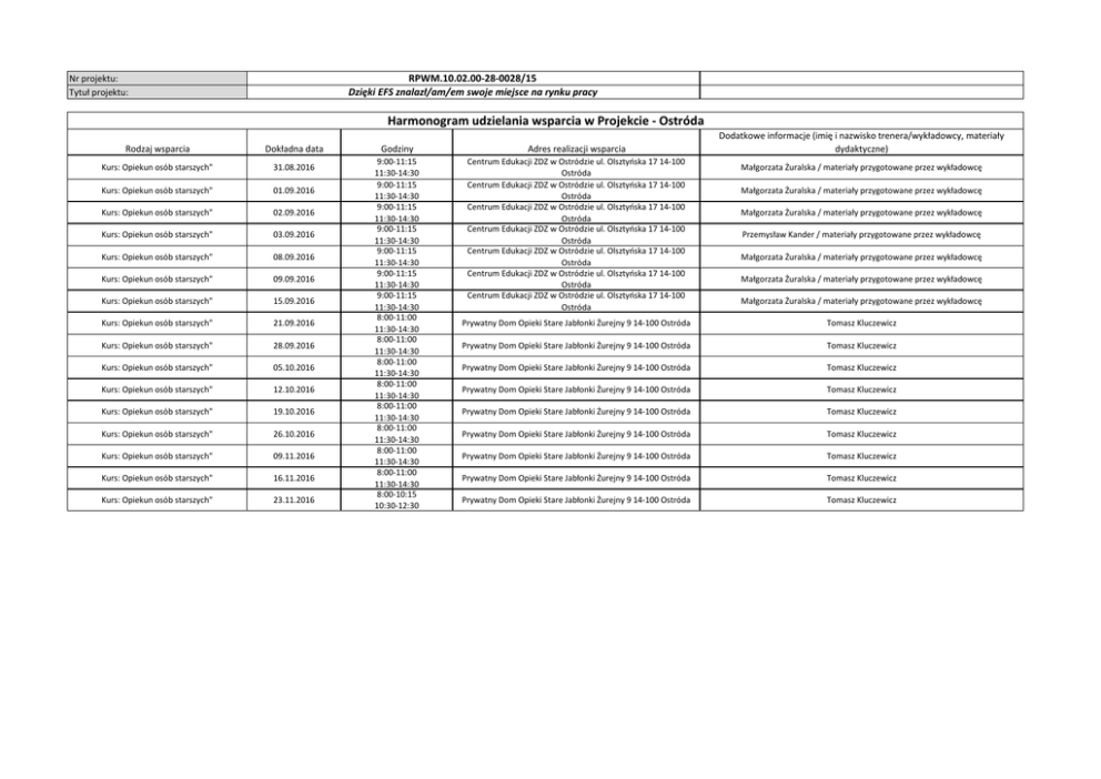
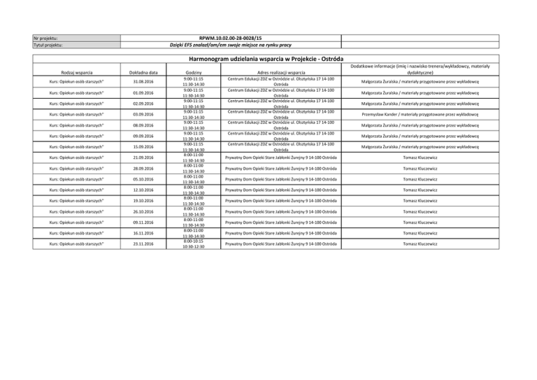
RPWM.10.02.00-28-0028/15
Dzięki EFS znalazł/am/em swoje miejsce na rynku pracy
Nr projektu:
Tytuł projektu:
Harmonogram udzielania wsparcia w Projekcie - Ostróda
Rodzaj wsparcia
Dokładna data
Kurs: Opiekun osób starszych"
31.08.2016
Kurs: Opiekun osób starszych"
01.09.2016
Kurs: Opiekun osób starszych"
02.09.2016
Kurs: Opiekun osób starszych"
03.09.2016
Kurs: Opiekun osób starszych"
08.09.2016
Kurs: Opiekun osób starszych"
09.09.2016
Kurs: Opiekun osób starszych"
15.09.2016
Kurs: Opiekun osób starszych"
21.09.2016
Kurs: Opiekun osób starszych"
28.09.2016
Kurs: Opiekun osób starszych"
05.10.2016
Kurs: Opiekun osób starszych"
12.10.2016
Kurs: Opiekun osób starszych"
19.10.2016
Kurs: Opiekun osób starszych"
26.10.2016
Kurs: Opiekun osób starszych"
09.11.2016
Kurs: Opiekun osób starszych"
16.11.2016
Kurs: Opiekun osób starszych"
23.11.2016
Godziny
Adres realizacji wsparcia
9:00-11:15
11:30-14:30
9:00-11:15
11:30-14:30
9:00-11:15
11:30-14:30
9:00-11:15
11:30-14:30
9:00-11:15
11:30-14:30
9:00-11:15
11:30-14:30
9:00-11:15
11:30-14:30
8:00-11:00
11:30-14:30
8:00-11:00
11:30-14:30
8:00-11:00
11:30-14:30
8:00-11:00
11:30-14:30
8:00-11:00
11:30-14:30
8:00-11:00
11:30-14:30
8:00-11:00
11:30-14:30
8:00-11:00
11:30-14:30
8:00-10:15
10:30-12:30
Centrum Edukacji ZDZ w Ostródzie ul. Olsztyńska 17 14-100
Ostróda
Centrum Edukacji ZDZ w Ostródzie ul. Olsztyńska 17 14-100
Ostróda
Centrum Edukacji ZDZ w Ostródzie ul. Olsztyńska 17 14-100
Ostróda
Centrum Edukacji ZDZ w Ostródzie ul. Olsztyńska 17 14-100
Ostróda
Centrum Edukacji ZDZ w Ostródzie ul. Olsztyńska 17 14-100
Ostróda
Centrum Edukacji ZDZ w Ostródzie ul. Olsztyńska 17 14-100
Ostróda
Centrum Edukacji ZDZ w Ostródzie ul. Olsztyńska 17 14-100
Ostróda
Dodatkowe informacje (imię i nazwisko trenera/wykładowcy, materiały
dydaktyczne)
Małgorzata Żuralska / materiały przygotowane przez wykładowcę
Małgorzata Żuralska / materiały przygotowane przez wykładowcę
Małgorzata Żuralska / materiały przygotowane przez wykładowcę
Przemysław Kander / materiały przygotowane przez wykładowcę
Małgorzata Żuralska / materiały przygotowane przez wykładowcę
Małgorzata Żuralska / materiały przygotowane przez wykładowcę
Małgorzata Żuralska / materiały przygotowane przez wykładowcę
Prywatny Dom Opieki Stare Jabłonki Żurejny 9 14-100 Ostróda
Tomasz Kluczewicz
Prywatny Dom Opieki Stare Jabłonki Żurejny 9 14-100 Ostróda
Tomasz Kluczewicz
Prywatny Dom Opieki Stare Jabłonki Żurejny 9 14-100 Ostróda
Tomasz Kluczewicz
Prywatny Dom Opieki Stare Jabłonki Żurejny 9 14-100 Ostróda
Tomasz Kluczewicz
Prywatny Dom Opieki Stare Jabłonki Żurejny 9 14-100 Ostróda
Tomasz Kluczewicz
Prywatny Dom Opieki Stare Jabłonki Żurejny 9 14-100 Ostróda
Tomasz Kluczewicz
Prywatny Dom Opieki Stare Jabłonki Żurejny 9 14-100 Ostróda
Tomasz Kluczewicz
Prywatny Dom Opieki Stare Jabłonki Żurejny 9 14-100 Ostróda
Tomasz Kluczewicz
Prywatny Dom Opieki Stare Jabłonki Żurejny 9 14-100 Ostróda
Tomasz Kluczewicz