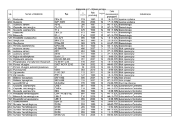
Załącznik nr 7 - Wykaz sprzętu

Transkrypt

Załącznik nr 7 - Wykaz sprzętu
Załącznik nr 7 - Wykaz sprzętu
Lp.
43.
258.
31.
36.
40.
44.
128.
129.
244.
245.
264.
27.
28.
29.
134.
135.
141.
158.
217.
225.
276.
279.
50.
53.
25.
37.
38.
39.
130.
131.
132.
242.
252.
253.
254.
255.
256.
Nazwa urządzenia
Destylarka
Suszarka
Autoklaw parowy
Cieplarka laboratoryjna
Cieplarka laboratoryjna
Destylarka
Mieszadło
Mieszadło (wytrząsarka)
Sterylizator
Sterylizator
Wirówka laborarotyjna
Autoklaw parowy
Autoklaw parowy
Autoklaw parowy
Myjka ultradźwiękowa
Ogrzewacz pacjenta
Podgrzewacz krwi i płynów infuzyjnych
Pompa infuzyjna
Pompa infuzyjna jednostrzykawkowa
Pulsoksymetr
Zgrzewarka
Zgrzewarka
Detektor tętna płodu
Detektor tętna płodu
Aparat KOCHA
Cieplarka laboratoryjna
Cieplarka laboratoryjna
Cieplarka laboratoryjna
Mieszadło hematologiczne
Mieszadło hematologiczne
Mieszadło hematologiczne
Spektofotometr
Sumator hematologiczny
Sumator hematologiczny
Sumator hematologiczny
Sumator hematologiczny
Sumator hematologiczny
Typ
DEM.20
SUP-100W
ASVE
CL-135
TK-3
DEM.20
WL-1
SW 20/4
SPW 275
WSW-2M
MPW 223
AS 666WPA
ASV
ASVE
Sonik L-2
EQ-500-INT-230
HL-90-INT-230
DUET NOVA 20/50
S1
N560
F-110 DEP
ZFP-15
SRF 618E
SRF 618E
NK-64/KM
CWE-4
CWE-4
KBG
CONTRAVES 820
UMH 5
UMH 5
Epoll 20
SH 96
SH 96
SH 96
SH 96
SH 96/12D
Nr
paszportu
Rok
produkcji
Czestotliwo
sc
729
705
295
671
670
672
714
666
662
663
664
480
224
141
148
781
416
536
29
903
112
147
506
174
770
897
218
898
894
710
895
222
205
205
205
205
192
1995
2006
1997
1996
1996
1995
2002
1988
1990
1978
1999
2007
1986
1995
1990
2007
2007
2002
2008
2010
2011
1999
2004
2007
1992
1996
1996
1985
1995
2006
2006
1982
1996
1996
1996
1996
2006
12
12
3
12
12
12
12
12
6
6
12
3
3
3
12
12
12
12
12
12
12
12
12
12
12
12
12
12
12
12
12
12
6
6
6
6
6
Data
planowanego
przeglądu
19-11-2012
17-11-2012
05-11-2012
02-11-2012
03-11-2012
01-11-2012
02-11-2012
13-11-2012
22-12-2012
01-07-2013
02-11-2012
27-11-2012
27-11-2012
27-11-2012
13-03-2013
28-08-2013
18-11-2012
09-05-2013
03-12-2012
13-03-2013
29-12-2012
18-11-2012
07-11-2012
07-11-2012
25-09-2013
04-11-2012
04-11-2012
18-04-2013
04-11-2012
04-11-2012
18-04-2013
23-05-2013
08-05-2013
10-05-2013
09-11-2012
11-11-2012
03-05-2013
Lokalizacja
Apteka szpitalna
Apteka szpitalna
Bakteriologia
Bakteriologia
Bakteriologia
Bakteriologia
Bakteriologia
Bakteriologia
Bakteriologia
Bakteriologia
Bakteriologia
Blok operacyjny
Blok operacyjny
Blok operacyjny
Blok operacyjny
Blok operacyjny
Blok operacyjny
Blok operacyjny
Blok operacyjny
Blok operacyjny
Blok operacyjny
Blok operacyjny
Izba przyjęć
Izba przyjęć
Kuchnia mleczna
Laboratorium Centralne
Laboratorium Centralne
Laboratorium Centralne
Laboratorium Centralne
Laboratorium Centralne
Laboratorium Centralne
Laboratorium Centralne
Laboratorium Centralne
Laboratorium Centralne
Laboratorium Centralne
Laboratorium Centralne
Laboratorium Centralne
257.
265.
267.
268.
269.
270.
271.
243.
266.
16.
67.
68.
69.
70.
86.
87.
88.
89.
90.
97.
136.
153.
154.
155.
156.
159.
160.
162.
171.
172.
218.
262.
20.
74.
78.
79.
80.
118.
139.
143.
Sumator hematologiczny
Wirówka laborarotyjna
Wirówka laborarotyjna
Wirówka laborarotyjna
Wirówka laborarotyjna
Wirówka laborarotyjna
Wirówka laborarotyjna
Spektofotometr
Wirówka laborarotyjna
Aparat EKG
Kapnograf
Kapnograf
Kapnograf
Kapnograf
Kardiomonitor
Kardiomonitor
Kardiomonitor
Kardiomonitor
Kardiomonitor
Kardiomonitor
Ogrzewacz pacjenta
Pompa infuzyjna
Pompa infuzyjna
Pompa infuzyjna
Pompa infuzyjna
Pompa infuzyjna
Pompa infuzyjna
Pompa infuzyjna
Pompa infuzyjna
Pompa infuzyjna
Pompa infuzyjna perystaltyczna
Urządzenie płucząco-dezynfekujące
Aparat EKG
Kardiomonitor
Kardiomonitor
Kardiomonitor
Kardiomonitor
Lancentron
Piła oscylacyjna do cięcia gipsu
Pompa do leczenia bólu
Załącznik nr 7 - Wykaz sprzętu
SH 96/12D
192
2006
6
MPW 223 e
725
2006
12
MPW 223 e
581
2005
12
MPW 223 e
724
2006
12
MPW 223 e
185
2007
12
MPW 223 e
830
2009
12
MPW 350
413
2008
12
Epoll 20
195
1982
12
MPW 223 e
465
2002
12
AsCard B-5
364
1999
12
Capnogard 1265-P
709
2006
12
Capnogard 1265-P
722
2006
12
Capnogard 1265-P
888
2010
12
Capnogard-1265
5
1995
12
Diascope Traveller (Arthe 35
1999
12
Diascope Traveller (Arthe 36
1999
12
Diascope Traveller (Arthe 37
1999
12
Diascope Traveller (Arthe 425
2002
12
FX 2000
459
1998
12
Propaq LT
910
2010
12
EQ-500-INT-230
782
2007
12
AP 22
220
2008
12
AP 22
223
2008
12
AP 22
219
2008
12
AP 22
221
2008
12
DUET NOVA 20/50
534
2002
12
DUET NOVA 20/50
535
2002
12
DUET NOVA 20/50
533
2002
12
SEP 21 S
457
2000
12
SEP 21 S
456
2000
12
Ap 31
27
2006
12
Tornado
395
2000
12
AsCard Mr Blue
644
2008
12
Cardio 9000
673
2008
12
Cardio 9000
674
2008
12
Cardio 9000
675
2008
12
Cardio 9000
875
2009
12
GT-300
144
1990
6
941
529
2004
12
S-PCA
4
2007
12
04-11-2012
04-11-2012
08-11-2012
04-11-2012
04-11-2012
09-10-2013
20-06-2013
04-11-2012
07-11-2012
25-10-2013
18-01-2013
18-01-2013
13-03-2013
14-11-2012
02-11-2012
27-02-2012
27-02-2012
02-11-2012
02-11-2012
05-07-2013
02-02-2013
02-11-2012
02-11-2012
02-11-2012
02-11-2012
29-04-2013
30-09-2013
29-04-2013
03-11-2012
02-11-2012
25-10-2013
02-11-2012
24-10-2013
23-08-2013
27-08-2013
23-08-2013
23-08-2013
16-11-2012
24-10-2013
24-10-2013
Laboratorium Centralne
Laboratorium Centralne
Laboratorium Centralne
Laboratorium Centralne
Laboratorium Centralne
Laboratorium Centralne
Laboratorium Centralne
laboratorium ul. Mickiewicza
laboratorium ul. Mickiewicza
Nocna i świąteczna opieka ambulatoryjna
Oddział Anestezjologii i Intensywnej Terapii
Oddział Anestezjologii i Intensywnej Terapii
Oddział Anestezjologii i Intensywnej Terapii
Oddział Anestezjologii i Intensywnej Terapii
Oddział Anestezjologii i Intensywnej Terapii
Oddział Anestezjologii i Intensywnej Terapii
Oddział Anestezjologii i Intensywnej Terapii
Oddział Anestezjologii i Intensywnej Terapii
Oddział Anestezjologii i Intensywnej Terapii
Oddział Anestezjologii i Intensywnej Terapii
Oddział Anestezjologii i Intensywnej Terapii
Oddział Anestezjologii i Intensywnej Terapii
Oddział Anestezjologii i Intensywnej Terapii
Oddział Anestezjologii i Intensywnej Terapii
Oddział Anestezjologii i Intensywnej Terapii
Oddział Anestezjologii i Intensywnej Terapii
Oddział Anestezjologii i Intensywnej Terapii
Oddział Anestezjologii i Intensywnej Terapii
Oddział Anestezjologii i Intensywnej Terapii
Oddział Anestezjologii i Intensywnej Terapii
Oddział Anestezjologii i Intensywnej Terapii
Oddział Anestezjologii i Intensywnej Terapii
Oddział chirurgiczny
Oddział chirurgiczny
Oddział chirurgiczny
Oddział chirurgiczny
Oddział chirurgiczny
Oddział chirurgiczny
Oddział chirurgiczny
Oddział chirurgiczny
148.
149.
150.
189.
190.
207.
208.
209.
210.
222.
224.
231.
17.
73.
92.
164.
165.
181.
182.
212.
213.
214.
215.
216.
227.
230.
235.
60.
61.
62.
63.
64.
65.
76.
127.
151.
152.
183.
184.
228.
Pompa infuzyjna
Pompa infuzyjna
Pompa infuzyjna
Pompa infuzyjna jednostrzykawkowa
Pompa infuzyjna jednostrzykawkowa
Pompa infuzyjna jednostrzykawkowa
Pompa infuzyjna jednostrzykawkowa
Pompa infuzyjna jednostrzykawkowa
Pompa infuzyjna jednostrzykawkowa
Pulsoksymetr
Pulsoksymetr
Pulsoksymetr
Aparat EKG
Kardiomonitor
Kardiomonitor
Pompa infuzyjna
Pompa infuzyjna
Pompa infuzyjna jednostrzykawkowa
Pompa infuzyjna jednostrzykawkowa
Pompa infuzyjna jednostrzykawkowa
Pompa infuzyjna jednostrzykawkowa
Pompa infuzyjna jednostrzykawkowa
Pompa infuzyjna jednostrzykawkowa
Pompa infuzyjna jednostrzykawkowa
Pulsoksymetr
Pulsoksymetr
Rejestrator EKG Holter
Inkubator
Inkubator
Inkubator
Inkubator
Inkubator
Inkubator
Kardiomonitor
Miernik żółtaczki nieinwazyjny
Pompa infuzyjna
Pompa infuzyjna
Pompa infuzyjna jednostrzykawkowa
Pompa infuzyjna jednostrzykawkowa
Pulsoksymetr
AP 22
AP 22
AP 22
AP 14
AP 14
AP 14
AP 14
AP 14
AP 14
8500A
9500-ONYX
Oxi Max N-600x
AsCard B-5
C3
FX2000P
PILOT A2 PL
SEP 11
AP 12
AP 12
PILOT C DIN
PILOT C DIN
PILOT C DIN
PILOT C DIN
PILOT C DIN
N600X-1
NPB 295
SiliconBeat 3
7011
7011
C2HS-1C
CALEO
HCCD50159
V-2100G 1
Cardio 9000
JM 102
AP 22
AP 22
AP 14
AP 14
N-65
Załącznik nr 7 - Wykaz sprzętu
504
2004
12
682
2005
12
232
2005
12
920
2010
12
923
2010
12
856
2009
12
857
2009
12
858
2009
12
859
2009
12
583
2005
12
597
2005
12
801
2009
12
402
2001
12
509
2004
12
649
2008
12
511
2003
12
730
2000
12
242
2006
12
244
2006
12
820
2005
12
821
2005
12
822
2005
822
2005
12
823
2005
12
153
2009
12
238
2000
12
684
2008
12
268
1980
12
276
1980
12
264
1999
12
636
2009
12
642
2000
12
627
2006
12
679
2008
12
472
1999
12
754
2006
12
755
2006
12
379
2007
12
293
2007
12
943
2011
12
24-10-2013
24-10-2013
24-10-2013
24-11-2012
24-11-2012
24-10-2013
24-10-2013
24-10-2013
24-10-2013
24-10-2013
19-08-2013
24-10-2013
05-09-2013
05-09-2013
05-09-2013
05-09-2013
05-09-2013
05-09-2013
05-09-2013
05-09-2013
05-09-2013
21-08-2013
05-09-2013
05-09-2013
05-09-2013
05-09-2013
05-09-2013
02-11-2012
02-11-2012
02-11-2012
22-05-2013
09-11-2012
02-11-2012
02-11-2012
02-11-2012
02-11-2012
02-11-2012
02-11-2012
02-11-2012
26-04-2013
Oddział chirurgiczny
Oddział chirurgiczny
Oddział chirurgiczny
Oddział chirurgiczny
Oddział chirurgiczny
Oddział chirurgiczny
Oddział chirurgiczny
Oddział chirurgiczny
Oddział chirurgiczny
Oddział chirurgiczny
Oddział chirurgiczny
Oddział chirurgiczny
Oddział dziecięcy
Oddział dziecięcy
Oddział dziecięcy
Oddział dziecięcy
Oddział dziecięcy
Oddział dziecięcy
Oddział dziecięcy
Oddział dziecięcy
Oddział dziecięcy
Oddział dziecięcy
Oddział dziecięcy
Oddział dziecięcy
Oddział dziecięcy
Oddział dziecięcy
Oddział dziecięcy
Oddział noworodkowy
Oddział noworodkowy
Oddział noworodkowy
Oddział noworodkowy
Oddział noworodkowy
Oddział noworodkowy
Oddział noworodkowy
Oddział noworodkowy
Oddział noworodkowy
Oddział noworodkowy
Oddział noworodkowy
Oddział noworodkowy
Oddział noworodkowy
232.
233.
12.
30.
32.
48.
52.
54.
83.
84.
85.
91.
102.
103.
104.
105.
106.
107.
108.
109.
110.
111.
112.
140.
146.
163.
180.
205.
206.
221.
226.
275.
Pulsoksymetr
Pulsoksymetr
Aparat EKG
Autoklaw parowy
Autoklaw parowy
Detektor tętna płodu
Detektor tętna płodu
Detektor tętna płodu
Kardiomonitor
Kardiomonitor
Kardiomonitor
Kardiomonitor
Kardiotokograf
Kardiotokograf
Kardiotokograf
Kardiotokograf
Kardiotokograf
Kardiotokograf
Kardiotokograf
Kardiotokograf
Kardiotokograf
Kardiotokograf
Kolposkop
Podgrzewacz krwi i płynów infuzyjnych
Pompa infuzyjna
Pompa infuzyjna
Pompa infuzyjna dwustrzykawkowa
Pompa infuzyjna jednostrzykawkowa
Pompa infuzyjna jednostrzykawkowa
Pulsoksymetr
Pulsoksymetr
Zgrzewarka
Załącznik nr 7 - Wykaz sprzętu
Oxipleth
470
1994
12
Respironix 512
629
2006
12
AsCard 31
547
1995
12
ASVE
296
1997
3
ASVE
126
1998
3
Sonicaid One
110
2009
12
SRF 618E
681
2007
12
SRF 618E
681
2006
12
Diascope 2
109
1989
12
Diascope 2
10
1989
12
Diascope 2
11
1989
12
Fx 862
75
1996
12
FC-700
846
2009
12
FM7
542
1995
12
IFM 500
632
2006
12
IFM 500
631
2006
12
KTG Fetal monitor 145
541
2006
12
SRF 618 B5
2
2008
12
SRF 618B++
608
2005
12
Team ENH
291
1995
12
Team ENH
294
1995
12
Team ENH
292
1995
12
KLP 21
738
1987
12
ANIMEC AM-2S
836
2009
12
AP 12
157
2006
12
Injectomat S
737
1995
12
AP 22 anaeste
602
2005
12
AP 14
831
2009
12
AP 14
854
2009
12
8500A
579
2004
12
N560-1
151
2009
12
F-108
199
2008
12
02-11-2012
02-11-2012
25-10-2013
05-11-2012
05-11-2012
06-04-2013
28-10-2012
10-11-2012
25-10-2012
25-10-2012
25-10-2012
25-10-2013
25-10-2013
28-10-2012
28-10-2012
28-10-2012
28-10-2012
21-12-2012
28-10-2012
28-10-2012
28-10-2012
28-10-2012
28-10-2012
27-09-2013
28-10-2012
09-11-2012
28-10-2012
28-12-2012
28-12-2012
08-03-2013
25-10-2013
28-10-2012
2.
Aparat do elektroterapii
BTL 4625 Prof.
848
2009
12
30-08-2013
5.
Aparat do laseroterapii
POLARIS 2
870
2009
12
17-12-2012
6.
Aparat do magnetoterapii
BTL 4920 Prof.
851
2009
12
30-08-2013
7.
Aparat do masażu uciskowego
BTL 6000
847
2009
12
29-11-2012
Oddział noworodkowy
Oddział noworodkowy
Oddział położniczo-ginekologiczny
Oddział położniczo-ginekologiczny
Oddział położniczo-ginekologiczny
Oddział położniczo-ginekologiczny
Oddział położniczo-ginekologiczny
Oddział położniczo-ginekologiczny
Oddział położniczo-ginekologiczny
Oddział położniczo-ginekologiczny
Oddział położniczo-ginekologiczny
Oddział położniczo-ginekologiczny
Oddział położniczo-ginekologiczny
Oddział położniczo-ginekologiczny
Oddział położniczo-ginekologiczny
Oddział położniczo-ginekologiczny
Oddział położniczo-ginekologiczny
Oddział położniczo-ginekologiczny
Oddział położniczo-ginekologiczny
Oddział położniczo-ginekologiczny
Oddział położniczo-ginekologiczny
Oddział położniczo-ginekologiczny
Oddział położniczo-ginekologiczny
Oddział położniczo-ginekologiczny
Oddział położniczo-ginekologiczny
Oddział położniczo-ginekologiczny
Oddział położniczo-ginekologiczny
Oddział położniczo-ginekologiczny
Oddział położniczo-ginekologiczny
Oddział położniczo-ginekologiczny
Oddział położniczo-ginekologiczny
Oddział położniczo-ginekologiczny
Oddział rehabilitacyjny z pododdziałem rehabilitacji
neurologicznej
Oddział rehabilitacyjny z pododdziałem rehabilitacji
neurologicznej
Oddział rehabilitacyjny z pododdziałem rehabilitacji
neurologicznej
Oddział rehabilitacyjny z pododdziałem rehabilitacji
neurologicznej
Załącznik nr 7 - Wykaz sprzętu
9.
Aparat do terapii ultradźwiękowej
BTL 4710 Prof.
850
2009
12
30-08-2013
14.
Aparat EKG
AsCard B-5
23
2003
12
22-08-2013
15.
Aparat EKG
AsCard B-5
572
1998
12
30-08-2013
19.
Aparat EKG
AsCard Mr Blue
87
2009
12
30-08-2013
35.
Bieżnia
Marathon ST
853
2009
12
06-05-2013
81.
Kardiomonitor
Cardio 9000
874
2009
12
30-08-2013
82.
Kardiomonitor
Cardio 9000
873
2009
12
30-08-2012
93.
Kardiomonitor
ICARD M6
108
2000
12
30-08-2013
157. Pompa infuzyjna
DUET NOVA 20/50
347
1998
12
30-08-2013
261. Urządzenie do masażu wodnego
Ekopompa - Aquavibron
909
2010
12
14-04-2013
10.
59.
248.
274.
21.
22.
33.
144.
166.
174.
175.
179.
185.
186.
187.
188.
220.
238.
239.
240.
Ascard 3
CRG 3
S 300
Q51095585
B-5
E 600 G
B612/A
S-PCA
SEP 11
AP 22
AP 22
AP 22
AP 14
AP 14
AP 14
AP 14
520A
SiliconBeat 3 Blue
SiliconBeat 3 Blue
CR-07
350
349
565
791
711
727
132
104
43
615
616
911
915
916
918
917
111
123
125
22
1999
1998
1992
1999
2002
2007
2006
2009
2001
2006
2006
2009
2010
2010
2010
2010
1994
2009
2009
2008
12
12
12
12
12
12
12
12
12
12
12
12
12
12
12
12
12
12
12
12
08-09-2013
08-09-2013
08-09-2013
08-09-2013
06-10-2013
06-10-2013
06-10-2013
24-10-2013
18-10-2013
06-10-2013
06-10-2013
06-10-2013
06-10-2013
06-10-2013
06-10-2013
06-10-2013
06-10-2013
06-10-2013
06-10-2013
06-10-2013
Aparat EKG
Ergometr rowerowy
Stymat
Zestaw do badań wysiłkowych Cardiotest
Aparat EKG
Aparat EKG
Bieżnia
Pompa do leczenia bólu
Pompa infuzyjna
Pompa infuzyjna dwustrzykawkowa
Pompa infuzyjna dwustrzykawkowa
Pompa infuzyjna dwustrzykawkowa
Pompa infuzyjna jednostrzykawkowa
Pompa infuzyjna jednostrzykawkowa
Pompa infuzyjna jednostrzykawkowa
Pompa infuzyjna jednostrzykawkowa
Pulsoksymetr
Rejestrator EKG Holter
Rejestrator EKG Holter
Rejestrator RR Holter
Oddział rehabilitacyjny z pododdziałem rehabilitacji
neurologicznej
Oddział rehabilitacyjny z pododdziałem rehabilitacji
neurologicznej
Oddział rehabilitacyjny z pododdziałem rehabilitacji
neurologicznej
Oddział rehabilitacyjny z pododdziałem rehabilitacji
neurologicznej
Oddział rehabilitacyjny z pododdziałem rehabilitacji
neurologicznej
Oddział rehabilitacyjny z pododdziałem rehabilitacji
neurologicznej
Oddział rehabilitacyjny z pododdziałem rehabilitacji
neurologicznej
Oddział rehabilitacyjny z pododdziałem rehabilitacji
neurologicznej
Oddział rehabilitacyjny z pododdziałem rehabilitacji
neurologicznej
Oddział rehabilitacyjny z pododdziałem rehabilitacji
neurologicznej
Oddział wewnętrzny Koźmin
Oddział wewnętrzny Koźmin
Oddział wewnętrzny Koźmin
Oddział wewnętrzny Koźmin
Oddział wewnętrzny Krotoszyn
Oddział wewnętrzny Krotoszyn
Oddział wewnętrzny Krotoszyn
Oddział wewnętrzny Krotoszyn
Oddział wewnętrzny Krotoszyn
Oddział wewnętrzny Krotoszyn
Oddział wewnętrzny Krotoszyn
Oddział wewnętrzny Krotoszyn
Oddział wewnętrzny Krotoszyn
Oddział wewnętrzny Krotoszyn
Oddział wewnętrzny Krotoszyn
Oddział wewnętrzny Krotoszyn
Oddział wewnętrzny Krotoszyn
Oddział wewnętrzny Krotoszyn
Oddział wewnętrzny Krotoszyn
Oddział wewnętrzny Krotoszyn
71.
72.
145.
147.
229.
117.
137.
26.
113.
119.
138.
13.
236.
237.
45.
49.
51.
278.
46.
47.
116.
56.
57.
133.
241.
272.
273.
18.
42.
75.
123.
173.
23.
24.
41.
77.
94.
95.
96.
98.
Kapnograf
EMMA
Kapnograf
EMMA
Pompa infuzyjna
AP 12
Pompa infuzyjna
AP 12
Pulsoksymetr
Nonin 9847
Lancentron
GT-300
Piła do cięcia gipsu
Cast Cutter
Aparat USG
SL 1
Lampa operacyjna
TOPLINE G 6000
Lancentron
GT-300
Piła do cięcia gipsu
REF 941
Aparat EKG
AsCard A4 B
Rejestrator EKG Holter
SiliconBeat 3
Rejestrator EKG Holter
SiliconBeat 3
Detektor tętna płodu
FD-1
Detektor tętna płodu
Sonoline C
Detektor tętna płodu
SRF 618E
Zgrzewarka
ZFP-15
Detektor tętna płodu
FD-1
Detektor tętna płodu
FD-1
Lancentron
GT-300
Diatermia endoskopowa
PSD-10
Diatermia endoskopowa
PSD-10
Myjka ultradźwiękowa
Sonik 10
Rektoskop
CLS/02
Wywoływarka rtg
Compact 45
Wywoływarka rtg stomatologiczna
XR-04
Aparat EKG
AsCard Mr Blue
Defibrylator SERVOCARD (zestaw reaminaSCP 900
Kardiomonitor
Cardio 9000
Macerator
Eko-Finisher
Pompa infuzyjna
SEP 21 S
Aparat EKG
E 600 G
Aparat EKG
E 600 G
Defibrylator
Medic 5
Kardiomonitor
Cardio 9000
Kardiomonitor
Propaq CS
Kardiomonitor
Propaq CS
Kardiomonitor
Propaq LT
Kardiomonitor z kapnografem
Cardio 9000
Załącznik nr 7 - Wykaz sprzętu
889
2009
12
891
2009
12
735
2004
12
537
2004
12
351
1998
12
776
1990
6
777
2006
12
368
1994
12
774
2007
12
14
1990
6
24
2008
12
503
2000
12
585
2005
12
17
2004
12
797
2000
12
225
2012
12
796
2007
12
799
1999
12
813
1995
12
814
1995
12
139
1990
6
97
1996
12
233
1996
12
595
2005
12
234
1995
12
386
1996
3
638
2001
3
580
2004
12
343
1995
12
678
2008
12
393
2000
12
498
2003
12
740
2007
12
614
2006
12
348
1995
12
680
2008
12
78
2001
12
79
2001
12
113
2008
12
806
2007
12
02-03-2013
02-03-2013
28-10-2012
28-10-2012
25-10-2013
04-11-2012
04-11-2012
31-01-2013
27-10-2012
27-10-2012
27-10-2012
05-09-2013
16-11-2012
16-11-2012
30-09-2013
30-08-2013
30-08-2013
30-08-2013
07-11-2012
07-11-2012
07-11-2012
02-11-2012
02-11-2012
02-11-2012
02-11-2012
26-10-2012
06-10-2013
25-08-2013
22-04-2013
21-08-2013
26-07-2013
28-10-2012
25-09-2013
25-09-2013
05-09-2013
25-09-2013
25-09-2013
23-08-2013
23-08-2013
25-09-2013
Pogotowie Ratunkowe Krotoszyn
Pogotowie Ratunkowe Krotoszyn
Pogotowie Ratunkowe Krotoszyn
Pogotowie Ratunkowe Krotoszyn
Pogotowie Ratunkowe Krotoszyn
Poradnia chirurgiczna ul. Bolewskiego
Poradnia chirurgiczna ul. Bolewskiego
Poradnia chirurgiczna ul. Floriańska
Poradnia chirurgiczna ul. Floriańska
Poradnia chirurgiczna ul. Floriańska
Poradnia chirurgiczna ul. Floriańska
Poradnia kardiologiczna
Poradnia kardiologiczna
Poradnia kardiologiczna
Poradnia położniczo-ginekologiczna Koźmin
Poradnia położniczo-ginekologiczna Koźmin
Poradnia położniczo-ginekologiczna Koźmin
Poradnia położniczo-ginekologiczna Koźmin
Poradnia położniczo-ginekologiczna Krotoszyn
Poradnia położniczo-ginekologiczna Krotoszyn
Poradnia położniczo-ginekologiczna Krotoszyn
Pracownia endoskopii
Pracownia endoskopii
Pracownia endoskopii
Pracownia endoskopii
Pracownia rtg ul.Bolewskiego
Pracownia rtg ul.Bolewskiego
Stacja Dializ
Stacja Dializ
Stacja Dializ
Stacja Dializ
Stacja Dializ
Szpitalny Oddział Ratunkowy
Szpitalny Oddział Ratunkowy
Szpitalny Oddział Ratunkowy
Szpitalny Oddział Ratunkowy
Szpitalny Oddział Ratunkowy
Szpitalny Oddział Ratunkowy
Szpitalny Oddział Ratunkowy
Szpitalny Oddział Ratunkowy
99.
100.
101.
114.
115.
142.
167.
168.
169.
170.
176.
177.
178.
191.
192.
193.
194.
195.
196.
197.
198.
199.
200.
201.
202.
203.
204.
219.
277.
1.
3.
4.
8.
34.
55.
58.
66.
120.
121.
122.
Kardiomonitor z kapnografem
Kardiomonitor z kapnografem
Kardiomonitor z kapnografem
Lampa operacyjna
Lampa operacyjna
Podgrzewacz płynów infuzyjnych
Pompa infuzyjna
Pompa infuzyjna
Pompa infuzyjna
Pompa infuzyjna
Pompa infuzyjna dwustrzykawkowa
Pompa infuzyjna dwustrzykawkowa
Pompa infuzyjna dwustrzykawkowa
Pompa infuzyjna jednostrzykawkowa
Pompa infuzyjna jednostrzykawkowa
Pompa infuzyjna jednostrzykawkowa
Pompa infuzyjna jednostrzykawkowa
Pompa infuzyjna jednostrzykawkowa
Pompa infuzyjna jednostrzykawkowa
Pompa infuzyjna jednostrzykawkowa
Pompa infuzyjna jednostrzykawkowa
Pompa infuzyjna jednostrzykawkowa
Pompa infuzyjna jednostrzykawkowa
Pompa infuzyjna jednostrzykawkowa
Pompa infuzyjna jednostrzykawkowa
Pompa infuzyjna jednostrzykawkowa
Pompa infuzyjna jednostrzykawkowa
Pompa objętościowa
Zgrzewarka
Aparat do elektro i laseroterapii
Aparat do krioterapii
Aparat do laseroterapii
Aparat do masażu uciskowego
Bieżnia
Diatermia
Diatronic
Interdynamic
Laser biostymulacyjny
Laser Terapuls
Lasertronic
Cardio 9000
Cardio 9000
Cardio 9000
TOPLINE G 6000
TOPLINE G 6000
Animec AM-2S
SEP 21
SEP 21
SEP 21
SEP 21
AP 22
AP 22
AP 22
AP 14
AP 14
AP 14
AP 14
AP 14
AP 14
AP 14
AP 14
AP 14
AP 14
AP 14
AP 14
AP 14
AP 14
GRASEBY 3000
ZFP-15
BTL 4810 L Optimal
NR 2
PHYSIOTER D50
Doctor Life 2002D
G-63
BTL 20 (Terapuls)
DT-7B
Ld-4C
Terapus
GD-200
LT-30
Załącznik nr 7 - Wykaz sprzętu
807
2007
12
676
2008
12
677
2008
12
817
2007
12
812
2007
12
81
2000
12
332
2001
12
322
2001
12
323
2001
12
324
2001
12
617
2006
12
618
2006
12
619
2006
12
30
2011
12
39
2011
12
40
2011
12
41
2011
12
42
2011
12
45
2011
12
47
2011
12
48
2011
12
49
2011
12
50
2011
12
51
2011
12
54
2011
12
56
2011
12
57
2011
12
732
2007
12
333
2004
12
605
2005
12
168
2000
12
634
1999
12
461
2007
12
315
1995
12
849
2009
12
320
1995
12
171
1995
12
163
2000
12
758
1990
12
312
1990
12
25-09-2013
25-09-2013
25-09-2013
25-09-2013
25-09-2013
06-08-2013
25-09-2013
25-09-2013
25-09-2013
25-09-2013
25-09-2013
25-09-2013
25-09-2013
28-12-2012
28-12-2012
28-12-2012
28-12-2012
28-12-2012
28-12-2012
28-12-2012
28-12-2012
28-12-2012
28-12-2012
28-12-2012
28-12-2012
28-12-2012
28-12-2012
05-11-2012
27-07-2013
10-09-2013
02-11-2012
10-09-2013
10-09-2013
10-09-2013
29-11-2012
10-09-2013
13-09-2013
11-09-2013
10-09-2013
10-09-2013
Szpitalny Oddział Ratunkowy
Szpitalny Oddział Ratunkowy
Szpitalny Oddział Ratunkowy
Szpitalny Oddział Ratunkowy
Szpitalny Oddział Ratunkowy
Szpitalny Oddział Ratunkowy
Szpitalny Oddział Ratunkowy
Szpitalny Oddział Ratunkowy
Szpitalny Oddział Ratunkowy
Szpitalny Oddział Ratunkowy
Szpitalny Oddział Ratunkowy
Szpitalny Oddział Ratunkowy
Szpitalny Oddział Ratunkowy
Szpitalny Oddział Ratunkowy
Szpitalny Oddział Ratunkowy
Szpitalny Oddział Ratunkowy
Szpitalny Oddział Ratunkowy
Szpitalny Oddział Ratunkowy
Szpitalny Oddział Ratunkowy
Szpitalny Oddział Ratunkowy
Szpitalny Oddział Ratunkowy
Szpitalny Oddział Ratunkowy
Szpitalny Oddział Ratunkowy
Szpitalny Oddział Ratunkowy
Szpitalny Oddział Ratunkowy
Szpitalny Oddział Ratunkowy
Szpitalny Oddział Ratunkowy
Szpitalny Oddział Ratunkowy
Szpitalny Oddział Ratunkowy
Zakład Leczniczego Usprawniania
Zakład Leczniczego Usprawniania
Zakład Leczniczego Usprawniania
Zakład Leczniczego Usprawniania
Zakład Leczniczego Usprawniania
Zakład Leczniczego Usprawniania
Zakład Leczniczego Usprawniania
Zakład Leczniczego Usprawniania
Zakład Leczniczego Usprawniania
Zakład Leczniczego Usprawniania
Zakład Leczniczego Usprawniania
124.
125.
126.
234.
246.
247.
259.
260.
11.
161.
211.
223.
249.
250.
251.
263.
Magnetronic
Magnetronic
Magnoter
Pulsotronic
Stymat
Stymat
Ultraton
Ultraton
Aparat EKG
Pompa infuzyjna
Pompa infuzyjna jednostrzykawkowa
Pulsoksymetr
Stymat
Stymulator
Suction unit
Urządzenie płucząco-dezynfekujące
MF-10
MF-10
D 56
ST-5D
S 200
S 200
D 200
D 200
Ascard 3
DUET NOVA 20/50
Injectomat S
8500A
S 300
Mixing 2
SC 2
Tornado
Załącznik nr 7 - Wykaz sprzętu
169
2000
12
311
1995
12
635
1999
12
302
1995
12
752
1995
12
761
1980
12
759
1982
12
757
1990
12
396
1998
12
455
2002
12
552
1995
12
582
2005
12
397
1992
12
165
1999
12
164
2000
12
38
1999
6
11-09-2013
10-09-2013
10-09-2013
10-09-2013
05-11-2012
10-09-2013
10-09-2013
10-09-2013
07-11-2012
07-11-2012
07-11-2012
23-05-2013
07-11-2012
10-09-2013
10-09-2013
05-11-2012
Zakład Leczniczego Usprawniania
Zakład Leczniczego Usprawniania
Zakład Leczniczego Usprawniania
Zakład Leczniczego Usprawniania
Zakład Leczniczego Usprawniania
Zakład Leczniczego Usprawniania
Zakład Leczniczego Usprawniania
Zakład Leczniczego Usprawniania
Zakład Opiekuńczo-Leczniczy
Zakład Opiekuńczo-Leczniczy
Zakład Opiekuńczo-Leczniczy
Zakład Opiekuńczo-Leczniczy
Zakład Opiekuńczo-Leczniczy
Zakład Opiekuńczo-Leczniczy
Zakład Opiekuńczo-Leczniczy
Zakład Opiekuńczo-Leczniczy