Projekt Łączne wydatki bieżące majątkowe 1 600 60016

Transkrypt

Projekt Łączne wydatki bieżące majątkowe 1 600 60016
Projekt
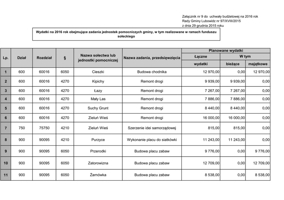
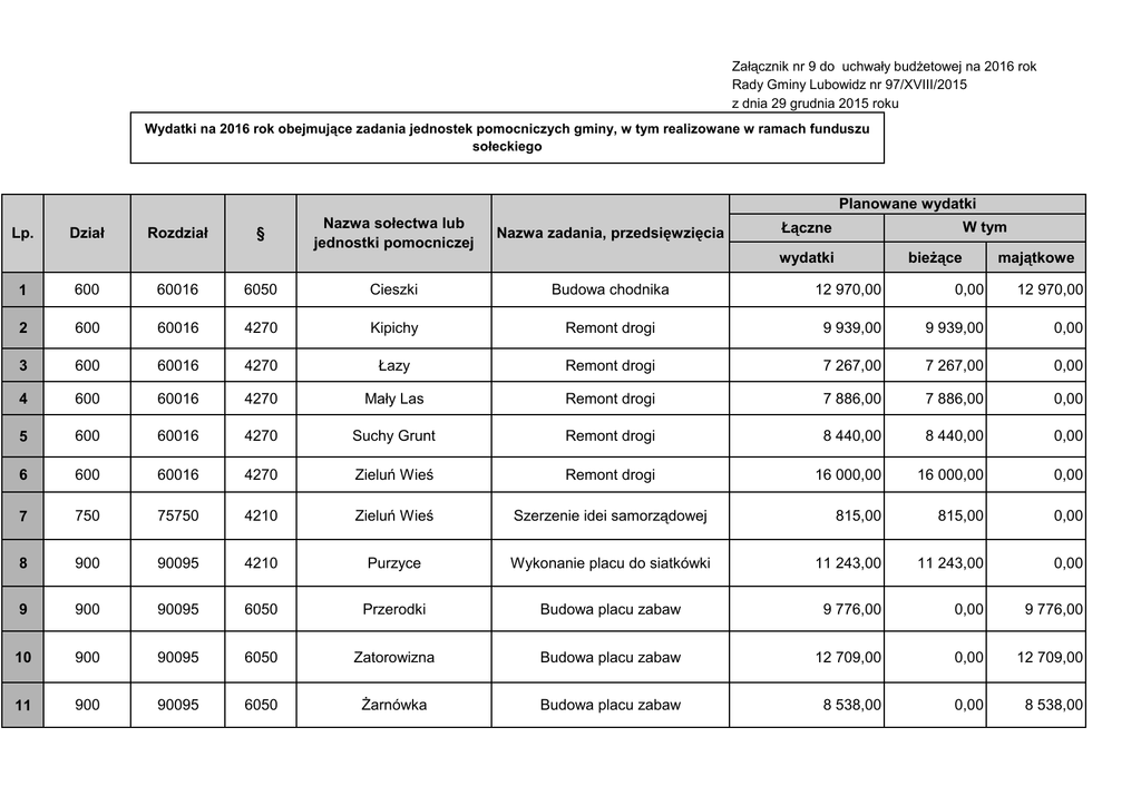
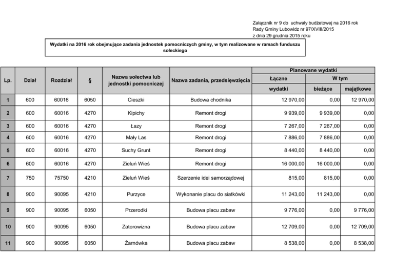
Załącznik nr 9 do uchwały budżetowej na 2016 rok
Rady Gminy Lubowidz nr 97/XVIII/2015
z dnia 29 grudnia 2015 roku
Wydatki na 2016 rok obejmujące zadania jednostek pomocniczych gminy, w tym realizowane w ramach funduszu
sołeckiego
Planowane wydatki
Lp.
Dział
Rozdział
§
Nazwa sołectwa lub
jednostki pomocniczej
Nazwa zadania, przedsięwzięcia
W tym
Łączne
wydatki
bieżące
majątkowe
1
600
60016
6050
Cieszki
Budowa chodnika
12 970,00
0,00
12 970,00
2
600
60016
4270
Kipichy
Remont drogi
9 939,00
9 939,00
0,00
3
600
60016
4270
Łazy
Remont drogi
7 267,00
7 267,00
0,00
4
600
60016
4270
Mały Las
Remont drogi
7 886,00
7 886,00
0,00
5
600
60016
4270
Suchy Grunt
Remont drogi
8 440,00
8 440,00
0,00
6
600
60016
4270
Zieluń Wieś
Remont drogi
16 000,00
16 000,00
0,00
7
750
75750
4210
Zieluń Wieś
Szerzenie idei samorządowej
815,00
815,00
0,00
8
900
90095
4210
Purzyce
Wykonanie placu do siatkówki
11 243,00
11 243,00
0,00
9
900
90095
6050
Przerodki
Budowa placu zabaw
9 776,00
0,00
9 776,00
10
900
90095
6050
Zatorowizna
Budowa placu zabaw
12 709,00
0,00
12 709,00
11
900
90095
6050
Żarnówka
Budowa placu zabaw
8 538,00
0,00
8 538,00
12
900
90095
6050
Żelaźnia
Budowa placu zabaw
8 571,00
0,00
8 571,00
13
900
90095
6050
Huta
Budowa placu zabaw
9 255,00
0,00
9 255,00
14
900
90095
6050
Lubowidz
Budowa siłowni plenerowej
32 587,00
0,00
32 587,00
15
900
90095
6050
Sinogóra
Budowa świetlicy wiejskiej
19 096,00
0,00
19 096,00
16
900
90095
6050
Wylazłowo
Budowa świetlicy wiejskiej
12 448,00
0,00
12 448,00
17
900
90095
6050
Dziwy
Modernizacja świetlicy wiejskiej
10 591,00
0,00
10 591,00
18
900
90095
6050
Kozilas
Modernizacja świetlicy wiejskiej
9 907,00
0,00
9 907,00
19
900
90095
6050
Wronka
Modernizacja zbiornika wodnego
15 837,00
0,00
15 837,00
20
900
90095
6050
Zieluń Osada
Rekultywacja parku
20 660,00
0,00
20 660,00
21
900
90095
6050
Jasiony
Wykonanie instalacji grzewczej w
świetlicy wiejskiej
9 809,00
0,00
9 809,00
22
900
90095
6050
Rynowo
Wykonanie instalacji grzewczej w
świetlicy wiejskiej
9 711,00
0,00
9 711,00
23
900
90095
6050
Obórki
Zagospodarowanie działki pod plac
zabaw
8 962,00
0,00
8 962,00
24
900
90095
6050
Ruda
Zagospodarowanie działki
9 613,00
0,00
9 613,00
25
900
90095
6050
Mleczówka
Zagospodarowanie terenu wokół
świetlicy wiejskiej
15 023,00
0,00
15 023,00
26
900
90095
6050
Osówka
Zagospodarowanie terenu wokół
świetlicy wiejskiej
16 456,00
0,00
16 456,00
27
900
90095
6050
Płociczno
Zagospodarowanie terenu wokół
świetlicy wiejskiej
14 501,00
0,00
14 501,00
28
900
90095
6060
Straszewy
Wyposażenie świetlicy wiejskiej i
placu zabaw
14 664,00
0,00
14 664,00
29
900
90095
6060
Konopaty
Wyposażenie świetlicy wiejskiej
9 841,00
0,00
9 841,00
30
900
90095
6060
Syberia
Wyposażenie świetlicy wiejskiej
13 254,00
0,00
13 254,00
366 369,00
61 590,00
304 779,00
Razem:
Przewodniczący Rady Gminy
Michał Zieliński