staż w przedsiębiorstwach:Polska Grafika Samochodowa Spółka

Transkrypt

staż w przedsiębiorstwach:Polska Grafika Samochodowa Spółka
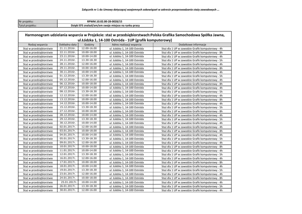
Załącznik nr 1 do Umowy dotyczącej wzajemnych zobowiązao w zakresie przeprowadzania staży zawodowych ...
Nr projektu:
Tytuł projektu:
RPWM.10.02.00-28-0028/15
Dzięki EFS znalazł/am/em swoje miejsce na rynku pracy
Harmonogram udzielania wsparcia w Projekcie: staż w przedsiębiorstwach:Polska Grafika Samochodowa Spółka Jawna,
ul.Łódzka 1, 14-100 Ostróda - 1UP (grafik komputerowy)
Rodzaj wsparcia
Staż w przedsiębiorstwie
Staż w przedsiębiorstwie
Staż w przedsiębiorstwie
Staż w przedsiębiorstwie
Staż w przedsiębiorstwie
Staż w przedsiębiorstwie
Staż w przedsiębiorstwie
Staż w przedsiębiorstwie
Staż w przedsiębiorstwie
Staż w przedsiębiorstwie
Staż w przedsiębiorstwie
Staż w przedsiębiorstwie
Staż w przedsiębiorstwie
Staż w przedsiębiorstwie
Staż w przedsiębiorstwie
Staż w przedsiębiorstwie
Staż w przedsiębiorstwie
Staż w przedsiębiorstwie
Staż w przedsiębiorstwie
Staż w przedsiębiorstwie
Staż w przedsiębiorstwie
Staż w przedsiębiorstwie
Staż w przedsiębiorstwie
Staż w przedsiębiorstwie
Staż w przedsiębiorstwie
Staż w przedsiębiorstwie
Staż w przedsiębiorstwie
Staż w przedsiębiorstwie
Staż w przedsiębiorstwie
Staż w przedsiębiorstwie
Staż w przedsiębiorstwie
Staż w przedsiębiorstwie
Staż w przedsiębiorstwie
Staż w przedsiębiorstwie
Staż w przedsiębiorstwie
Staż w przedsiębiorstwie
Staż w przedsiębiorstwie
Dokładna data
Godziny
21.11.2016r.
12.00-16.00
22.11.2016r.
10.00-18.00
23.11.2016r.
10.00-14.00
24.11.2016r.
13.30-18.30
28.11.2016r.
12.00-16.00
29.11.2016r.
10.00-18.00
30.11.2016r.
10.00-14.00
01.12.2016r.
13.30-18.30
05.12.2016r.
12.00-16.00
06.12.2016r.
10.00-18.00
07.12.2016r.
10.00-14.00
08.12.2016r.
13.30-18.30
12.12.2016r.
12.00-16.00
13.12.2016r.
10.00-18.00
14.12.2016r.
10.00-14.00
15.12.2016r.
13.30-18.30
27.12.2016r.
10.00-18.00
28.12.2016r.
10.00-14.00
29.12.2016r.
13.30-18.30
30.12.2016r.
10.00-14.00
02.01.2017r.
12.00-16.00
03.01.2017r.
10.00-18.00
04.01.2017r.
10.00-14.00
05.01.2017r.
13.30-18.30
09.01.2017r.
12.00-16.00
10.01.2017r.
10.00-18.00
11.01.2017r.
10.00-14.00
12.01.2017r.
13.30-18.30
16.01.2017r.
12.00-16.00
17.01.2017r.
10.00-18.00
18.01.2017r.
10.00-14.00
19.01.2017r.
13.30-18.30
23.01.2017r.
12.00-16.00
24.01.2017r.
10.00-18.00
25.01.2017r.
10.00-14.00
26.01.2017r.
13.30-18.30
30.01.2017r.
12.00-16.00
Adres realizacji wsparcia
ul. Łódzka 1, 14-100 Ostróda
ul. Łódzka 1, 14-100 Ostróda
ul. Łódzka 1, 14-100 Ostróda
ul. Łódzka 1, 14-100 Ostróda
ul. Łódzka 1, 14-100 Ostróda
ul. Łódzka 1, 14-100 Ostróda
ul. Łódzka 1, 14-100 Ostróda
ul. Łódzka 1, 14-100 Ostróda
ul. Łódzka 1, 14-100 Ostróda
ul. Łódzka 1, 14-100 Ostróda
ul. Łódzka 1, 14-100 Ostróda
ul. Łódzka 1, 14-100 Ostróda
ul. Łódzka 1, 14-100 Ostróda
ul. Łódzka 1, 14-100 Ostróda
ul. Łódzka 1, 14-100 Ostróda
ul. Łódzka 1, 14-100 Ostróda
ul. Łódzka 1, 14-100 Ostróda
ul. Łódzka 1, 14-100 Ostróda
ul. Łódzka 1, 14-100 Ostróda
ul. Łódzka 1, 14-100 Ostróda
ul. Łódzka 1, 14-100 Ostróda
ul. Łódzka 1, 14-100 Ostróda
ul. Łódzka 1, 14-100 Ostróda
ul. Łódzka 1, 14-100 Ostróda
ul. Łódzka 1, 14-100 Ostróda
ul. Łódzka 1, 14-100 Ostróda
ul. Łódzka 1, 14-100 Ostróda
ul. Łódzka 1, 14-100 Ostróda
ul. Łódzka 1, 14-100 Ostróda
ul. Łódzka 1, 14-100 Ostróda
ul. Łódzka 1, 14-100 Ostróda
ul. Łódzka 1, 14-100 Ostróda
ul. Łódzka 1, 14-100 Ostróda
ul. Łódzka 1, 14-100 Ostróda
ul. Łódzka 1, 14-100 Ostróda
ul. Łódzka 1, 14-100 Ostróda
ul. Łódzka 1, 14-100 Ostróda
Dodatkowe informacje
Staż dla 1 UP w zawodzie Grafik komputerowy - 4h
Staż dla 1 UP w zawodzie Grafik komputerowy - 8h
Staż dla 1 UP w zawodzie Grafik komputerowy - 4h
Staż dla 1 UP w zawodzie Grafik komputerowy - 5h
Staż dla 1 UP w zawodzie Grafik komputerowy - 4h
Staż dla 1 UP w zawodzie Grafik komputerowy - 8h
Staż dla 1 UP w zawodzie Grafik komputerowy - 4h
Staż dla 1 UP w zawodzie Grafik komputerowy - 5h
Staż dla 1 UP w zawodzie Grafik komputerowy - 4h
Staż dla 1 UP w zawodzie Grafik komputerowy - 8h
Staż dla 1 UP w zawodzie Grafik komputerowy - 4h
Staż dla 1 UP w zawodzie Grafik komputerowy - 5h
Staż dla 1 UP w zawodzie Grafik komputerowy - 4h
Staż dla 1 UP w zawodzie Grafik komputerowy - 8h
Staż dla 1 UP w zawodzie Grafik komputerowy - 4h
Staż dla 1 UP w zawodzie Grafik komputerowy - 5h
Staż dla 1 UP w zawodzie Grafik komputerowy - 8h
Staż dla 1 UP w zawodzie Grafik komputerowy - 4h
Staż dla 1 UP w zawodzie Grafik komputerowy - 5h
Staż dla 1 UP w zawodzie Grafik komputerowy - 4h
Staż dla 1 UP w zawodzie Grafik komputerowy - 4h
Staż dla 1 UP w zawodzie Grafik komputerowy - 8h
Staż dla 1 UP w zawodzie Grafik komputerowy - 4h
Staż dla 1 UP w zawodzie Grafik komputerowy - 5h
Staż dla 1 UP w zawodzie Grafik komputerowy - 4h
Staż dla 1 UP w zawodzie Grafik komputerowy - 8h
Staż dla 1 UP w zawodzie Grafik komputerowy - 4h
Staż dla 1 UP w zawodzie Grafik komputerowy - 5h
Staż dla 1 UP w zawodzie Grafik komputerowy - 4h
Staż dla 1 UP w zawodzie Grafik komputerowy - 8h
Staż dla 1 UP w zawodzie Grafik komputerowy - 4h
Staż dla 1 UP w zawodzie Grafik komputerowy - 5h
Staż dla 1 UP w zawodzie Grafik komputerowy - 4h
Staż dla 1 UP w zawodzie Grafik komputerowy - 8h
Staż dla 1 UP w zawodzie Grafik komputerowy - 4h
Staż dla 1 UP w zawodzie Grafik komputerowy - 5h
Staż dla 1 UP w zawodzie Grafik komputerowy - 4h
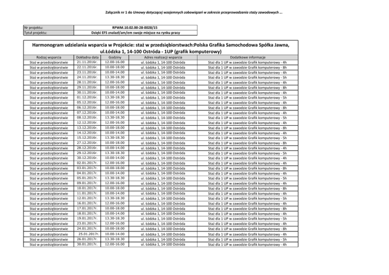
Załącznik nr 1 do Umowy dotyczącej wzajemnych zobowiązao w zakresie przeprowadzania staży zawodowych ...
Staż w przedsiębiorstwie
Staż w przedsiębiorstwie
Staż w przedsiębiorstwie
Staż w przedsiębiorstwie
Staż w przedsiębiorstwie
Staż w przedsiębiorstwie
Staż w przedsiębiorstwie
Staż w przedsiębiorstwie
Staż w przedsiębiorstwie
Staż w przedsiębiorstwie
Staż w przedsiębiorstwie
Staż w przedsiębiorstwie
31.01.2017r.
10.00-18.00
01.02.2017r.
10.00-14.00
02.02.2017r.
13.30-18.30
06.02.2017r.
12.00-16.00
07.02.2017r.
10.00-18.00
08.02.2017r
10.00-14.00
09.02.2017r
13.30-18.30
13.02.2017r.
12.00-16.00
14.02.2017r.
10.00-18.00
15.02.2017r.
10.00-14.00
16.02.2017r.
13.30-17.30
20.02.2017r.
12.00-17.00
ul. Łódzka 1, 14-100 Ostróda
ul. Łódzka 1, 14-100 Ostróda
ul. Łódzka 1, 14-100 Ostróda
ul. Łódzka 1, 14-100 Ostróda
ul. Łódzka 1, 14-100 Ostróda
ul. Łódzka 1, 14-100 Ostróda
ul. Łódzka 1, 14-100 Ostróda
ul. Łódzka 1, 14-100 Ostróda
ul. Łódzka 1, 14-100 Ostróda
ul. Łódzka 1, 14-100 Ostróda
ul. Łódzka 1, 14-100 Ostróda
ul. Łódzka 1, 14-100 Ostróda
Staż dla 1 UP w zawodzie Grafik komputerowy - 8h
Staż dla 1 UP w zawodzie Grafik komputerowy - 4h
Staż dla 1 UP w zawodzie Grafik komputerowy - 5h
Staż dla 1 UP w zawodzie Grafik komputerowy - 4h
Staż dla 1 UP w zawodzie Grafik komputerowy - 8h
Staż dla 1 UP w zawodzie Grafik komputerowy - 4h
Staż dla 1 UP w zawodzie Grafik komputerowy - 5h
Staż dla 1 UP w zawodzie Grafik komputerowy - 4h
Staż dla 1 UP w zawodzie Grafik komputerowy - 8h
Staż dla 1 UP w zawodzie Grafik komputerowy - 4h
Staż dla 1 UP w zawodzie Grafik komputerowy - 4h
Staż dla 1 UP w zawodzie Grafik komputerowy - 5h