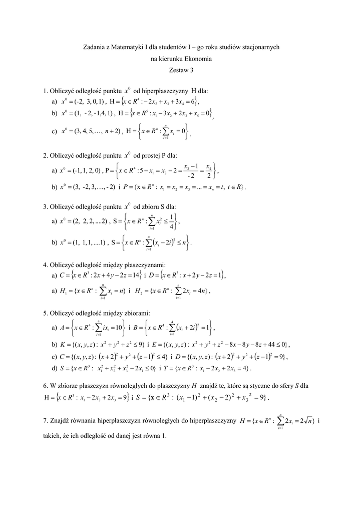
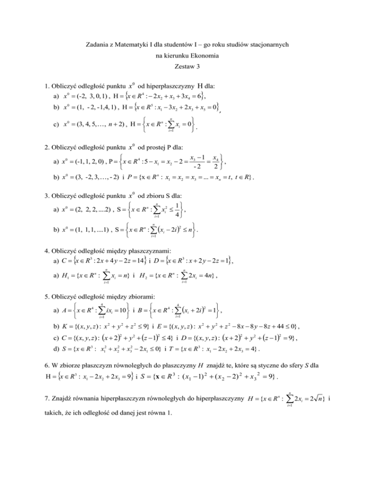
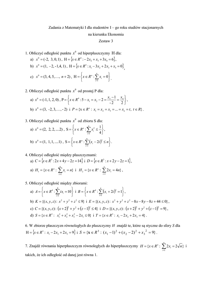
Zestaw 3

Transkrypt

Zestaw 3
Zadania z Matematyki I dla studentów I – go roku studiów stacjonarnych
na kierunku Ekonomia
Zestaw 3
1. Obliczyć odległość punktu x 0 od hiperpłaszczyzny H dla:
a) x 0  (-2, 3, 0, 1) , H  x  R 4 :  2 x2  x3  3x4  6,
b) x 0  (1, - 2, - 1,4, 1) , H  x  R 5 : x1  3x2  2 x3  x5  0,
n


c) x 0  (3, 4, 5, , n  2) , H   x  R n :  xi  0 .
i 1


2. Obliczyć odległość punktu x 0 od prostej P dla:
x  1 x4 

 ,
a) x 0  (-1, 1, 2, 0) , P   x  R 4 : 5  x1  x2  2  3
-2
2

b) x 0  (3, - 2, 3, , - 2) i P  {x  R n : x1  x2  x3  ...  xn  t , t  R} .
3. Obliczyć odległość punktu x 0 od zbioru S dla:
n
1

a) x 0  (2, 2, 2, ....2) , S   x  R n :  xi2   ,
4
i 1

n


2
b) x 0  (1, 1, 1, ....1) , S   x  R n :  xi  2i   n .
i 1


4. Obliczyć odległość między płaszczyznami:




a) C  x  R 3 : 2 x  4 y  2 z  14 i D  x  R 3 : x  2 y  2 z  1 ,
a) H1  {x  R n :
n
x
i
 n} i H 2  {x  R n :
i 1
n
 2x
i 1
i
 4n} ,
5. Obliczyć odległość między zbiorami:
4
4




2
a) A   x  R 4 :  ixi  10  i B   x  R 4 :  xi  2i   1 ,
i 1


i 1


b) K  {( x, y, z ) : x 2  y 2  z 2  9} i E  {( x, y, z ) : x 2  y 2  z 2  8 x  8 y  8 z  44  0} ,
c) C  {( x, y, z ) : x  2  y 2  z  1  4} i D  {( x, y, z ) : x  2  y 2  z  1  9} ,
2
2
2
2
d) S  {x  R 3 : x12  x22  x32  2 x1  0} i T  {x  R 3 : x1  2 x2  2 x3  4} .
6. W zbiorze płaszczyzn równoległych do płaszczyzny H znajdź te, które są styczne do sfery S dla
H  x  R 3 : x1  2 x2  2 x3  9 i S  {x  R 3 : ( x1  1) 2  ( x 2  2) 2  x 3  9} .
2
7. Znajdź równania hiperpłaszczyzn równoległych do hiperpłaszczyzny H  {x  R n :
n
 2x
i
i 1
takich, że ich odległość od danej jest równa 1.
 2 n} i

Podobne dokumenty