I-IV kw.09r. do Dep Komun_01_10_09

Transkrypt

I-IV kw.09r. do Dep Komun_01_10_09
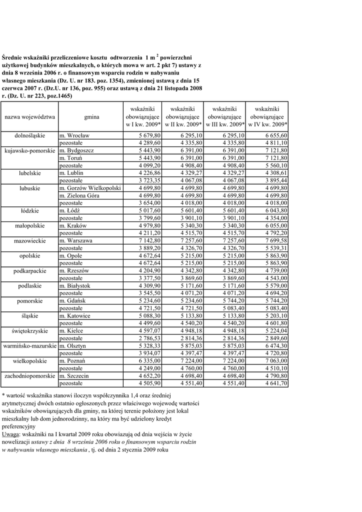
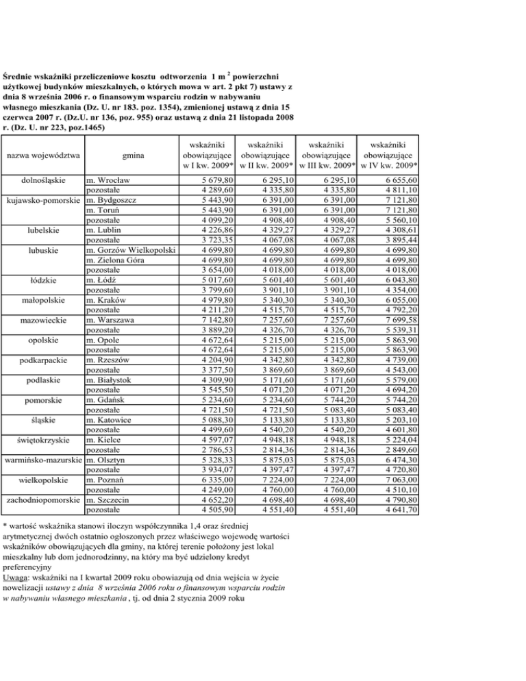
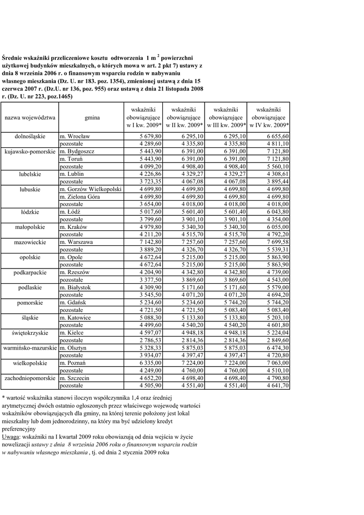
Średnie wskaźniki przeliczeniowe kosztu odtworzenia 1 m 2 powierzchni
uŜytkowej budynków mieszkalnych, o których mowa w art. 2 pkt 7) ustawy z
dnia 8 września 2006 r. o finansowym wsparciu rodzin w nabywaniu
własnego mieszkania (Dz. U. nr 183. poz. 1354), zmienionej ustawą z dnia 15
czerwca 2007 r. (Dz.U. nr 136, poz. 955) oraz ustawą z dnia 21 listopada 2008
r. (Dz. U. nr 223, poz.1465)
nazwa województwa
gmina
m. Wrocław
pozostałe
kujawsko-pomorskie m. Bydgoszcz
m. Toruń
pozostałe
m. Lublin
lubelskie
pozostałe
m. Gorzów Wielkopolski
lubuskie
m. Zielona Góra
pozostałe
m. Łódź
łódzkie
pozostałe
m. Kraków
małopolskie
pozostałe
m. Warszawa
mazowieckie
pozostałe
m. Opole
opolskie
pozostałe
m. Rzeszów
podkarpackie
pozostałe
m. Białystok
podlaskie
pozostałe
m. Gdańsk
pomorskie
pozostałe
m. Katowice
śląskie
pozostałe
m. Kielce
świętokrzyskie
pozostałe
warmińsko-mazurskie m. Olsztyn
pozostałe
m. Poznań
wielkopolskie
pozostałe
zachodniopomorskie m. Szczecin
pozostałe
dolnośląskie
wskaźniki
wskaźniki
wskaźniki
wskaźniki
obowiązujące obowiązujące obowiązujące
obowiązujące
w I kw. 2009* w II kw. 2009* w III kw. 2009* w IV kw. 2009*
5 679,80
4 289,60
5 443,90
5 443,90
4 099,20
4 226,86
3 723,35
4 699,80
4 699,80
3 654,00
5 017,60
3 799,60
4 979,80
4 211,20
7 142,80
3 889,20
4 672,64
4 672,64
4 204,90
3 377,50
4 309,90
3 545,50
5 234,60
4 721,50
5 088,30
4 499,60
4 597,07
2 786,53
5 328,33
3 934,07
6 335,00
4 249,00
4 652,20
4 505,90
6 295,10
4 335,80
6 391,00
6 391,00
4 908,40
4 329,27
4 067,08
4 699,80
4 699,80
4 018,00
5 601,40
3 901,10
5 340,30
4 515,70
7 257,60
4 326,70
5 215,00
5 215,00
4 342,80
3 869,60
5 171,60
4 071,20
5 234,60
4 721,50
5 133,80
4 540,20
4 948,18
2 814,36
5 875,03
4 397,47
7 224,00
4 760,00
4 698,40
4 551,40
* wartość wskaźnika stanowi iloczyn współczynnika 1,4 oraz średniej
arytmetycznej dwóch ostatnio ogłoszonych przez właściwego wojewodę wartości
wskaźników obowiązujących dla gminy, na której terenie połoŜony jest lokal
mieszkalny lub dom jednorodzinny, na który ma być udzielony kredyt
preferencyjny
Uwaga: wskaźniki na I kwartał 2009 roku obowiazują od dnia wejścia w Ŝycie
nowelizacji ustawy z dnia 8 września 2006 roku o finansowym wsparciu rodzin
w nabywaniu własnego mieszkania , tj. od dnia 2 stycznia 2009 roku
6 295,10
4 335,80
6 391,00
6 391,00
4 908,40
4 329,27
4 067,08
4 699,80
4 699,80
4 018,00
5 601,40
3 901,10
5 340,30
4 515,70
7 257,60
4 326,70
5 215,00
5 215,00
4 342,80
3 869,60
5 171,60
4 071,20
5 744,20
5 083,40
5 133,80
4 540,20
4 948,18
2 814,36
5 875,03
4 397,47
7 224,00
4 760,00
4 698,40
4 551,40
6 655,60
4 811,10
7 121,80
7 121,80
5 560,10
4 308,61
3 895,44
4 699,80
4 699,80
4 018,00
6 043,80
4 354,00
6 055,00
4 792,20
7 699,58
5 539,31
5 863,90
5 863,90
4 739,00
4 543,00
5 579,00
4 694,20
5 744,20
5 083,40
5 203,10
4 601,80
5 224,04
2 849,60
6 474,30
4 720,80
7 063,00
4 510,10
4 790,80
4 641,70