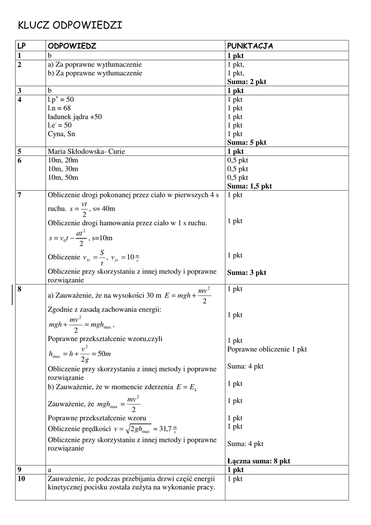
klucz odpowiedzi

Transkrypt

klucz odpowiedzi
KLUCZ ODPOWIEDZI
LP
1
2
ODPOWIEDZ
b
a) Za poprawne wytłumaczenie
b) Za poprawne wytłumaczenie
3
4
b
l.p+ = 50
l.n = 68
ładunek jądra +50
l.e- = 50
Cyna, Sn
5
6
Maria Skłodowska- Curie
10m, 20m
10m, 30m
10m, 50m
7
Obliczenie drogi pokonanej przez ciało w pierwszych 4 s
vt
ruchu. s = , s= 40m
2
Obliczenie drogi hamowania przez ciało w 1 s ruchu.
at 2
s = v0 t −
, s=10m
2
S
Obliczenie v śr = , v śr = 10 ms
t
Obliczenie przy skorzystaniu z innej metody i poprawne
rozwiązanie
mv 2
a) ZauwaŜenie, Ŝe na wysokości 30 m E = mgh +
2
Zgodnie z zasadą zachowania energii:
mv 2
mgh +
= mghmax ,
2
Poprawne przekształcenie wzoru,czyli
v2
hmax = h +
= 50m
2g
Obliczenie przy skorzystaniu z innej metody i poprawne
rozwiązanie
b) ZauwaŜenie, Ŝe w momencie zderzenia E = E k
8
mv 2
2
Poprawne przekształcenie wzoru
Obliczenie prędkości v = 2 ghmax ≈ 31,7 ms
Obliczenie przy skorzystaniu z innej metody i poprawne
rozwiązanie
ZauwaŜenie, Ŝe mghmax =
9
10
a
ZauwaŜenie, Ŝe podczas przebijania drzwi część energii
kinetycznej pocisku została zuŜyta na wykonanie pracy.
PUNKTACJA
1 pkt
1 pkt,
1 pkt,
Suma: 2 pkt
1 pkt
1 pkt
1 pkt
1 pkt
1 pkt
1 pkt
Suma: 5 pkt
1 pkt
0,5 pkt
0,5 pkt
0,5 pkt
Suma: 1,5 pkt
1 pkt
1 pkt
1 pkt
Suma: 3 pkt
1 pkt
1 pkt
1 pkt
Poprawne obliczenie 1 pkt
Suma: 4 pkt
1 pkt
1 pkt
1 pkt
1 pkt
Suma: 4 pkt
Łączna suma: 8 pkt
1 pkt
1 pkt
11
12
13
mv 2p
mv k2
2
2
Poprawna zamiana jednostek vp= 200 m/s, vk=50 m/s
Poprawne obliczenie W= 187,5 J
Obliczenie przy skorzystaniu z innej metody i poprawne
rozwiązanie
a
Skorzystanie z wzoru T = 1f
Obliczenie T= ½ s
Wyprowadzenie wzoru:
W=
1 pkt
−
Skorzystanie z wzoru: λ = vT
1 pkt
1 pkt
Suma: 4 pkt
1 pkt
1 pkt
1 pkt
Suma: 2 pkt
1 pkt
λ
14
15
16
17
Poprawne przekształcenie wzoru v = T
Odczytanie okresu T=3 s
ZauwaŜenie, Ŝe długość fali ma wartość λ = 30m
Poprawne obliczenie i podanie odpowiedzi: v= 10 m/s
Obliczenie przy skorzystaniu z innej metody i poprawne
rozwiązanie
gitara, fortepian- struna
trąbka, fujarka i organy- słup powietrza
kastaniety
b
c
Maksymalna liczba punktów
1 pkt
0,5 pkt
0,5 pkt
0,5 pkt
Suma: 3,5 pkt
0,5 pkt
0,5 pkt
Suma: 1 pkt
1 pkt
1 pkt
1 pkt
38
Opracowane przez:
mgr Wiesława Wiatrak
mgr Katarzyna Kluszczyńska
Bardzo proszę o nadesłanie prac uczniów którzy zdobyli 40% z maksymalnej ilości punktów
oraz protokół z olimpiady (przyjmujemy prace od 15 punktów). Liczba wszystkich uczniów
zakwalifikowanych do etapu międzyszkolnego jest ograniczona (28 osób).
Wzór protokołu znajduje się na stronie gimnazjum www.gim1.rabawyzna.pl