ocena stanu dróg lewin dla radnych koniec I

Transkrypt

ocena stanu dróg lewin dla radnych koniec I
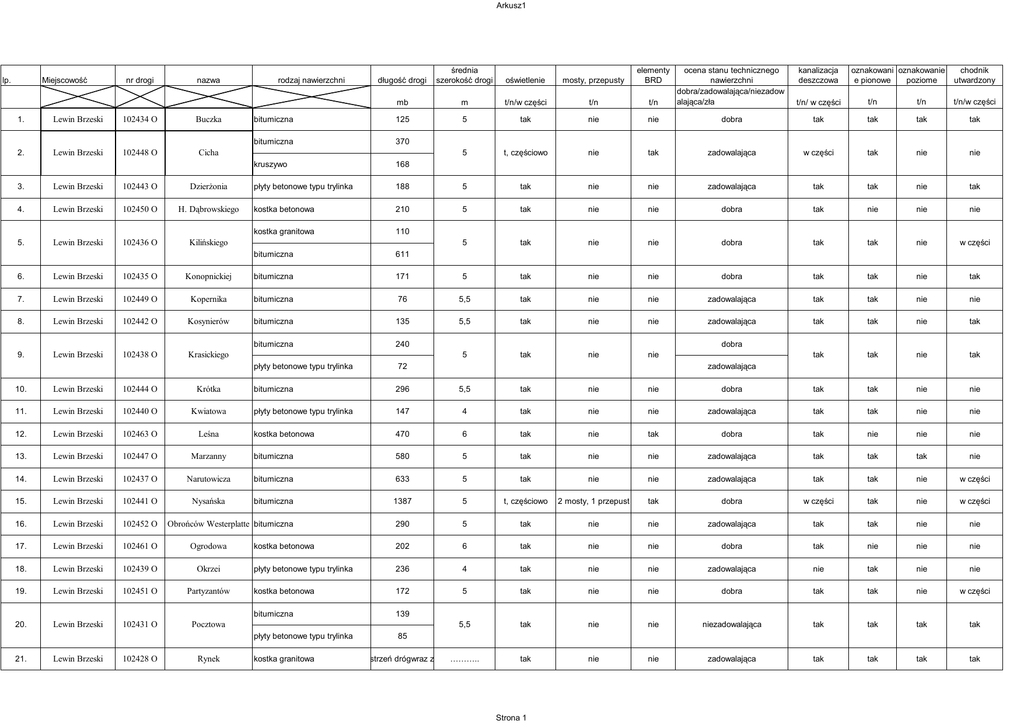
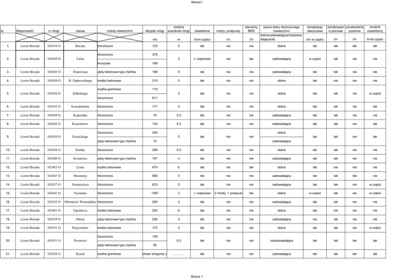
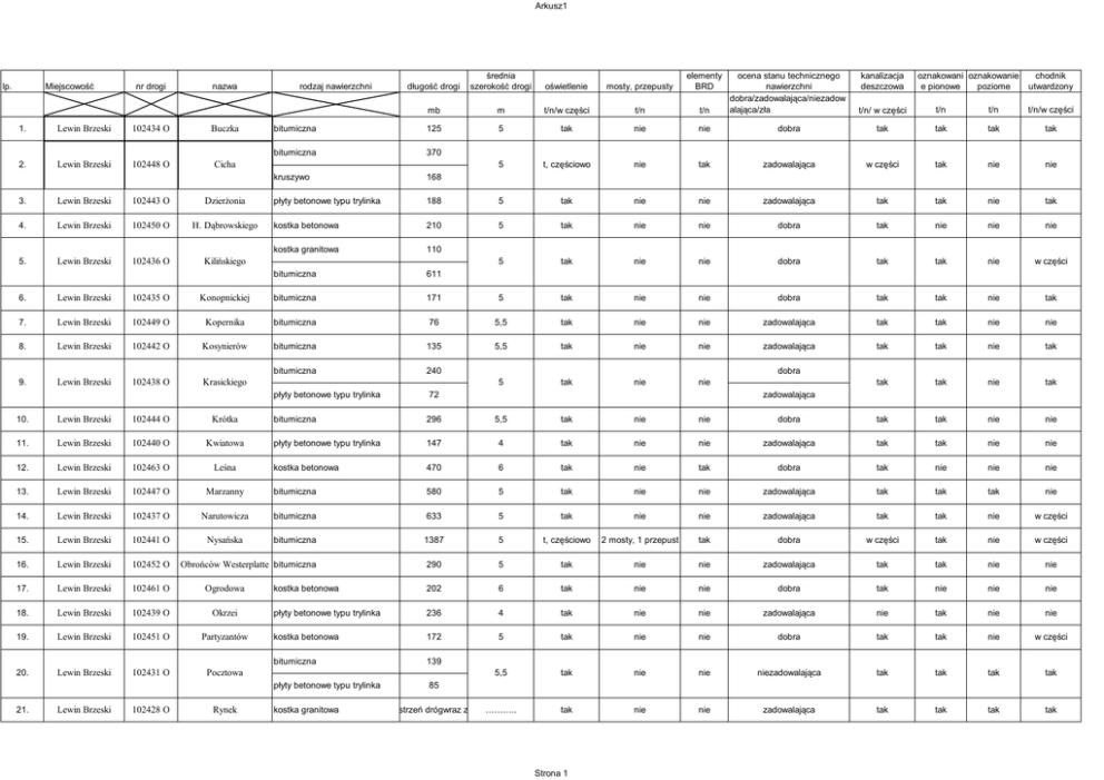
Arkusz1
lp.
Miejscowość
nr drogi
nazwa
1.
Lewin Brzeski
102434 O
Buczka
2.
Lewin Brzeski
102448 O
Cicha
3.
Lewin Brzeski
102443 O
Dzierżonia
4.
Lewin Brzeski
102450 O
H. Dąbrowskiego
5.
Lewin Brzeski
102436 O
Kilińskiego
długość drogi
średnia
szerokość drogi
oświetlenie
mosty, przepusty
elementy
BRD
mb
m
t/n/w części
t/n
bitumiczna
125
5
tak
bitumiczna
370
5
kruszywo
168
płyty betonowe typu trylinka
188
kostka betonowa
210
kostka granitowa
110
bitumiczna
611
rodzaj nawierzchni
t/n
ocena stanu technicznego
nawierzchni
dobra/zadowalająca/niezadow
alająca/zła
kanalizacja
deszczowa
oznakowani oznakowanie
e pionowe
poziome
chodnik
utwardzony
t/n/ w części
t/n
t/n
t/n/w części
nie
nie
dobra
tak
tak
tak
tak
t, częściowo
nie
tak
zadowalająca
w części
tak
nie
nie
5
tak
nie
nie
zadowalająca
tak
tak
nie
tak
5
tak
nie
nie
dobra
tak
nie
nie
nie
5
tak
nie
nie
dobra
tak
tak
nie
w części
6.
Lewin Brzeski
102435 O
Konopnickiej
bitumiczna
171
5
tak
nie
nie
dobra
tak
tak
nie
tak
7.
Lewin Brzeski
102449 O
Kopernika
bitumiczna
76
5,5
tak
nie
nie
zadowalająca
tak
tak
nie
nie
8.
Lewin Brzeski
102442 O
Kosynierów
bitumiczna
135
5,5
tak
nie
nie
zadowalająca
tak
tak
nie
tak
bitumiczna
240
9.
Lewin Brzeski
102438 O
Krasickiego
5
tak
nie
nie
tak
tak
nie
tak
dobra
płyty betonowe typu trylinka
72
zadowalająca
bitumiczna
296
5,5
tak
nie
nie
dobra
tak
tak
nie
nie
płyty betonowe typu trylinka
147
4
tak
nie
nie
zadowalająca
tak
tak
nie
nie
kostka betonowa
470
6
tak
nie
tak
dobra
tak
nie
nie
nie
10.
Lewin Brzeski
102444 O
Krótka
11.
Lewin Brzeski
102440 O
Kwiatowa
12.
Lewin Brzeski
102463 O
Leśna
13.
Lewin Brzeski
102447 O
Marzanny
bitumiczna
580
5
tak
nie
nie
zadowalająca
tak
tak
tak
nie
14.
Lewin Brzeski
102437 O
Narutowicza
bitumiczna
633
5
tak
nie
nie
zadowalająca
tak
tak
nie
w części
15.
Lewin Brzeski
102441 O
Nysańska
bitumiczna
1387
5
t, częściowo
2 mosty, 1 przepust
tak
dobra
w części
tak
nie
w części
16.
Lewin Brzeski
102452 O
Obrońców Westerplatte bitumiczna
290
5
tak
nie
nie
zadowalająca
tak
tak
nie
nie
17.
Lewin Brzeski
102461 O
Ogrodowa
kostka betonowa
202
6
tak
nie
nie
dobra
tak
nie
nie
nie
18.
Lewin Brzeski
102439 O
Okrzei
płyty betonowe typu trylinka
236
4
tak
nie
nie
zadowalająca
nie
tak
nie
nie
19.
Lewin Brzeski
102451 O
Partyzantów
kostka betonowa
172
5
tak
nie
nie
dobra
tak
tak
nie
w części
bitumiczna
139
20.
Lewin Brzeski
102431 O
Pocztowa
5,5
tak
nie
nie
niezadowalająca
tak
tak
tak
tak
płyty betonowe typu trylinka
85
tak
nie
nie
zadowalająca
tak
tak
tak
tak
21.
Lewin Brzeski
102428 O
Rynek
kostka granitowa
czna przestrzeń drógwraz z parkingami
………..
Strona 1
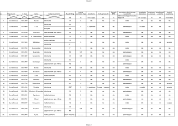
Arkusz1
22.
Lewin Brzeski
102460 O
Rzemieślnicza
23.
Lewin Brzeski
102446 O
Rzeźnicza
24.
Lewin Brzeski
102445 O
Stroma
bitumiczna
212
6
tak
nie
nie
zadowalająca
tak
tak
nie tak/ stan niezadowalają
płyty betonowe typu trylinka
75
4
tak
nie
nie
niezadowalająca
nie
tak
nie
w części
kruszywo
66
3
tak
nie
nie
zadowalająca
nie
nie
nie
nie
płyty betonowe typu trylinka
22
25.
Lewin Brzeski
102462 O
Wiosenna
kostka betonowa
342
6
tak
nie
tak
dobra
tak
nie
nie
nie
26.
Lewin Brzeski
102464 O
Wiśniowa
kostka betonowa
400
6
tak
nie
tak
dobra
tak
nie
nie
nie
27.
Lewin Brzeski
102432 O
Zamkowa
bitumiczna
258
4,5
tak
nie
nie
niezadowalająca
tak
tak
nie
w części
28.
Lewin Brzeski
102455 O
Kolejowa
bitumiczna
900
6
nie
nie
nie
dobra
tak
tak
nie
nie
29.
Lewin Brzeski
Bez numeru
Asnyka
kruszywo
187
3
nie
nie
nie
niezadowalająca
nie
nie
nie
nie
30.
Lewin Brzeski
Bez numeru
Słowackiego
kruszywo
158
5
t, częściowo
nie
nie
niezadowalająca
tak
nie
nie
nie
31.
Lewin Brzeski
Bez numeru
Chopina
bitumiczna
360
6
tak
nie
tak
dobra
tak
tak
nie
tak
32.
Lewin Brzeski
------------
Fabryczna
bitumiczna
190
6,5
tak
nie
nie
dobra
tak
tak
nie
tak/ zapadliko 1m2
kruszywo
153
33.
Lewin Brzeski
------------
Kasztanowa
5
nie
nie
nie
nie
nie
nie
nie
tak
tak
nie
tak
nie
tak
nie
nie
35.
Lewin Brzeski
------------
Matejki
36.
Lewin Brzeski
------------
Ochronna
kostka betonowa
15
kostka granitowa
165
bitumiczna
155
gruntowa
75
niezadowalająca
dobra
5
tak
nie
nie
4
nie
nie
nie
dobra
dobra
zadowalająca
37.
Lewin Brzeski
------------
Piasta Kołodzieja
bitumiczna
160
6
tak
nie
nie
dobra
tak
tak
nie
tak
38.
Lewin Brzeski
------------
Poprzeczna
bitumiczna
67
5
tak
nie
nie
dobra
tak
tak
nie
nie
39.
Lewin Brzeski
------------
Przytulna
kostka granitowa
110
3
t, częściowo
nie
nie
dobra
nie
tak
nie
nie
40.
Lewin Brzeski
------------
Rolna
kostka betonowa
98
5,5
tak
nie
nie
dobra
tak
tak
tak
nie
41.
Lewin Brzeski
------------
Romantyczna
bitumiczna
164
6
tak
nie
nie
zadowalająca
tak
nie
nie
nie
42.
Lewin Brzeski
-----------
Sąsiedzka
kostka betonowa
106
5
tak
nie
nie
dobra
nie
nie
nie
nie
43.
Lewin Brzeski
-----------
Jesienna
kruszywo
118
7
nie
nie
nie
zadowalająca
nie
nie
nie
nie
44.
Lewin Brzeski
------------
Szafirowa
kruszywo
250
5
nie
nie
nie
niezadowalająca
nie
nie
nie
nie
45.
Łosiów
102454 O
Klonowa
kostka betonowa
135
5
t
n
n
dobra
n, wpusty
uliczne chłonne
t
n
n
t
n
n
n
n
n
46.
Łosiów
102454 O
Kwiatowa
47.
Łosiów
102420 O
Nowowiejska
kostka betonowa
196
5
t
n
n
zadowalająca
n, wpusty
uliczne chłonne
bitumiczna
250
3
t
n
n
dobra
n
Strona 2
Arkusz1
48.
Łosiów
102453 O
Słoneczna
kostka betonowa
49.
Łosiów
102454 O
Sportowa
50.
Łosiów
102419 O
Stawowa
51.
Łosiów
------------
Cicha
52.
Łosiów
------------
Cmentarna
53.
Łosiów
------------
Jana Barona
54.
Skorogoszcz
102413 O
Kolonia
55.
56.
Skorogoszcz
102412 O
Słowackiego
Skorogoszcz
102457 O
Świerczewskiego
Skorogoszcz
102410 O
Zamkowa
57.
58.
59.
60.
61.
62.
63.
64.
65.
66.
Skorogoszcz
Skorogoszcz
102411 O
102414 O
Za Nysą
Cmentarna
Skorogoszcz
102459 O
Leśna
Skorogoszcz
------------
Cicha
Skorogoszcz
------------
Jakuba Kani
Skorogoszcz
------------
Marii Konopnickiej
Skorogoszcz
-----------
Świerkowa
Skorogoszcz
Skorogoszcz
Akacjowa
------------
Plac Wolności
142
5
n
n
n
n
t, częściowo
t
n
n
115
5
t
n
n
dobra
n, wpusty
uliczne chłonne
t
n
n
płyty drogowe betonowe
390
6
t
n
n
niezadowalająca
n
n
n
bitumiczna
310
5
t
n
n
dobra
t, częściowo
n
n
n
t,
jednostronny
kostka betonowa
150
5,5
t
n
n
t, częściowo
t
n
n
gruntowa
265
płyty drogowe betonowe
45
t, częściowo
t
n
t,
jednostronny
t
t
n
n
t, częściowo
t
n
t,częściowo
n
n
n
n
140
kostka betonowa
730
płyty drogowe betonowe
300
gruntowa
100
kamień granitowy i bazaltowy
n
n
kostka betonowa
kostka granitowa
n
t
193
240
t
dobra
gruntowa
kostka betonowa
3,5
n
475
100
n
n
bitumiczna
bitumiczna
n
t
214
273
t
n
n, wpusty
uliczne chłonne
kostka betonowa
kostka betonowa
4
dobra
dobra
niezadowalająca
dobra
niezadowalająca
5
t
t, most
t, 2 szt.
progów
zwalniający
ch
niezadowalająca
niezadowalająca
zadowalająca
5
t
n
n
t
t, most 1 szt nad
potokiem
t, 1 próg
zwalniający
n
n
dobra
zadowalająca
5
3
t
n
dobra
zadowalająca
niezadowalająca
150
4
t, częściowo
n
n
zadowalająca
n
n
n
n
kostka betonowa
75
kruszywo
175
3,5
n
n
n
zadowalająca
n
n
n
n
gruntowa
300
3
n
n
n
niezadowalająca
n
n
n
n
płyty drogowe betonowe
380
3
t, częściowo
n
n
niezadowalająca
n
n
n
n
kostka betonowa
240
5
t
n
n
dobra
t
t
n
n
kostka betonowa
73
dobra
t
5
t, częściowo
n
n
n
n
n
kruszywo
245
gruntowa
58
kostka betonowa
74
5
n
n
kostka granitowa
210
7
t
n
Strona 3
niezadowalająca
n
n
dobra
t, częściowo
n
n
n
n
dobra
t
t
n
n
Arkusz1
Skorogoszcz
-----------
Ojca Dominika ze
Skorogoszczy
Przecza
102404 O
Przecza – Raski –
Lewin Brzeski
67.
68.
69.
70.
71.
Stroszowice
Sarny Małe
Wronów
102408 O
102409 O
102415 O
kostka granitowa
61
4,5
t
n
n
dobra
t
t
n
bitumiczna
2496
5
nie
5 przepustów
nie
zła
tak
nie
nie
gruntowa
700
3, 5
t, częściowo
nie
nie
niezadowalająca
nie
nie
nie
nie
bitumiczna
850
bitumiczna
550
4
t, częściowo
nie
nie
niezadowalająca
nie
nie
nie
nie
kamień
100
gruntowa
390
6
t, częściowo
1 most
nie
w części
tak
nie
nie
Stroszowice - wieś
Sarny Małe-wieś
Wronów-wieś
kostka granitowa
350
n
nie
niezadowalająca
zadowalająca
72.
Wronów
102416 O
Wronów-KopanieZawadno
gruntowa
4600
5
nie
1 przepust
nie
niezadowalająca
nie
tak
nie
nie
73.
Wronów
102417 O
Wronów – Różyna
gruntowa
3800
3
nie
nie
nie
niezadowalająca
nie
nie
nie
nie
kamień
120
74.
Różyna
102418 O
Różyna - Zawadno
3
nie
nie
nie
nie
nie
nie
nie
zadowalająca
gruntowa
1580
Łosiów – Nowa Wieś
gruntowa
Mała
3400
3
nie
nie
nie
niezadowalająca
nie
nie
nie
nie
bitumiczna
1250
5
tak
nie
nie
zadowalająca
tak
tak
nie
nie
gruntowa
1000
5
t, częściowo
nie
nie
niezadowalająca
nie
nie
nie
nie
bitumiczna
500
gruntowa
800
3
nie
nie
nie
zadowalająca
nie
nie
nie
nie
bitumiczna
600
4
tak
nie
zadowalająca
nie
nie
nie
nie
500
4
t, częściowo
nie
nie
niezadowalająca
nie
nie
nie
nie
4,5
t, częściowo
most
nie
nie
tak
nie
nie
nie
nie
nie
nie
75.
Łosiów
102421 O
76.
Strzelniki
102422 O
Strzelniki – wieś
77
Jasiona
102312 O
Jasiona - Michałów
78
Jasiona
102311 O
Jasiona – Pogorzela
79
Ptakowice
102425 O
Ptakowice - wieś
80
Nowa Wieś Mała
102426 O
Nowa Wieś Mała Kantorowice
gruntowa
81
Kantorowice
102427 O
Kantorowice - wieś
bitumiczna
niezadowalająca
800
niezadowalająca
1700
bitumiczna
82
Oldrzyszowice
102405 O
dobra
270
Oldrzyszowice - Lipowa
zadowalająca
3
w części
nie
nie
gruntowa
2100
gruntowa
2000
3
nie
nie
nie
niezadowalająca
nie
nie
nie
nie
Oldrzyszowice - wieś kruszywo
130
4
nie
nie
nie
niezadowalająca
nie
nie
nie
nie
300
5
tak
nie
nie
dobra
nie
nie
nie
nie
Oldrzyszowice
–Magnuszowice
niezadowalająca
83
Oldrzyszowice
102406 O
84
Oldrzyszowice
102407 O
85
Mikolin
102401 O
86
Mikolin
-------------
Odrzańska
bitumiczna
780
5
tak
nie
nie
niezadowalająca
tak
nie
nie
nie
87
Borkowice
102403 O
Borkowice- wieś
bitumiczna
530
5
tak
nie
nie
niezadowalająca
tak
nie
nie
nie
Mikolin - granica gminy kostka betonowa
Strona 4
Arkusz1
88
89
90
Borkowice
Chróścina
Chróścina
102465 O
102402 O
------------
Borkowice Błażejowice
Chróścina- PiaskiGolczowice
Opolska
bitumiczna
1700
bitumiczna
150
gruntowa
2150
kostka betonowa
250
6
3
4
tak
nie
wczęści
Strona 5
5 przepustów
nie
dobra
tak
nie
nie
nie
nie
nie
nie
nie
nie
nie
nie
tak
zadowalająca
2 przepusty,
1 most
nie
nie
nie
niezadowalająca
zadowalająca
Arkusz1
Strona 6
Arkusz1
lający
m2
Strona 7