Uchwała Nr XXXVIII/292/2005

Transkrypt

Uchwała Nr XXXVIII/292/2005
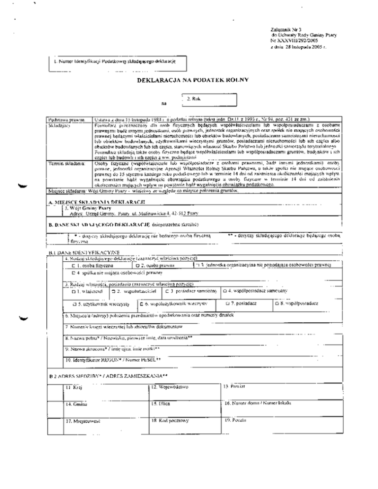
Zalgcznik Nr 3
■In Mchn^v Radv GmirtV F"i*r>
Jriiii
L Numer LiknLjlik.i4.ji
<krkl.ii Kj^
DEKLARACJA iNA PUDAI EK ROLIMY
2 F!uk
E. D^^T"Sk^ inu^ VC.O t>h.KI.AR\r.ir^ (mtptiuzcbr.c ikrcjhv
f;7' l 'n,i
1
H.L |3ANt "L1ENJ YFJkACYJXE
Ij^ma pi)^C.
C I
n^oba
□ 2.
firk
me
C 4 ipulLim?
,Uh;kh;3
\Tf2
G4
•-.jpuJw
posiadacz
n'imcr/j
poli\rfrii
7 N'niTifr,.1 k'KT wieC7\^!e| lub /hi,i[U/^rt dtfl
Na/.u jkrm.oiid" /111111: uji-lI nine
10
E?
12 ^V
14 Gniriui
37.
[ilica
lfi Kh-i
Pn"i.n
'linif^ dfimii'
D &
C.
1 koestTa dcklaracii rocznej
t>. DANEmVnfZ^CF PRZEnMlOTOW OPODA1 KQW \N1 V
Mas.
^C7n«*7W0|BIO
Siawlra 7 1
^i^i'i^Ezt]]]]]^ yjuiULl Vr htklarach 1 ?yczn\ch
^Dd-IC^JJ HU1^
)rzflk?enii' na
me |.*od[e£ajave
■vymkajgcc z
iivcliczcnLU nahu
Pud dzi.il.iiii i
3
if"'
mo^cjjy lub
Inne
jrjcl i cm i1» t
^ il.gr
s pccia][ivni!
2
1
^jcljlku
rnlnc^n iv
jutehczc-
pricliLien Km f
bLdjT.kO"
Wymilr
hckuua
i
a
6
r.runn1 nrnC
J
Tl
Ilia
Illb
Iva
l*b
\
\l
\lt
SulIi,
1
II
II In
Illb
HlL
I v 1j
\
\[
\l£
LzjLkiiKtanr
1
11
Til
IV
V
VI
vr*
^II1Tw™*
L
■i
uih
in
1
nib
Its
IV
Kb
y
\1
Viz
firunty1 pod
u] ^jijljiOEir
r\b ml iv pji. j>
c) enniEv pod
nic^arvbLnn^ini
Boivj
i
l^runly
zmJrzcwionc
polrfonc na IK
11
Ills
III
IV
VI
Vi!
z^ofnicri)
t
ACHGWOLMW
[pud at. njiJii]|. kldi^ i 3LHLi4rriLl[r[[ ];runLijiv i^uljiionv lIi u-j.u pizepispr^wji - r |.itifp,o rvinln a 'Ifpijif "\olnifinn
F VLCIW PODATKl ROLNVM
1 j. I'lulu nab^cia IjIj
pi 2 ".jet n w
odgrunt6w
iagujpodaiowanif o ninViu
i
2 ni..i:;UL>|rn:
i
Lnnc
-----
Kj/j:eii
t,
i vrj'N^ k\iot\ pr>i>Aikl
Fu Vr nla pndatki]
K"^n li.^ k.-ot i D - b1
,,
OSOD^ RtPREZLMLJACLJ SKLAL
H
2L :™ii
mi«iar-
-1 Podpis (picczftj ;kladaji:cso ■'
rokj
: L^agi wrji
11
2b Idcntytlkacoi
1 usttnvi i Unit' 29 yierpma i9t? t. - Orffynnqa padatkon-a (letaijtttnolliy: D^U. Z 2Q05 T. i"->5, pCL 6» ie lit-').
pttdltaWl crrtHfathOtoairia, ftH'iVl podati^. Dltierkl in zwla^. opl/tly prvftr/rstt'.yjni1,
oprocptrfawfitm' nattpfat nta
lt/gaftfi-i* iifatMkttrtt zaitk^fgfa i'\- dn fnAayr-h ztotyrlt. w ten ipotfb, t2 koftanvki kwvl wyitotzmx mnug nit 5U
kv/otwyrtoszqce *W J vi^cej grarzypwtw}in" ir^1 ifaj"'!"vfh ililyiU
cjjiekuc>jn>rrL ■■ jJiumiL.lr.iL.ji (D^ U l Wl i
N"^ pnd'U'iic an la u-;ia^-y t. dnia [7 c?Hr*ca 1996 C 0
j. poin trn 1 r
tj;^.i dekkiiiicjj jl.inun1] fjodsW^f ill'
lifilu
Ni 16 yOi
I'll