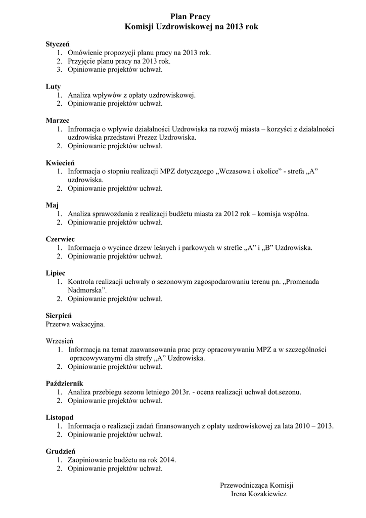
Plan Pracy Komisji Uzdrowiskowej na 2013 rok

Transkrypt

Plan Pracy Komisji Uzdrowiskowej na 2013 rok
Plan Pracy
Komisji Uzdrowiskowej na 2013 rok
Styczeń
1. Omówienie propozycji planu pracy na 2013 rok.
2. Przyjęcie planu pracy na 2013 rok.
3. Opiniowanie projektów uchwał.
Luty
1. Analiza wpływów z opłaty uzdrowiskowej.
2. Opiniowanie projektów uchwał.
Marzec
1. Infromacja o wpływie działalności Uzdrowiska na rozwój miasta – korzyści z działalności
uzdrowiska przedstawi Prezez Uzdrowiska.
2. Opiniowanie projektów uchwał.
Kwiecień
1. Informacja o stopniu realizacji MPZ dotyczącego „Wczasowa i okolice” - strefa „A”
uzdrowiska.
2. Opiniowanie projektów uchwał.
Maj
1. Analiza sprawozdania z realizacji budżetu miasta za 2012 rok – komisja wspólna.
2. Opiniowanie projektów uchwał.
Czerwiec
1. Informacja o wycince drzew leśnych i parkowych w strefie „A” i „B” Uzdrowiska.
2. Opiniowanie projektów uchwał.
Lipiec
1. Kontrola realizacji uchwały o sezonowym zagospodarowaniu terenu pn. „Promenada
Nadmorska”.
2. Opiniowanie projektów uchwał.
Sierpień
Przerwa wakacyjna.
Wrzesień
1. Informacja na temat zaawansowania prac przy opracowywaniu MPZ a w szczególności
opracowywanymi dla strefy „A” Uzdrowiska.
2. Opiniowanie projektów uchwał.
Październik
1. Analiza przebiegu sezonu letniego 2013r. - ocena realizacji uchwał dot.sezonu.
2. Opiniowanie projektów uchwał.
Listopad
1. Informacja o realizacji zadań finansowanych z opłaty uzdrowiskowej za lata 2010 – 2013.
2. Opiniowanie projektów uchwał.
Grudzień
1. Zaopiniowanie budżetu na rok 2014.
2. Opiniowanie projektów uchwał.
Przewodnicząca Komisji
Irena Kozakiewicz