Restrukturyzacja organizacyjna jako zmiana radykalna 179

Transkrypt

Restrukturyzacja organizacyjna jako zmiana radykalna 179
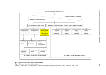
 restrukturyzacja rozwojowa restrukturyzacja naprawcza restrukturyzacja operacyjna restrukturyzacja marketingowa Reorientacja rynkowa restrukturyzacja techniczna i technologiczna restrukturyzacja zasobów restrukturyzacja produktowa restrukturyzacja majątku restrukturyzacja finansowa restrukturyzacja własnościowa restrukturyzacja organizacyjna i zmiany systemu zarządzania
zmiany w strukturze kapitałowej zmiany w strukturze aktywów zmiany w strukturze organizacji zmiany w strukturze własności zmiany w sprzedaży i marketingu mix Restrukturyzacja organizacyjna jako zmiana radykalna
Restrukturyzacja przedsiębiorstwa restrukturyzacja zatrudnienia RESTRUKTURYZACJA PRZEDMIOTOWA RESTRUKTURYZACJA PODMIOTOWA 179
Rys. 1. Obszary restrukturyzacji przedsiębiorstwa
Fig. 1. Company areas of restructurization
Źródło: C. Suszyński, Restrukturyzacja, konsolidacja, globalizacja przedsiębiorstw, PWE, Warszawa 2003, s.190