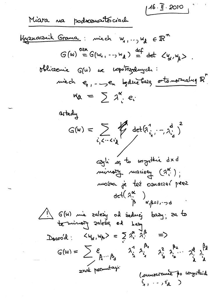
a.{( nt )

Transkrypt

a.{( nt )
.9olo
(6.T.
t
}{.Jąra- -a- włW^-affiu,ąŁ
,
'i
ŃŁ..:e,^.i cr") r",c tą.,nz,a,a,l^:
z,r.,f"1"j,.-ą^
Ęd'z.isoe9
.,Ę.*p."ł{^1 Rn
^tŁ
G(w)
"_.^*
,""tacie5 CeT ) ,t
J 1.aee
n",oż.c.d" .{ct oa'^a.tą
a.{(nt )
p
*,fr=t
t.2d
/\
/\
e(u)
";
.Ęrd^^t
'
b"Ł. ?ą Ł
a"{e1 oł. Łł-{
eoleĘ oĄ Ln]l
}g.,'Ą
6(ur)=
B....Pa
7
='"*' Pert..,.*+*7
Ą
ą
2 .,
(@"
i, '',tL
I
,L
u*at"Jh.
)
r
..,Q-. lJ
Lt'.tp.: Jct(a;11=) € .J r " ' J o - a.,,
,J,
nJn
=/
^i
\
ł*..
t3
ąu
It
,..
=
^;;
7".^u*^ł
^^HFa
,, , ,, .)1Ą
de{;::
=z
(t
i ł...'
)
)r
-l
.Br
dcb(4. )
i
ą}ĄąL
pet*wtqp'q- - dd.)
ęt^
€{
ą
.- tł
ż(*c^[)ł.''.Ą
ć .( " . d | .
: N"eĄ
1łta^.b:clc
\--
U"...]Wł -.r'a3,q
1l*.o{",I|;ń,,g
+eĄ,"*-Ł,,,.*)eŁ€ +1
' fu+.tĘc
+-o
G(uo) = yą(Jct
Ąl*
1>A )
l[
)o
'
\'
H repvt,u|o
n.bdso**.,
lto,
io
siŁ
SĘł- s^.
tl
o
^i^^l,rętł.rłanr\
IP^
, PU/Pr2ez
z2. lR-.
,toPąu,
,;,;,,^fuzŁtr*abn'|oryx'"ł)
ytr
barg
!.r€' hn"4b
s|rn., ó
)", ł.| e+
^*io..o- ( r€rc^ą*",o') i ^,,;AIą ,16Ln^o|edT?ĄL
roz1lęĘę nĄa. Ę,. ../Vn j*ł ffi
[ę.\p . . $^{
a^ą5
(ąljP,
6lr
Ą: pł ..-' pł . Ą € oL r&) , #
t.-+u
r.bą?^. }t t .*|o*.
&ą,t
'L;1. @
L)
d'*ł,*n"
,
"Fał
A \ (ę,Ę'.. et
|ao+
F
lA(L)l=/a.łnl Iut1
*=fut --)'^)cH
Zol"żuś", 6(" ) o[ k7
)
Nel*J i'^'q t^a1 r'I("j,--r"[)
w/-s
o(-L
frŁŁJ
(.ło
o(
" FtF
G (w') = (a"t
5"J'&.
aa| btą #
oł. Fa2'.
2
(.F))' 6(')
t" EŁ.
ur^..b1[a.,
e*
H ,A
wo( = Z A;rp t
nj = 2 urorr"p
Ą.
l
a<łtc[
*!;,r:1-#s
(d.,A)
=
6 (.,') = G.t CcĄ)),
6(t^,)
=G.[.).
""b'il.
U*J
b{ł.ć-{ń*
Ę r.x"ar.^.Jłń*,
ŃeJ*
n,..Lctł.
lP^- .)
lr'1.
M
(*"tr ) 't.i* ot-*tę
O
bgłue
?*",..t{zo3t
F-l(A ) d,+ *ł<eĄ
lAl
=
dn.- doo,
-f
rcnl
-ra- A*s{Itr
/tłĄŁ
d
F Ctr)c
a reĄ);
)
(*nt--rtł -.-bJlt,Ę**a*s
rret*r
r'\)ve
@
A c FLu.l ,-{D ^urr}..*sn"i"g
&Pr
e)
Ł 4,
^,'ą *l.>3 o.l. t^ą,&o".
"*YJ.
Eo
zlĄq'p Jt :
I
..v{
lA| ^.o5ką
Ac F(u) n Gcv) i ńb
-]i.bą
&=g;t$+
o1"""Q
.
(\ą.
ł,;o.
Uh*t,
"e^qi
i&
^^
.ł?*
sar^ l
.Łti
J
, 2^
/ 6cDf,)d.^ :
F-((A)
Ą,r|
st89*
n
.
o?,}tc Qał4e'
/--
I Y6(DG) dv
-6.,(łl
Y
9Ł.
Ę6
ł{, 2t
ta.|&ł Ą{..*.{'*
Tśh"i*
F3 6"H
JęLLł,,
u'trI[o ,ł*.ą%L. H tlł ,Id,,,x
tba,^,słń
I
/LĄą.,
,t' ^J"n^"c''V
"j{łce ^^t* =}*l"*)
/hą. F. (e cu,)
rAŁĄ
q
\E^n.?-{F
=
'Ę f T.nt
.ffi
=
2E-
:)
-
\\J-..',
.i t,gotalt3 al,oęt./
\L7\.Pu(r.*{,ó:::ł.l
o *{i,ł,to,.,u [l*.. r,od^ł
z t.f
l^''€^'ł-.
:J€roz
&.I !"ouni ".xńtt,
Ąo
W
brl
u" ..
d|a.hźĘ..".TJ
={AcM:
F.
F-,(A) < tBĄ FP*.."Ą}
{*} s-c"ffi*.
20
ll,L
f
*laro
di,".Ą &Ł.
a-W,ł-Ł
(.^ovW 5b.i+
Vnc
F(u)
(oeĄqrł*}
nefi"'i* P-P
|A|=. J Ą3 a,.;
{a-ł,ię'd*+'Jl1!sl^*
dto. ł"'"tł
^*"e*}*j
s"^td. ł l a
AcFtU)
("qt:ł,.^ W )
a)ęał.,,.ł"
f ł.F rffid.-,
J+=
A
)
F.(Ą
ę.!l-
la.
^J*1 pcn"ri*tJrr-;.^tg .
*ffĄ
arłt{l.ą
\hĄ
,t)
Ą=.
Ę["t l**Ąe*g.s
6($)=
pŁct^
l
qfrĄ
f =2F,('
Fs/d Ę
ćW
(
t^I{c
t'
le(ł,xll = J
X.'
[ął**.lt p} l,oJą.C
b'Ł$*.sĘ ^) R" L utŁ
\2
Ę^
l.l,or
(tłA#)
Ęii
U =Cą,L)5p^
ćĘrJ*.
&'
Ę (")
Ę
(k.' 3 ,ńI,;,r\ł^
ż Ę1.
ilaoĄął,'e*1 P\ łe$.*.7
J.I*tr^aTŁL 3tc. ,órT -d[-ux.lo.
Tc,,^u1!^
Ę}ryŁ
/r bWS,
2) ł. = n-l
Ńe&
eą=Xn)..-)Ątn-t
Ftl)
ęt
Ę (u) =ę(u)
Ę=cp(Ę,-_zX^-.)
(sh" ęeC' )
= xn-r
= (*n,,- - ?
trotu) = r*
M'
,
)
\n-t
t
DĆZ.h-|
Y
(\,
-
lĄa.-l ) ),
,=1
ig:9 l .- c"-,:".l
Jc^t^.ćn=|,
Ą
- Ę.
'..n-l
O(Ę.
- - L.t .
)
aLt'n,-{ł^.|
^^Ld-cn-.=|Ą.; ńĄ
@
(h r..-, Lz ) = (,r, r\-r)
T
ł <.,. <ą.'
tĄ'Ę'(c,{'\{
; "Ęb ft^ JJJ.łłJ
$,^.ttt'
J
r)ę
m
J
Z@+ł2"
.i eą
L
rŁ
6()*r) = 4ł _Y_g-E')
_r, _J
,
-/_\c)L''
Ac
At=
l-'l/
a
Ł
/Ą.^
lAl =- J \
ra.t*
/.
Ircl"da
ht
3)
NA
='I,
At
&=9 ) z.Łct"
^= 3,
d >u -L 1.'1"')
6} pj'a-/
t,Ęt!"^,^.--,
F..
bŁ\
:'
=
l'(n'v)
Xż = X2Lulvl
r'g :t X! (tr', v )
I
G(}f)=G# )r
1Ł
1Ą(Ą ,{?,) \Ł f
(Ę.ii'
)
f)(rr, t', ) \L
r(,ffin))
Ęc
&9- r-fT
)
tr (sr
II
Ił
f.
J*v
\
J'
JĄrc!łcxio,^ł.
I+
F(3)
( )LtC
fuł
dąF,'.'ę^.
Uzq.ąłl-.i,-.i",tąxl{Ą",*ą
Ń.łc.!^ B
TrcRĄl
Ęc"Ł óurł9 Gtd.'o.s ) ŁorteŁ .
F.P''
A%,
A = F(ts).
U
luat*.ę< n,aaaa&ł.ł,{(*-!wko
dl**ęt,
KĘec
łnrtrrł .
o
ł'^ Łv
lAl
=- I
Brr
eĄ u,,*,4,'-f,tio4'..ł,
./TP-a*
)*F
ŁoJL. /{,ł.o"l-ta.a;Tc.źai l tEap o,ą de{tąteo,.i
t,
ht-=\lp
$łr,o a.Lo"{er,
tM
fil'ot alo,{Ę
[i'r{Ł.
bnr
pt*{*,*
uł^'dt*.
F'(T)
|r.stL^q\."+ ^ó , ^*r.o3 rłn..tegT}eu
'roa$gt,p taez Ę A,^, .. )Awł. da+
}4ibĘ
-r^r
a"
f*ł..^1ica."qĄe | Ł {yo.t boJ!. Pt F j ti1' o&rą
zsuzin.. il" A e<| .
tY bF(?) rą ą tą'&lo
- %,?". }.&#o..tł" bd.'t.-ąil:..*-+(ł*łct<
yunre.ecEuE
X=
"L"€^{"t1
ol,,od^Lg.ła- pn*'ł"il,
ł- tąd
<2g61)
-Ą
auolł1 ń".{T
k€ d >o
aęumghl3
dilf z,,,
lĄt'=
(' Q,ąd
Ę
A
ffiś"f,c))
{.<€
z +{ "^.t z.t,ryt,z,,ą .rp,''łą ^.do1 vc.a.t,- .
Cer"łLeoJ-t'o[o.
V1.*ł.
.l.to-ał*ffa A ,
Q.
|.{ozr.a. g|c.ze"! że 6c.
cn , ł. tą*Nę,
frfir,r,Otl
\t
.1.
d
*
{
Y
ęp
ź'{
tlp
lAld :o\
{d:
ilol,o."afl)"Y
9a^..Ał#^
qd-t
*łr*
d -5...iarełe. a..łqsą 9{a^."
^^€1 W,,ę,a-* (",^z{.+ t" LJ"tti I )
?ole
lo.oie,u"l,nj .,r,.ęl'ohibr"
o?ą"^tl^ ),ł }.oŁI'
e,z&A2 (Hty P)
łĄ
eą(Óę 493
8- da
"-^q*
[oroeoct'.łŁĘ.
-.?o&;;iL
Łdh*
\UęJ".,
, Ę3
_...pĆs. (A
tńjĘF-
Lo;,a[,'!Ąqąfu.
Afu1oH,
7y,.5a
lt<< *F
4tł-.c.F| t"h4.,
h| "*ł'ł3 !lEć,Ja^.q
j ic..5ry +b*' ł.
(J |Ń-,ó^-t.ŁŃt
*o'['* td"]*t*>
Tr/z )
-Ą
4{óihk
'
$
-;AO
.L
nł'Q-
^\&ę-I\&'\'ą"*Y
\
;.
*sr^
e o,€fuI€.lLt
vs
,(,"
J.
'3 tr2oior
f
.
r-l
r.s
d-mf,.^iaJtt{ftf
-l
[a^
<l
ĄTrcu'
(t,rcktpr.ą&)Ąt.-)a^
toa.
?
frJo.
&=a
o
@
:
d+
A (ą) = Ę(ol =
,,
śt,
uląłnc
= {?+ 2Aaon " An)O, źĘ{Ą
) A (ą ) :
}Łiryą cd,-5.....a,rca,.'ą
lA(ą)t= +
d'.
I
tęco")l=
',
T
G(ą)
ś*!..jTt'("|,
a'oa
"*f"'5}Ęea
łs
(ł^a*Ę^
, t",8.b,.;.7o).
?.{
;},
rlY
.t'
jaR
ń
= co."| >o ,
,(o
A
{*{-
,El (c
Ę5t
c-n,iea4cęr,.ł,,a^r.^.3
yrr,f
(b"L.Ę t'"o'u?*ą
d[Ą#*)
p
la(ą)|> q *(ł.*łhl)ł
A
A
f
ozAQA.
ł-Ło
Ęihł* ^; .1zaFt,Ił,L;
łua^ab)
yvąt
a3
Ę|.
^".ł9t fiarre5}.l ę*>fr ?,żż ds.-{"*a$ą
.,. fue"o, a *lJ* ..Lig
apł#ł. ąd
%rbt'
łat
ąo
^T,'.,1ł
=7,
o ) {ł4.
L,Qr^|,^,
-')1L t*aPuuJ
f. t
o w.eract.'otą.J*
,\(,
3alco
d*
o
Ęnc4ł,Ę.
.-*k,V':
- clo
eoL= qot
5|łec0^ tąrąz
R'' ,5
,tuf,
Ęe. C'-ry
Ń e"!^
..^ou^( tz"
c
u-t.-R*
(!^*Ą*l*
\\J c u
) -.*d#jł
Ęd'.
[lrJe|- "Ls,lcw9ĄY
a^ieaacl,.ołą:e ń.{ą.A&Ł
Mc Rn.
ot*e*ą'^. t.c'.efułc.ą
a4"*pl*L".uA-q*:
€
V?'.ęd
A.ldĄ .:4*v|eLao\, d;F
a-"Ą,a
{rł:lt.re,
; c!^ L^DI$Q.?Ac^i,^.j, ąle {D /.^L P.+ Ł ,d-t\ ) .
]ah rźA'fi- t^IĄą.Tvk
z,r'tł!nłt
"9*.*#tf
Wi F1- 6[Ą "'td"A,.a..łąąr^.'Ętz{qołrłc\. Ką{l[J uire.0ołc*.
n
ł1Ąą. 4Duń;ą
ł^B"-fi"..ą"-l"l.,t^,.łń!,ą, 2b-J^ął'g...c
tą''łr uxn|"bn d'} .i^B-t--qrą .
;uętolt
Arc&,*rc
nJ*?[.L"dV MP"*.
?ę' r.n'e6{L-."q
Ńłe.l^ y
o= ĄQo.
..1 e cr
aF=a
4ła't ti"^.6^Jc1'
l+o ruf.'lęĄi-ą
{Q,..', R?4)
lo
:j
c lR^
c"pł"?
- p| .t" ,o{^Tl.Lo
}''.
uig,.cJ;Tkc"Ą F[qo)t..,FĘ^|€
erFg U aF
u
.$a2"\d.ffsĘu..(*
a}
I
F(W));
H
|ł'ra!Ą-:
I
{ą} ł".e".( "lr.cŃc*oęit'"
ł-tqdasałą
lytl.
TL
^ q
e
v{i s^A'
r.he"l.^ c Ęłń
cłtpex.
t^o7łŁłu
}11 3.*
"ą"-P|Ł
ąst"Ł{
,.^ezĘł,"ełoła...c .
,n,ł" d'1,
4o'^Ńł*19"Ą
tn"^.6".[a7
W
bóĘ
/|^łąlą
o ;.ft4ł..icą..l**O,
Ę
a1 c.t
T
W
=
--.-,"
1p6t^')l
l
ą
lqt
A
2 4,orcł. .3n,;L"..nJ.n".ei,ź. trą *ra1-.t9
ala L*lł.* ł.d Ą^-pl.ka.^ A = Ąo".-tL
*)
{ ( aF , T,r,,
,x.
:
YĘ
(p". Y"7ETa4-rcL.'f'"ąi
4* Ą ło^€ . ^^i {1
+a*-|,i..ff..a+ l"dąe'h,pi xa'|ca'/*{ Aę ą-,te"t.€ z&eęł:,4,to
u,a*.ę' ) .
U
.
5U"dł
t,|eĘ
tDg-:
+ąJę9
T;
|.
, y 6cbF)
ą,)
1Anr.- ?2 |
t
L
Ą=ą..
ęi€^^.Lr.l
.P} łt.'łŁą7
't.\
-
L€ T
|^ą'
;
""2,tteFl*J7ic:
-tt...f'a+ .-ł
seeł*\.a'
uąb'.^'(ł
łr\ *ud
G'( DF)
&""ąs"q^t{'b.?4,Lłę
@t" ł^ołgchcu'.iŁ
&ląż""^3) Ł
Io*.-1łlffi
ą
!-
A
latt
ie
c^rtHBe
.}
t a*^.3
i
l
ś | F (nr)l|, |l(F1-.(n' ll 1A '
ś
ś ,| 6(DF) l,.) 4A
'n,'
vue
In
V o.ehl:
o|-,+*xft
F, (r"l {e|- .Qi'..rq.*.
- ł,*'*{.*."*. ,
0ą!'
F,hĄ l.
,*{c -.t
&o.= 1*-1o . qĄ*
r.h*l
Ftul-a 1
J
F(ę.)(^)
Ąz
pfu
topĘ^;t&^
#Fv6l's(ę");
z#,^
lrtr. I (a) I = Jo$F)Q")lAl>
\14
1T
ć.
-JAC
=
.-IF'
ą
ZAr,*
F'(r"Xa) g*f
6ł.^*
C,' = cA
.ł+l
z
A
AF,
ó
Qr
.'
,/
-/
t-bl
,,/
./FI
,1Fkz)
.11
-r^r
I
-E(a
v,
RT
tl
1d = 1o* 4o
Ąot*ą"
to
p(q.t)= tr(ę.)+.Ftęo)ou
+ K
Ę'-
ś"
Ęt,ra"
ą[.
FQo)
AF
l ą.
/v^ą j*b
Qł.^
,^'.er,łżoa.
.,tsJ,. t,
? ) Ą[6qgL.t[
}nL,
rfuł
.0"ł"-,.ł
A1
Q-
uU= bn + R" i
lł{3ktż.a-.1
,*,
6;0 d;'| d"""Ł*, {
}*^
d^&E tr..o.*ę.^.Qa7.
dj*
tę"t<€ lb..|.
mł'.Tęł".;5
(.ga*Ę.*
pe|rłrhfu'Ą F,ł
)^
/{^ą.e.s.iinĄ
mo|Dlę.J .aiv -1-13tsr'ą z henĘ tJ
f".h".-'_lg,*{"1
3- gA'
nozpa{oecrao*&f
0ro2 Ał'o/r"{^l-e/ a -1t"0,.+rĘĄ.
dy6Tr,to
5.,
rro
ł1/|ą.
(oL Lą'ł.j
T ) Aeą.*t"nB
(tt 4.F"{ . Ąr'(s'11.{*e*{otr-' ) r.a*e
b
*ą3.l."^?,Ł
rc.rt*
s. ląo.| t
+ł pnez |r e ląo.| ś
sĘł. c"i. ne,'.Fąanni
,lTA e lb"l
-Erae
d AF :
Ftr') a
1"*.fi."al *.ę
lrtqJal=ń
=
laFl
tt*..r
l ie
ł!*
h
"aou*"l
PO
lF'(s.)ol l<?1r'(r")al
\ tatt
(o?.Jth;
Ą[.. l-|*tg.:u*a ł.{.YĄ +r.{"łoa..
,ołz'2Ł ) .
c-^ńeaJ."
ęł.c
-ro
4.dJ.|..
'"dt
G (', l .-|*ł ) = dct (( "n , "P ł;;. - Ą
= det (bo,+Ro,, O/t* R,>
R"a"3%
t*
5z'.o.ł*^k t
J€ s A :
ą. pzui;o*.5 '"*
)t.t.,.
Ęłrtr'r.
... .".i
e- +,}*
"Ę^^o..
\
o=r9.#
\ Nl ątIąłdLJ"
o'Ft
(Ę+ Ę,LF*RP
.,,!>+
Ka'Ą
o.|ób*fct^
? +a€Cj.
6?.1.1t ,*ri trne z
*a,l.o(t'l
)ą'
.(ryulb..l
:s
ś(r* (L|f
l<b.,oP'|
1Ą.
^+e,* Fą
ba^Ż#^tę" , Ą
aa.ł,Ę}c
-.#"t
/ct Aua ' Up) , U?*}c.i{
l j..L F.'?"l{b)^b,
a,t<\, op) = l" ( rtq,la) f" =
=6(DF)(6)
la[' >Cfu
s"g
bJ *ę^^^"Ą *d""{c^l(b..+Ę ,bP*
}
c,Uo"' td dŁĘ,.,^
-tąJ'^.
Fcv*
dęa*
osrtc^x.i,Ą
Pą€2
|@Ą
J )^-'.
\. eąxtb*l
= 3e
za*'*
l.*( Ę.,WP>) -
rt..Ą , {r
P.<ńąot
3 €
l'
uąx |bo.
Q.*tu*lt'Ą
det(<ł,,P>
)l ś
),ł
I ,. l3e (^^*lLI
ś
a.l.3ł
(" Ad*' )t
dtt lbn,bp )
@0"
os[a*€€x,ł,
I bol - [Prr"lal t
?oĘ;cŁ
ep ".^.q arQ- [ro.r,roz,*"i{-t..ąo|:
Gdb'n^
Mlc
lR^-
łlą
Ętazeł;a.
af'rl#a- &
Q.4ę={*. d (x, I.4) (€ \
l
W)IQ.
Ittt{ vb*
C71
Q -ro
zr^riąrc
d.5dą't?t,|G.
EAc
i
c=n-Ą
x. = a,u",ic5ą
łe^b'ła+ki,-i
h'
ł.Ą.
P"
(An=z,A"str,
Ńed^
Ą-t^5"łł.el;
}4 Ął*..
e,.raĄ !" ł'Da,*^ftń"'.(Ąt"i€*3
ą ą,Pracd'.d9}ilt
1,"Lą"^na
blo.
ls=$łi-,.-.)
7eł' d"f.Gt;tfficŁ
z
xeH..
t
n€ lR\tt aalą.ą {cx)= lx-p ,
ąs"JIĘaP)2
| r k.rc^ ł}Ą
cłljąt''*,,(
.odJ
q
Ta {.,^Ęr,ffi"a3g*
VĘ Q("l
n
-LM
g$r'l')
ęJu :
Ą
P= x" r)),
lp-sl =
yJĘb1
d(p, l't) E lvl.
a
,
}"t,płz., Ą. t,śą.łŁ.
t
P-^łĘ 4n,^, io,Ł..
xo6V,
XotPr
uJĘM,
|vl (€
t.lŁ^!^ łerąz
Domł'^ą ) *e*3
?olo
Ęt*'
W
I'4
tr(tl')
^^{Ła^{'.ą
r
ZĄe*x
.1.t?Łńr.^
aą€ - U.
&
,noa.i.'.jt
a
Na"o" a
(4ł")
&1;l.?(w
- ,
|^Fg
ł+r
t
Ńał.:^qiq }'rua|n-^'i
t"el.*avł.l ^'r..ŁtlĄ
tJ zit,-vęł,^
t /L\a.Hąr
.
{ łc* a"e"Ł ol.ęxQnuo
F;
"a".*Ł*
rl
.) F(r^. )
n,.iereł"5Ą
będ* Par.Ą-
Lą**- !*l..*"
t T"(*)
) VrueU
a.-.łs"b
-źr
M
\J
ole"4on^ąD^,. '.D"ł;'^1h.e
}o[x
T
ł.
?ą
fio...
/'^^iTĘf.,
z.tr}f'Ł ftu^ !t"
uy,
fv
u
ń,
F
\rL'.** |t
a^e Ca .
c,
Ą.
Jcłt
z
Ę",V
\'*gż""[5q$*l7
d^
Kaa{ r^.ebbr ^,€f..Ą
-r
b't lc,rł- ltpota-cr -r
)r łr. (t )
tr(rŁ)
l.
0btit,:X
A%
ab;{,. p"-FLf"
U€ !".|a..
F(tr)* Złfa,'r(u-),
U
( ł"ł ot'.t't.)Ą ą
bi
r
I
\--'
lAl ( e
r-
0tl=/gi
e.
ą F.r Au/v{I =b.orJ.'
+*
a,^^oilą
Ltźrc
!rn..a.^nY,HŁ
p"r}a*l
ffi1c>)<,:
)
I
/
---
Roepfu:
lzł.,.łe..,'.^+2 =( xł'*.1 - -) A^ )
|u'eL,,.}oTc€..F?a+ąJ
ó
(*,r 1r--
Z &.6.rff )
l.,|ą*erz
.f)
@
v€<}A/*\Ę-J*
Ę
= rGoąa
3^e% +
uęlct.rą^-,l
1
F(?t)+
{E,x), t.at<r\
B"t
p+ ł,*łaełęĘ,
.'.,|?^*>^.*
ł^*^,
") ^*J.@
)
[ł+)^.*,
-g 'Y
Ze,*
Jr (
ł,J
futĘ,^.6b}*^.a.
L *€tsł""^ ^
t^s.'.ela.'.
E.t" y*. .JGA =
^
6(bF)
uleJ.tr tłr6
r.
l
L'o
,-
l
..-I^l
Jo t+]
l
p|
oot ąz. *?4 etear.ngbł^1
]
Ł^t*
Z
gLaltc, 2Ł ab
t,r.
o .6ft5rmłń
r
.:'
t)
-ł
0ą,-,ŁL, Xdr,
-5
tLt'.;
ałl,ąoi.RpĘśub
Ęenątl,.,,the,^.
Ł ,. Tł
€
t b ł,a ,^latńe
ł"^}ątcP.Ji ^^.ĄĄ
d
rffe.t tro4^+4ń.€^Ą
luel = Its6t =
(at,A): lxl<€
f(effi - *{*ł \
J\
m1d^łt \)i,.*Ą
(,frffi;n' (o*^u*A'o ,: :^'Pl
= J'-'\
Ęc
Ir!I
e" ,Ą
+ ,tpq3 Tt\6. o3A'"
"U|5,t"^€
.J