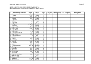
1 Acard 0075 g 30 tabl. 77 2 Adavin 0,01 g 30 tabl. 13 3 Aescin 0,02

Transkrypt

1 Acard 0075 g 30 tabl. 77 2 Adavin 0,01 g 30 tabl. 13 3 Aescin 0,02
Załącznik
Oznaczenie sprawy 33.721.5.2012
SZCZEGÓLOWY OPIS PRZEDMIOTU ZAMÓWIENIA
( Po wypełnieniu staje się załącznikiem do formularza oferty i umowy)
Lp.
1
1
2
3
4
5
6
7
8
9
10
11
12
13
14
15
16
17
18
19
20
21
22
23
24
25
26
27
28
29
30
31
32
Nazwa produktu leczniczego i
2
wyrobu medycznego
Acard
Adavin
Aescin
Akineton
Altacet
Altaziaja
Alugastrin
Ambrosol
Apo - Amlo
Apo-Clodin
Apo-Doxan
Apo-Indap
Apo-Pentox 400 SR
Apo-Simva
Argosulfan krem
Arthryl
Asentra
Aspargin
Atarax
Atenolol
Atoris
Atrovent aerozol
Bellergot
Bioprazol
Biosotal
Bi-profenid
Bisocard
Calcium dobesilate
Calcium Polfa
Calperos 500
Captopril
Cinnarizinum
Dawka
3
produktu
0,075 g
0,01 g
0,02 g
2 mg
1.0 g
0,34 g/5 ml
0.03
10 mg
0,025 g
4 mg
2,5 mg
0,4 g
0,02 g
2%
1,5 g
0,05 g
0,5 g
0,025 g
0,05 g
0,02 g
0.02 mg
0,02 g
0,04 g
0,15 g
5 mg
0,25 g
0,5 g
12,5 mg
0,025 g
Ilość w
4
opakowaniu
30 tabl.
30 tabl.
90 tabl.
50 tabl.
6 tabl.
75 g
250 ml.
120 ml.
30 tabl.
60 tabl.
30 tabl.
30 tabl.
30 tabl.
30 tabl.
40g
20 sasz.
28 tabl.
50 tabl.
25 tabl.
30 tabl.
30 tabl.
200 dawek.
30 draż.
28 tabl.
60 tabl.
28 kaps.
30 tabl.
30 tabl.
12 szt.
30 kaps.
30 tabl.
50 tabl.
Ilość
Cena netto % stawka Podatek VAT Cena brutto
5
6
7
8
9
opakowań
VAT
77
13
14
33
14
8
5
3
23
10
14
30
70
13
20
6
26
70
55
60
48
33
14
48
39
14
54
90
7
14
54
58
Wartość brutto
10
(5x9)
33
34
35
36
37
38
39
40
41
42
43
44
45
46
47
48
49
50
51
52
53
54
55
56
57
58
59
60
61
62
63
64
65
66
67
68
69
70
71
72
Clotrimazolum krem
Codipar
Cyclo 3 Forte
Diabrezide
Diaprel MR
Diclac
Digoxin BM
Disalunil
Diosminex
Doxar
Effox
Effox
Effox
Effox
Enarenal
Enarenal
Enarenal
Espumisan
Estazolam
Euclamin
Euphyllina CR
Exelon
Exelon
Falvit
Febrofen
Fibrolan maść
Flegamina syrop
Flegamina tabl.
Furaginum
Furosemid
Glucobay
Glucobay
Glucosum
Gentamicin
Halidor
Hemofer F
Hydroxyzinum
Hydroxyzinum
Hygroton
Ibuprom
1%
0,5 g
150 mg.
80 mg
30 mg
0,05 g
0,1g
0,025 g
0,5 g.
4 mg
0,01 g
0,02 g
0,05 g
0,075 g
0,01 g
0,05 g
0,02 g
0,04 g
2 mg
5 mg
250
3 mg
1,5 mg
0,2g
0,08g/100ml
8 mg
0,05g
0,04 g
0.1 g.
0,05 g
5%
40mg/1ml
0,1 g
0,01 g
0,25 g
0,05 g
0,2 g
20 g
12 tabl.
30 kaps.
40 tabl.
60 tabl.
50 tabl.
30 tabl.
30 tabl.
60 tabl.
30 tabl.
60 tabl.
50 tabl.
30 tabl.
30 tabl.
60 tabl.
60 tabl.
60 tabl.
100 tabl.
20 tabl.
60 tabl.
30 tabl.
28 tabl.
28 tabl.
30 tabl.
20 tabl.
25g
120 ml
20 tabl.
30 tabl.
30 tabl.
30 tabl.
30 tabl.
500 ml
10 amp. 1 ml
60 tabl.
30 draż
30 tabl.
30 tabl.
20 tabl.
10 szt.
42
38
30
102
6
15
96
30
10
27
20
25
16
24
41
96
34
22
108
34
77
27
7
20
27
22
14
14
92
277
36
12
108
15
14
26
50
48
15
10
73
74
75
76
77
78
79
80
81
82
83
84
85
86
87
88
89
90
91
92
93
94
95
96
97
98
99
100
101
102
103
104
105
106
107
108
109
110
Kaldyum
Kaldyum
Kalipoz prolongatum
Ketonal forte
Kompres gazowy 9 cm
Kompres Medicomp 7,5
Krople miętowe
Krople żołądkowe
Lactulosum
Lignocainum żel „U"
Linomag maść
Lioton żel
Lorafen
Lorafen
Lovastyna
Lucetam
Madopar
Madopar HBS
Majamil
MeloxiLek 15
Memotropil
Memotropil
Metformax
Mianserin
Molsidomina
Mononit
Mononit
Multi witamina
Mydocalm
Naproxen 10% żel
Neomycinum aerozol
Nilogrin
Nimesil gran.
Nimwastid
Nitrazepam
Nitrendypina
Nitrendypina
Nootropil
0,315 g
0,315 g
0,75 g
0,1g
50 kaps.
100 kaps.
30 tabl.
30 tabl.
3 szt.
100 szt.
35 g.
35 g.
2%
0,2 g
8,5 mg
1 mg
2,5 mg
20 mg
0,8 g
250 mg
125 mg
0,05 g
0,015 g
0,8 g
1,2 g
0,85 g
10 mg
4 mg
0,01g
0,02 g
0,05 g
0,01 g
0,01 g
0,1 g
3 mg
0,005 g
0,01g
0,02 g
1,2 g
150 ml
30 g
30 g
50 g
25 draż.
25 draż.
28 tabl.
30 tabl.
100 tabl.
100 tabl.
20 tabl.
10 tabl.
60 tabl.
60 tabl.
30 tabl.
30 tabl.
30 tabl.
60 tabl.
60 tabl.
50 draż.
30 tabl.
50 g
30 ml
30 tabl.
9 sasz.
28 tabl.
20 tabl.
30 tabl.
30 tabl.
60 tabl.
14
20
75
72
318
18
6
8
46
22
16
30
16
60
45
16
16
60
36
15
21
38
48
90
15
19
36
15
39
16
14
14
37
20
120
58
48
17
111
112
113
114
115
116
117
118
119
120
121
122
123
124
125
126
127
128
129
130
131
132
133
134
135
136
137
138
139
140
141
142
143
144
145
146
147
No-Spa
Nutrof
Omnic Ocas
Opaska dziana 4mm x 10
Opaska dziana 4mm x 15
Oxycardil
Paracetamol
Pelethrocin
Płyn wieloelektrolitowy
Polocard
Polocard
Polopiryna S
Polprazol
Prestarìum
Prestarium
Pridinol
Promazin
Promazin
Promazin
Pronoran
Propranolol
Pyralginum
Ranigast
Rawel SR
Relanium
Relanium
Rivanol
Rutinoscorbin
Simvacard
Sinemet
Siofor
Solcoseryl maść
Sorbifer durules
Sól fizjologiczna
Spironol
Spironol
Staveran prolong.
0,04 g
0,4 mg
180 mg
0,5 g
0,45g+0,05g
0,075 g
0,15 g
0,3 g
0,02 g
5 mg
10 mg
5 mg
25 mg.
50 mg
100 mg
0,05 g
0,01g
0,5 g
0,15 g
1,5 mg
2 mg
5 mg
0,1 g
0,02 g
0,2 g
0.5 g
5%
0,009
0,025 g
0,1g
0,12 g
20 tabl.
36 kaps.
30 tabl.
180 szt.
72 szt.
30 tabl.
20 tabl.
30 tabl.
500 ml
60 tabl.
60 tabl.
20 tabl.
28 kaps.
30 tabl.
30 tabl.
50 tabl.
60 draż
60 draż
60 draż
30 tabl.
50 kaps.
10 tabl.
60 tabl.
30 tabl.
20 tabl.
20 tabl.
5 tabl.
90 tabl.
28 kaps.
50 kaps.
30 tabl.
20 g
50 tabl.
500 ml
20 tabl.
20 tabl.
20 tabl.
27
17
10
34
10
20
102
77
52
46
20
36
12
34
34
12
12
15
36
35
36
48
20
192
12
32
44
32
24
39
17
192
132
48
66
148
149
150
151
152
153
154
155
156
157
158
159
160
161
162
163
164
165
166
167
168
169
170
171
172
173
Staveran
Sudocrem krem
Sylimarol
Tardyferon
Tertensif SR
Theospirex
Theovent
Tialorid
Tialorid
Tramundin
Tritace
Tritace
Unidox Solutab
Venoruton 300
Venoruton Forte
Venotrex
Verospiron
Vicebrol
Vilpin
Vinpocetina
Vinpoton
Vit.B compositum
Vit.B6
Vit.C
Vitreolent krople do oczu
Vivacor
40 mg
0,035 g
0,08 g
1,5 mg
0,3 g
0,3 g
5m+0,05 g
0,1 g
0,1 g
5 mg
10 mg
100 mg
0,3 g
500 mg
0,3 g
50 mg
5 mg
10 mg
0,005 g
5 mg
0,05 g
0,2 g
6,25 mg
20 tabl.
125 g
60 tabl.
30 tabl.
30 tabl.
50 kaps.
50 kaps.
50 kaps.
30 tabl.
30 tabl.
28 tabl.
28 tabl.
10 tabl.
50 tabl.
30 tabl.
50 tabl.
30 tabl.
50 tabl.
30 tabl.
50 tabl.
50 tabl.
50 draż.
50 tabl.
60 tabl.
10 ml
30 tabl.
40
66
34
20
62
29
144
156
39
36
34
24
26
39
20
20
53
24
12
36
24
18
63
19
12
2
RAZEM :