Załącznik nr 1.4 - Opis przedmiotu zamówienia

Transkrypt

Załącznik nr 1.4 - Opis przedmiotu zamówienia
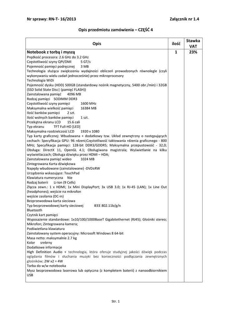
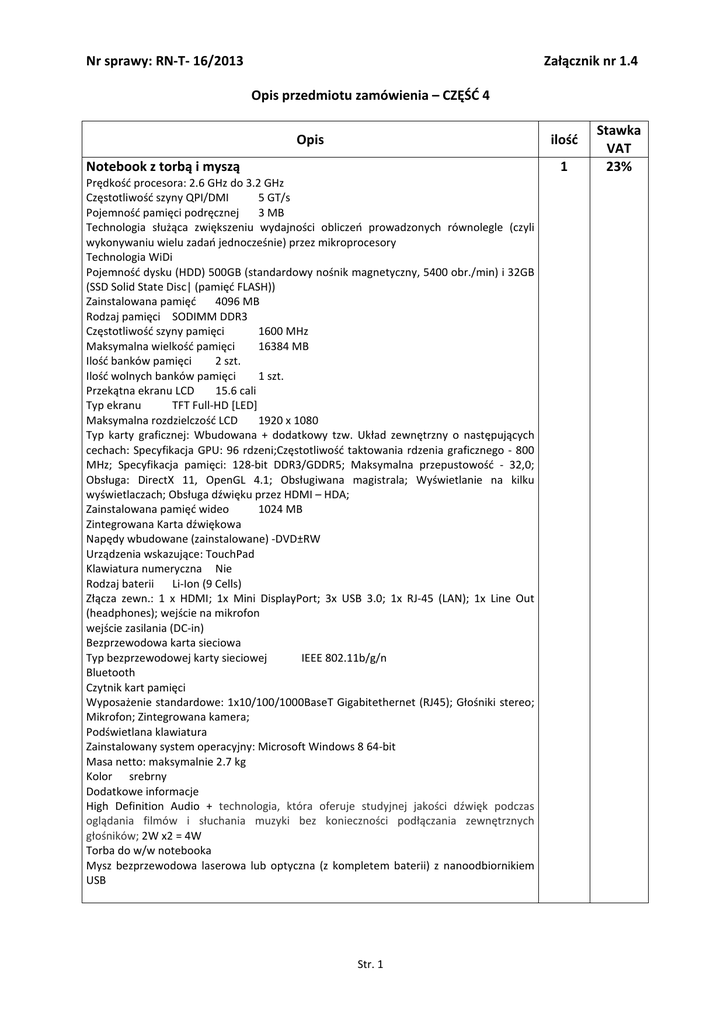
Nr sprawy: RN-T- 16/2013
Załącznik nr 1.4
Opis przedmiotu zamówienia – CZĘŚĆ 4
Opis
ilość
Notebook z torbą i myszą
1
Prędkość procesora: 2.6 GHz do 3.2 GHz
Częstotliwość szyny QPI/DMI
5 GT/s
Pojemność pamięci podręcznej
3 MB
Technologia służąca zwiększeniu wydajności obliczeń prowadzonych równolegle (czyli
wykonywaniu wielu zadań jednocześnie) przez mikroprocesory
Technologia WiDi
Pojemność dysku (HDD) 500GB (standardowy nośnik magnetyczny, 5400 obr./min) i 32GB
(SSD Solid State Disc| (pamięć FLASH))
Zainstalowana pamięć
4096 MB
Rodzaj pamięci SODIMM DDR3
Częstotliwość szyny pamięci
1600 MHz
Maksymalna wielkość pamięci
16384 MB
Ilość banków pamięci
2 szt.
Ilość wolnych banków pamięci
1 szt.
Przekątna ekranu LCD
15.6 cali
Typ ekranu
TFT Full-HD [LED]
Maksymalna rozdzielczość LCD
1920 x 1080
Typ karty graficznej: Wbudowana + dodatkowy tzw. Układ zewnętrzny o następujących
cechach: Specyfikacja GPU: 96 rdzeni;Częstotliwość taktowania rdzenia graficznego - 800
MHz; Specyfikacja pamięci: 128-bit DDR3/GDDR5; Maksymalna przepustowość - 32,0;
Obsługa: DirectX 11, OpenGL 4.1; Obsługiwana magistrala; Wyświetlanie na kilku
wyświetlaczach; Obsługa dźwięku przez HDMI – HDA;
Zainstalowana pamięć wideo
1024 MB
Zintegrowana Karta dźwiękowa
Napędy wbudowane (zainstalowane) -DVD±RW
Urządzenia wskazujące: TouchPad
Klawiatura numeryczna Nie
Rodzaj baterii
Li-Ion (9 Cells)
Złącza zewn.: 1 x HDMI; 1x Mini DisplayPort; 3x USB 3.0; 1x RJ-45 (LAN); 1x Line Out
(headphones); wejście na mikrofon
wejście zasilania (DC-in)
Bezprzewodowa karta sieciowa
Typ bezprzewodowej karty sieciowej
IEEE 802.11b/g/n
Bluetooth
Czytnik kart pamięci
Wyposażenie standardowe: 1x10/100/1000BaseT Gigabitethernet (RJ45); Głośniki stereo;
Mikrofon; Zintegrowana kamera;
Podświetlana klawiatura
Zainstalowany system operacyjny: Microsoft Windows 8 64-bit
Masa netto: maksymalnie 2.7 kg
Kolor srebrny
Dodatkowe informacje
High Definition Audio + technologia, która oferuje studyjnej jakości dźwięk podczas
oglądania filmów i słuchania muzyki bez konieczności podłączania zewnętrznych
głośników; 2W x2 = 4W
Torba do w/w notebooka
Mysz bezprzewodowa laserowa lub optyczna (z kompletem baterii) z nanoodbiornikiem
USB
Str. 1
Stawka
VAT
23%