Przep. przyd. PKSA800_40 pompa jednofazowa

Transkrypt

Przep. przyd. PKSA800_40 pompa jednofazowa
Jung Pumpen Polska Sp. z o.o.
Oddział Gdańsk
Piotr Banasiak
Tel. 605 160 112
Specyfikacja ofertowa
Fax 32 295 12 01
Firma
Projekt
ID projektu
Wykonane przez:
Poz.
Licz.
Oznaczenie
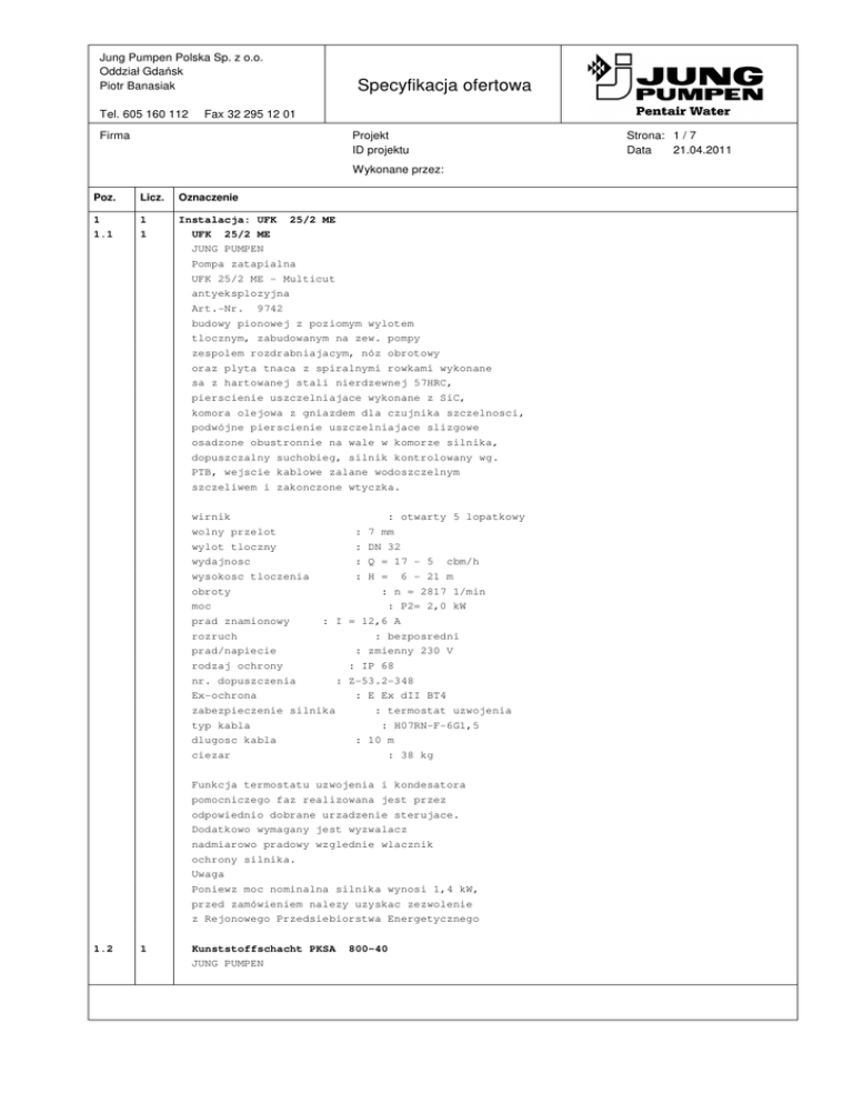
1
1.1
1
1
Instalacja: UFK
UFK 25/2 ME
JUNG PUMPEN
25/2 ME
Pompa zatapialna
UFK 25/2 ME - Multicut
antyeksplozyjna
Art.-Nr. 9742
budowy pionowej z poziomym wylotem
tlocznym, zabudowanym na zew. pompy
zespolem rozdrabniajacym, nóz obrotowy
oraz plyta tnaca z spiralnymi rowkami wykonane
sa z hartowanej stali nierdzewnej 57HRC,
pierscienie uszczelniajace wykonane z SiC,
komora olejowa z gniazdem dla czujnika szczelnosci,
podwójne pierscienie uszczelniajace slizgowe
osadzone obustronnie na wale w komorze silnika,
dopuszczalny suchobieg, silnik kontrolowany wg.
PTB, wejscie kablowe zalane wodoszczelnym
szczeliwem i zakonczone wtyczka.
wirnik
wolny przelot
: otwarty 5 lopatkowy
: 7 mm
wylot tloczny
: DN 32
wydajnosc
wysokosc tloczenia
: Q = 17 - 5 cbm/h
: H = 6 - 21 m
obroty
moc
prad znamionowy
: n = 2817 1/min
: P2= 2,0 kW
: I = 12,6 A
rozruch
prad/napiecie
rodzaj ochrony
nr. dopuszczenia
Ex-ochrona
zabezpieczenie silnika
typ kabla
dlugosc kabla
ciezar
: bezposredni
: zmienny 230 V
: IP 68
: Z-53.2-348
: E Ex dII BT4
: termostat uzwojenia
: H07RN-F-6G1,5
: 10 m
: 38 kg
Funkcja termostatu uzwojenia i kondesatora
pomocniczego faz realizowana jest przez
odpowiednio dobrane urzadzenie sterujace.
Dodatkowo wymagany jest wyzwalacz
nadmiarowo pradowy wzglednie wlacznik
ochrony silnika.
Uwaga
Poniewz moc nominalna silnika wynosi 1,4 kW,
przed zamówieniem nalezy uzyskac zezwolenie
z Rejonowego Przedsiebiorstwa Energetycznego
1.2
1
Kunststoffschacht PKSA
JUNG PUMPEN
800-40
Strona: 1 / 7
Data
21.04.2011
Jung Pumpen Polska Sp. z o.o.
Oddział Gdańsk
Piotr Banasiak
<PLZ / Ort>
Tel. 605 160 112 Fax 32 295 12 01
Firma
Licz.
Strona: 2 / 7
Ausschreibungstext / Tender TextData
21.04.2011
Projekt
ID projektu
<Straße>
<PLZ / Ort>
<Telefonnummer>
Poz.
Specyfikacja ofertowa
Wykonane przez: <Erstellt durch>
Oznaczenie
Przepompownia
PKS 800 - 50
ART.-Nr.
9950
Antywyporowa sstudnia wykonana
z wysokogatunkowego polietylenu PE HD
dla jednej pompy do odprowadzenia scieków
lub wody zanieczyszczonej.
Sklada sie z:
zbiornika w którym jest mufa wlotowa DN 150
wraz z uszczelkami oraz dwa krócce dla muf
nasadzanych dla odpowietrzenia wzglednie dla
przewodu zasilajacego DN 70/100
Wymiary bez pokrywy
srednica wew :
wysokosc calkowita:
glebokosc wlotu DN 150 :
glebokosc wylotu DN 40 :
pojemnosc pompowa:
800 mm
1670 mm
1225 mm
810 mm
90
pojemnosc calkowita:
ciezar:
l
750
l
76 kg
Zabudowany opatentowany zespól sprzegajacy
wraz zaworem zwrotnym kulowym i przylaczem
do plukania dla zaworu do plukania typu Perrot,
zasuwa odcinajaca PN 16 z pokretlem, wyjscie
tloczne z gwintem zew. R11/2" wystajace na zew
studni.
1.3
1
Druckrohr mit Kette DN40 Edelstahl
Rura tloczna DN 40 - Niro
dla PKS 800 z pompami MultiCut UAK/UFK 25-36
Art.-Nr. 24722
rura gwintowana z niro i uchwytem sprzeglowym
i kpl uszczelek-niro, lancuch-niro z 1.4301, DIN 766-3,
2,5 m dl, udzwig 200 kg z 2 ogniwami
1.4
1
Pokrywa wlazu kl.A 15
Pokrywa wlazowa
srednica 600mm
wysokosc h= 80mm
klasa A 15
Art.-Nr. 20817
DIN 4034 czec 2, dla SKS/PKS 800 i PKS 1200
z ramka srednicy 825mm, bez wetylacji.
Ciezar: 90 kg
1.5
1
Zestaw izolacyjny
Zestaw izolacyjny dla studzienek
Art.-Nr. 24412
PKS i SKS
Jung Pumpen Polska Sp. z o.o.
Oddział Gdańsk
Piotr Banasiak
<PLZ / Ort>
Tel. 605 160 112 Fax 32 295 12 01
Specyfikacja ofertowa
Firma
Projekt
ID projektu
<Straße>
<PLZ / Ort>
<Telefonnummer>
Poz.
Licz.
Strona: 3 / 7
Ausschreibungstext / Tender TextData
21.04.2011
Wykonane przez: <Erstellt durch>
Oznaczenie
Zestaw izolacyjny do podwieszenia na wieszaku
ze stali nierdzewnej z dolu pokrywy betonowej
studni. Izolacja dla ochrony armatury przepompowni
przed mrozem.
Material izolacji:
twarda pianka (30kg/cbm)
Dxh:
590 x 80 mm
uchwyt:
1.6
1
niro 1.4301
Pierscien podporowy
Pierscien podporowy
srednica 625/100 mm, klasa A 15
dla PKS i pokrywy
Art.-Nr. 25488
wg. DIN 4034-T2 z betonu siarczanowego,
dla wyrównania poziomu DA= 825 mm
Ciezar: 55 kg
1.7
1
Przylaczka gwintowa 50*1 1/2"
Przylaczka gwintowa 50x1 1/2"
gwint wewnetrzny
Art.-Nr. 22366
1.8
1
Schachtverlängerung PSVA 800x370
PSV 370
Nasadka cylindryczna dla PKS 800/1200
Art.-Nr. 25318
Nasadka do zabudowy na studzience z tworzywa
PKS wraz z uszczelka i srubami z A2 dla montazu.
Wymiary:
srednica
wysokosc
ciezar
875 mm
420 mm
21 kg
Ze wzgledu na statyke studzienka PKS wraz
z nadstawka PSV jest zabezpieczona przed
wyporem kiedy zanurzuna jest w wodzie gruntowej
na glebokosc max. 1 m.
Jung Pumpen Polska Sp. z o.o.
Oddział Gdańsk
Piotr Banasiak
<PLZ / Ort>
Tel. 605 160 112
Fax 32 295 12 01
Firma
Dane techniczne
Strona: 4 / 7
Data
Technische Daten / Technical Data
21.04.2011
Projekt
ID projektu
<Straße>
<PLZ / Ort>
<Telefonnummer>
Wykonane przez: <Erstellt durch>
Dane eksplotacyjne
1
2
Nosiwo
Wysokosc geodezyjna Hgeo
0m
3
Temperatura robocza
10 °C
Wysokosc strat Hv
0m
5
999,7 kg/m³
1,005 mm²/s
Wysokosc manometryczna Hman
0m
4
Gestosc
Lepkosc kinematyczna
6
Natezenie przeplywu
0 l/s
Pompa
8
9
Producent
Jung Pumpen
10
Opis pompy
Max. Temperatura robocza
11
Natezenie przeplywu (pojedyncza)
Króciec ssacy
12
Wysokosc podnoszenia (pojedyncza)
Króciec tloczny
13
Natezenie przeplywu (równolegla)
Pobór mocy P1
14
Wysokosc podnoszenia (równolegla)
Obroty
2800 1/min
15
Rodzaj wirnika Multicut
Wirnik przelotowy
7 mm
UFK 25/2 ME
40
°C
Stopien cisnienia nominalnego
DN 32
Material
17
18
Obudowa
GG-25
19
Walek
C 45 K
20
Wirnik
GG-170 HB
21
Obudowa silnika
GG-20
Uszczelnienie walu
23
24
25
Silnik
27
28
Producent
Jung Pumpen
29
Rodzaj silnika
1~
Wielkosc
56
30
Czestotliwosc
50 Hz
Rodzaj ochronny
IP 68
31
Moc
2 kW
cos ϕ
0,98
32
Obroty nominalne
2800 1/min
33
Napiecie nominalne
230 V
34
Prad nominalny
11,5 A
Ciezar
37 kg
Urzadzenie
36
37
Rodzaj pracy
S1
Jung Pumpen Polska Sp. z o.o.
Oddział Gdańsk
Piotr Banasiak
<PLZ / Ort>
Tel. 605 160 112 Fax 32 295 12 01
Krzywa
Firma
Projekt
ID projektu
<Straße>
<PLZ / Ort>
<Telefonnummer>
Kennlinie / Performance Curve
Strona: 5 / 7
Data
21.04.2011
Wykonane przez: <Erstellt durch>
UFK 25/2 ME
[m] Wysokosc podnoszenia
26
25,5
25
24,5
24
23,5
23
22,5
22
21,5
21
20,5
20
19,5
19
18,5
18
17,5
17
16,5
16
15,5
15
14,5
14
13,5
13
12,5
12
11,5
11
10,5
10
9,5
9
8,5
8
7,5
7
6,5
6
5,5
5
4,5
4
3,5
3
2,5
2
1,5
1
0,5
0
0,4
0,8
25/2 ME
1,2
1,6
2
2,4
Pompa:
Nosiwo:
Punkt pracy (pojedyncza)
Punkt pracy (praca równolegla)
2,8
3,2
UFK 25/2 ME
3,6
4
4,4
4,8
[l/s]
Jung Pumpen Polska Sp. z o.o.
Oddział Gdańsk
Piotr Banasiak
<PLZ / Ort>
Tel. 605 160 112 Fax 32 295 12 01
Wymiary glówne i montazowe
Firma
Strona: 6 / 7
Data(Table)
Abmessungen (Tabelle) / Dimensions
21.04.2011
Projekt
ID projektu
<Straße>
<PLZ / Ort>
<Telefonnummer>
Wykonane przez: <Erstellt durch>
UFK 25/2 ME
450 (25/2...45/2)
min.20
525 (75/2+76/2)
40
4
55
1
3
95
2
a.1
50
175
Rc
625 (75/2+76/2)
11
490 (25/2E...45/2)
460 (25/2)
15
1 1/2"
(75+76/2)
6
140
10
5
3xØ12
155
125
(45/2)
130
125
125
(25...36/2)
260 *
95
145
420 (25...45/2)
500 (75+76/2)
540 (25...45/2)
615 (75+76/2)
4 25613-05
Wymiary w
mm
Króciec ssacy:
Króciec tloczny: DN 32
Ciezar w kg:
37
Jung Pumpen Polska Sp. z o.o.
Oddział Gdańsk
Piotr Banasiak
<PLZ / Ort>
Tel. 605 160 112 Fax 32 295 12 01
Dane studzienki
Firma
Projekt
ID projektu
<Straße>
<PLZ / Ort>
<Telefonnummer>
Pumpenschacht / Pump Sump
Wykonane przez: <Erstellt durch>
Ø 840
3
10
7
11
3
4
680 (1050)
370
80
30
Ø 600
7
1700 (2070)
840 (1210)
1255 (1625)
11
6
445
100
2
100
8
885
495
305
5
Ø975
1055
3 27055-01
Strona: 7 / 7
Data
21.04.2011