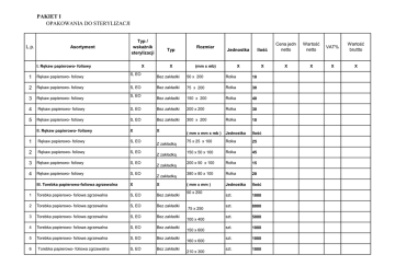
PAKIET I OPAKOWANIA DO STERYLIZACJI

Transkrypt

PAKIET I OPAKOWANIA DO STERYLIZACJI
PAKIET I
OPAKOWANIA DO STERYLIZACJI
L.p.
Asortyment
Typ /
wskaźnik
sterylizacji
I. Rękaw papierowo- foliowy
1
Rękaw papierowo- foliowy
2
Rękaw papierowo- foliowy
3
Rękaw papierowo- foliowy
4
Rękaw papierowo- foliowy
5
Typ
X
S, EO
X
Rozmiar
Jednostka
Ilość
Cena jedn
netto
Wartość
netto
VAT%
Wartość
bruttto
X
X
X
X
X
X
(mm x mb)
Bez zakładki
50 x 200
Rolka
10
Bez zakładki
75 x 200
Rolka
30
Bez zakładki
150 x 200
Rolka
40
S, EO
Bez zakładki
200 x 200
Rolka
30
Rękaw papierowo- foliowy
S, EO
Bez zakładki
300 x 200
Rolka
10
II. Rękaw papierowo- foliowy
X
X
( mm x mm x mb )
Jednostka
Ilość
1
Rękaw papierowo- foliowy
S, EO
75 x 25 x 100
Rolka
25
2
Rękaw papierowo- foliowy
S, EO
150 x 50 x 100
Rolka
45
3
Rękaw papierowo- foliowy
S, EO
200 x 50 x 100
Rolka
15
4
Rękaw papierowo- foliowy
S, EO
380 x 80 x 100
Rolka
20
III. Torebka papierowo-foliowa zgrzewalna
X
X
( mm x mm )
Jednostka
Ilość
1
Torebka papierowo- foliowa zgrzewalna
S, EO
Bez zakładki
szt.
1000
2
Torebka papierowo- foliowa zgrzewalna
S, EO
Bez zakładki
szt.
8000
3
Torebka papierowo- foliowa zgrzewalna
S, EO
Bez zakładki
szt.
5000
4
Torebka papierowo- foliowa zgrzewalna
S, EO
Bez zakładki
szt.
1000
5
Torebka papierowo- foliowa zgrzewalna
S, EO
Bez zakładki
szt.
1000
6
Torebka papierowo- foliowa zgrzewalna
S, EO
Bez zakładki
szt.
1000
S, EO
S, EO
Z zakładką
Z zakładką
Z zakładką
Z zakładką
50 x 250
75 x 250
100 x 400
150 x 600
160 x 600
210 x 300
IV. Torebka papierowo-foliowa zgrzewalna
X
X
1
Torebka papierowo- foliowa zgrzewalna
S, EO
2
Torebka papierowo- foliowa zgrzewalna
S, EO
3
Torebka papierowo- foliowa zgrzewalna
S, EO
( mm x mm x mm )
Z zakładką
75 x 30 x 300
Z zakładką
100 x 40 x 300
Z zakładką
150 x 50 x 460
Jednostka
Ilość
szt.
2000
szt.
5000
szt.
1000
Razem:
X
X
Wymogi:
1
2
3
4
5
6
7
8
jednorazowe opakowania,
2
gramatura papieru medycznego 60g/m
folia o wysokiej wytrzymałości na rozerwanie, umożliwiająca łatwą identyfikację zawartości,
napisy i wskaźniki procesu sterylizacji ( para wodna, tlenek etylenu ) umieszczone pomiędzy warstwami folii na zgrzewie,
zgrzew fabryczny minimum 3 kanałowy, jednolity dla każdego rozmiaru,
kierunek otwierania od strony papieru,
zgodność parametrów z normą EN 868
świadectwo zgodności z Dyrektywą CE 93/42
V. Papier krepowanydo sterylizacji
L.p.
1
2
3
4
Typ
sterylizacji
Kolor
Wielkość( cm x cm ) Jed. Miary
Papier krepowany do sterylizacji
S, EO
Zielony
50 x 50
Arkusz
500
Papier krepowany do sterylizacji
S, EO
Zielony
90 x 90
Arkusz
500
Papier krepowany do sterylizacji
S, EO
Biały
120 x 120
Arkusz
500
Papier krepowany do sterylizacji
S, EO
Zielony
120 x 120
Arkusz
1500
Razem:
1
2
3
4
5
6
Ilość
Wymogi:
jednorazowe opakowania,
2
gramatura papieru 60g/m
wzmacniany, z dużą wytrzymałością mechaniczną, odporny na przesiąkanie wody i innych płynów,
bez letaeksu
zgodność parametrów z normą EN 868
świadectwo zgodności z Dyrektywą CE 93/42
Cena jedn
netto
X
Wartość
netto
VAT%
X
Wartość
bruttto
L.p. VI. Papier krepowanydo sterylizacji
1
Papier krepowany do sterylizacji
Typ
sterylizacji
S, EO
Kolor
Biały /
złocistożółty
Wielkość( cm x cm ) Arkusz
120 x 120
Razem:
1
Wymogi:
jednorazowe opakowania,
2
biodegradowalny,
3
przemiennie pakowany,
4
z dużą wytrzymałością mechaniczną, odporny na przesiąkanie wody i innych płynów,
5
okres utrzymania sterylności 180 dni, potwierdzony certyfikatem,
6
zgodność parametrów z normą EN 868
7
świadectwo zgodności z Dyrektywą CE 93/42
Arkusz
Ilość
Cena jedn
netto
Wartość
netto
VAT%
300
X
X
Wartość
bruttto
PAKIET II
WSKAŹNIKI KONTROLI MYCIA MECHANICZNEGO
L.p.
Asortyment
Mycie
Postać
Jedn. Miary
Ilość / opak.
1
Test kontroli mycia maszynowego narzędzi
Wymagania: - ISO 15 883
100 sztuk w
Test z czerwoną
substancją wskaźnikową opakowaniu
Myjnie maszynowe na cienkiej płytce
metalowej
8
2
50 sztuk w
Myjnie
Test z niebieską
ultradźwiękowe
Test kontroli mycia maszynowego narzędziWymagania:
- ISO 15 883 substancją wskaźnikową opakowaniu
na cienkiej płytce
metalowej
15
Razem:
Cena jedn
netto
X
Wartość netto
VAT%
Wartość
bruttto
PAKIET III
WSKAŹNIKI KONTROLI STERYLIZACJI
L.p.
Asortyment
Typ
sterylizacji
Postać
Jednostka
Miary
Ilość
Cena jedn
netto
Wartość
netto
VAT%
Wartość
bruttto
X
X
X
X
X
X
X
X
S
Taśma19 mm
Rolka
50mb - 55 mb
35
DT
Taśma19mm
Rolka
50 mb–55 mb
8
1000 sztuk w
opakowaniu
90
100 sztuk w
opakowaniu
5
20 sztuk w
opakowaniu.
75
Jednostka
Miary
Ilość/op.
X
X
I. Chemiczne wskaźniki sterylizacji
1 Taśma ze wskaźnikiem sterylizacji parą wodną
Wymagania:
- bez metali ciężkich i lateksu,
2
3
Taśma ze wskaźnikiem sterylizacji gorącym
powietrzem
Wymagania:
- bez metali ciężkich i lateksu,
- ISO 11140, EN 867
S
Test
Wskaźnik do kontroli sterylizacji parowejWymagania:integrator klasa 5, ISO 11140, EN 867
paskowy
4
EO
Test
paskowy,
Zintegrowany test sterylizacji tlenkiem etylenuWymagania:
5
Pakiet testowy Bowie Dick 134 stopni C,
S
3,5 min.
II. Biologiczne wskaźniki sterylizacji
1
Wymagania:
Typ
sterylizacji
DT
1.Wskaźnik kontroli sterylizacji ciepłem suchym
Jednorazowy
pakiet testowy
z arkuszem
wskaźnikowym
Postać
Krążek lub
pasek bibuły,
pakowany
pojedynczo.
100 sztuk w
opakowaniu
3
Ampułkowy biologiczny wskaźnik sterylizacji parowej.
2
3
Wymagania:
ISO 11138, EN 867
czas inkubacji 24h
inkubacja w dostępnych inkubatorach Browne IBB, 3M,
testy bez zawartości ołowiu i innych substancji
toksycznych
S
Ampułka
Ampułkowy biologiczny test o szybkim odczycie, 3-5
godzin ostateczny odczyt biologiczny
Wymagania:
EN ISO 11138
S
Razem:
Ampułka
100 sztuk w
opakowaniu
8
100 sztuk w
opakowaniu
14
PAKIET IV
AKCESORIA EKSPLOATACYJNE DO STERYLIZACJI
L.p.
1
Asortyment
Giętkie czyściki do narzędzi i
kanałów o małym przekroju FLEX
2
Pisak
- niebieski
Pisak
5
Sprzęt laparoskopowy, endoskopowy
Do opisywania pakietów do
sterylizacji.
Odporny na warunki sterylizacji
Do opisywania pakietów do
sterylizacji
Odporny na warunki sterylizacji
3
4
Przeznaczen
Jednostka
IlośćSztuk
wsad wymienny
do podajnika
10
sztuka
40
sztuka
40
op. a 200 szt.
2
op. a 200 szt.
2
- czarny
Ochrona opakowania przed
przebiciem
Osłonka na ostrzaprzeźroczysta,szeroko
Ochrona opakowania przed
Osłonka na ostrzaprzeźroczysta,szeroko
przebiciem
Razem:
Cena jedn
netto
Wartość
netto
VAT%
Wartość bruttto