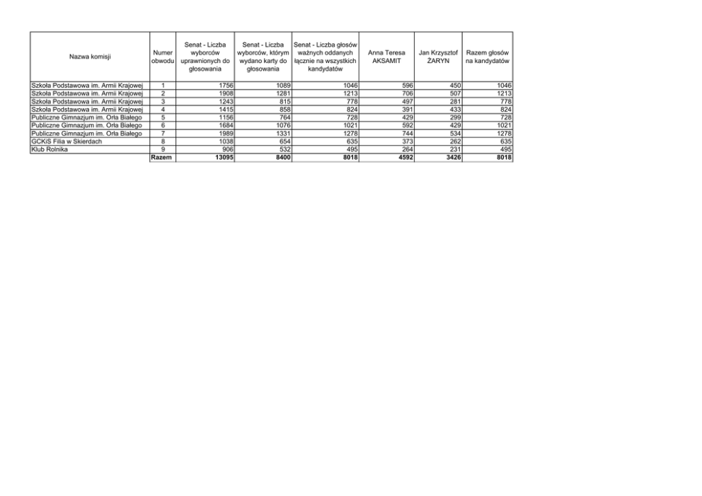
Nazwa komisji Numer obwodu Senat

Transkrypt

Nazwa komisji Numer obwodu Senat
Nazwa komisji
Szkoła Podstawowa im. Armii Krajowej
Szkoła Podstawowa im. Armii Krajowej
Szkoła Podstawowa im. Armii Krajowej
Szkoła Podstawowa im. Armii Krajowej
Publiczne Gimnazjum im. Orła Białego
Publiczne Gimnazjum im. Orła Białego
Publiczne Gimnazjum im. Orła Białego
GCKiS Filia w Skierdach
Klub Rolnika
Numer
obwodu
1
2
3
4
5
6
7
8
9
Razem
Senat - Liczba
wyborców
uprawnionych do
głosowania
1756
1908
1243
1415
1156
1684
1989
1038
906
13095
Senat - Liczba
Senat - Liczba głosów
wyborców, którym ważnych oddanych
wydano karty do łącznie na wszystkich
głosowania
kandydatów
1089
1281
815
858
764
1076
1331
654
532
8400
1046
1213
778
824
728
1021
1278
635
495
8018
Anna Teresa
AKSAMIT
596
706
497
391
429
592
744
373
264
4592
Jan Krzysztof
ŻARYN
450
507
281
433
299
429
534
262
231
3426
Razem głosów
na kandydatów
1046
1213
778
824
728
1021
1278
635
495
8018