Załącznik Nr 1 do Zarządzenia Nr 1652/16 Prezydenta Miasta
Transkrypt
										Załącznik Nr 1 do Zarządzenia Nr 1652/16 Prezydenta Miasta
                                        
                                        
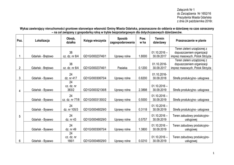
                                Załącznik Nr 1 do Zarządzenia Nr 1652/16 Prezydenta Miasta Gdańska z dnia 24 października 2016r. Wykaz zawierający nieruchomości gruntowe stanowiące własność Gminy Miasta Gdańska, przeznaczone do oddania w dzierżawę na czas oznaczony – na cel związany z gospodarką rolną w trybie bezprzetargowym dla dotychczasowych dzierżawców. Poz. Lokalizacja Obręb, działka Gdańsk - Brętowo 38 cz. dz. nr 8/4 2 Gdańsk - Brętowo 38 cz. dz. nr 8/4 3 Gdańsk - Bysewo 1 4 5 GD1G/00023746/1 Sposób zagospodarowania Uprawy rolne Pow. w ha Termin dzierżawy Przeznaczenie w planie 1.8000 01.10.2016 – 30.09.2017 Teren zieleni urządzonej z dopuszczeniem organizacji imprez masowych, Potok Strzyża Teren zieleni urządzonej z dopuszczeniem organizacji imprez masowych, Potok Strzyża GD1G/00023746/1 Pasieka 0.1200 01.10.201630.09.2017 GD1G/00030675/4 Uprawy rolne 0.8200 01.10.201630.09.2018 Strefa produkcyjno- usługowa 2.3898 01.10.2016 – 30.09.2019 Strefa produkcyjno- usługowa Strefa produkcyjno- usługowa Gdańsk - Bysewo 24 dz. nr 417 24 cz. dz. nr 383/2 Gdańsk - Bysewo 24 cz. dz. nr 77/8 GD1G/00031300/2 Uprawy rolne 0.5000 01.10.2016 – 30.09.2019 Gdańsk - Bysewo 24 dz. nr 105/3 GD1G/00048029/0 Uprawy rolne 0.3118 01.10.2016 – 30.09.2019 Strefa produkcyjno- usługowa Gdańsk - Bysewo 24 dz. nr 43 GD1G/00048029/0 Uprawy rolne 0.5757 01.10.2016 – 30.09.2019 Teren zabudowy produkcyjnousługowej GD1G/00030675/4 Uprawy rolne 1.3800 01.10.2016 – 30.09.2019 Teren zabudowy produkcyjnousługowej 0.0210 01.10.2016 – 30.09.2019 Teren zabudowy produkcyjnousługowej Gdańsk - Bysewo 6 Księga wieczysta Gdańsk - Bysewo 24 dz. nr 49 24 cz. dz. nr 166/1 GD1G/00032136/8 GD1G/00048029/0 Uprawy rolne Uprawy rolne 1 7 8 Gdańsk - Bysewo 24 dz. nr 166/2 Gdańsk - Bysewo 24 dz. nr 202 Gdańsk - Bysewo 24 dz. nr 143 Gdańsk - Bysewo 24 dz. nr 183 Gdańsk - Bysewo 24 dz. nr 215 GD1G/00032136/8 Uprawy rolne 0.1042 01.10.2016 – 30.09.2019 Gdańsk - Bysewo 24 dz. nr 219 GD1G/00048029/0 Uprawy rolne 0.0572 01.10.2016 – 30.09.2019 Teren zabudowy produkcyjnousługowej Gdańsk - Bysewo 24 dz. nr 221 GD1G/00032136/8 Uprawy rolne 0.2477 01.10.2016 – 30.09.2019 Teren zabudowy produkcyjnousługowej Gdańsk - Bysewo 24 dz. nr 196 GD1G/00032136/8 Uprawy rolne 0.1079 01.10.2016 – 30.09.2019 Teren zabudowy produkcyjnousługowej Gdańsk - Bysewo 24 dz. nr 197 GD1G/00048029/0 Uprawy rolne 0.1135 01.10.2016 – 30.09.2019 Teren zabudowy produkcyjnousługowej Gdańsk - Bysewo 24 dz. nr 189 GD1G/00030582/5 Uprawy rolne 0.0400 01.10.2016 – 30.09.2019 Teren zieleni krajobrazowoekologicznej- rów S8 GD1G/00052935/5 Uprawy rolne 0.2100 01.10.2016 – 30.09.2019 Brak planu 10 Gdańsk - Kokoszki 3 dz. nr 241 35 cz. dz. nr 122/3 11 Gdańsk - Komary 141 dz. nr 187 9 Gdańsk -Klukowo GD1G/00048029/0 GD1G/00032136/8 GD1G/00048029/0 GD1G/00048029/0 Uprawy rolne Uprawy rolne Uprawy rolne Uprawy rolne 0.2426 01.10.2016 – 30.09.2019 Teren zabudowy produkcyjnousługowej 0.1916 01.10.2016 – 30.09.2019 Teren zabudowy produkcyjnousługowej 2.5898 01.10.2016 – 30.09.2019 Teren zabudowy produkcyjnousługowej 0.8645 01.10.2016 – 30.09.2019 Teren zabudowy produkcyjnousługowej Teren zabudowy produkcyjnousługowej GD1G/00030643/1 Uprawy rolne 0.3063 01.10.201630.09.2019 GD1G/00057781/5 Uprawy rolne 0.7200 01.10.201630.09.2019 Teren zabudowy produkcyjno usługowej Zieleń – strefa brzegowa Martwej Wisły, międzywale. Fragment korytarza ekologicznego Martwej Wisły rangi regionalnej 2 Gdańsk - Płonia 125 cz. dz. nr 146/3 125 cz. dz. nr 151/3 125 cz. dz. nr 152/3 125 cz. dz. nr 157/3 125 cz. dz. nr 166/3 125 cz. dz. nr 169/3 125 cz. dz. nr 170/3 125 cz. dz. nr 173/3 125 cz. dz. nr 174/3 300 cz. dz. nr 274/4 Gdańsk- Stogi 253 cz. dz. nr 15/3 Gdańsk - Orunia Gdańsk - Orunia Gdańsk - Orunia Gdańsk- Orunia 12 Gdańsk - Orunia Gdańsk - Orunia Gdańsk - Orunia Gdańsk - Orunia Gdańsk - Orunia 13 14 GD1G/00047580/3 Łąki 0.3217 01.10.201630.09.2019 Brak planu Brak planu GD1G/00047580/3 Łąki 0.3400 01.10.201630.09.2019 GD1G/00057885/4 Łąki 0.2267 01.10.201630.09.2019 Brak planu Brak planu GD1G/00057885/4 Łąki 0.2172 01.10.201630.09.2019 GD1G/00047580/3 Łąki 0.3435 01.10.201630.09.2019 Brak planu Brak planu GD1G/00047580/3 Łąki 0.1773 01.10.201630.09.2019 GD1G/00047580/3 Łąki 0.1627 01.10.201630.09.2019 Brak planu Brak planu Brak planu GD1G/00047580/3 Łąki 0.1505 01.10.201630.09.2019 GD1G/00047580/3 Łąki 0.1620 01.10.201630.09.2019 GD1G/00058507/8 Uprawy rolne 2.0851 01.10.201630.09.2019 0.1165 01.10.201630.09.2019 GD1G/00060547/7 Uprawy rolne Zieleń krajobrazowo – ekologiczna: międzywale FUNKCJE WYDZIELONE NIECHRONIONE – wiązka rurociągów surowcowoproduktowych łączących terminal naftowy w Porcie Północnym z bazą PERN w Gdańsku wraz ze strefą bezpieczeństwa 3 15 16 17 18 19 20 21 22 Gdańsk- Stogi 253 cz. dz. nr 14/4 Gdańsk- Stogi 253 cz. dz. nr 14/4 Gdańsk- Szadółki 48 dz. nr 150/8 Gdańsk- Szadółki 48 dz. nr 146 GD1G/00034133/1 Uprawy rolne 0.6600 01.10.201630.09.2019 Gdańsk - Szadółki 48 dz. nr 176/2 GD1G/00035765/7 Sadownictwo 0.4486 01.10.201630.09.2017 Gdańsk- Świbno 142 dz. nr 241 0.2030 01.10.201630.09.2018 Zabudowa mieszkaniowa ekstensywna Zabudowa mieszkaniowo – usługowa zawierająca strefę 22 i 33 Strefa produkcyjno – usługowa, składowa – bazy, magazyny, zaplecze portu rybackiego, administracja Gdańsk - Świbno 142 dz. nr 5 2.7400 01.10.201630.09.2019 Zieleń – strefa brzegowa Wisły Przekop, międzywale Gdańsk - Oliwa 10 cz. nr 52/2 1.5000 01.04.201631.03.2017- ZP62 teren zieleni urządzonej Gdańsk – Św. Wojciech 326 cz. dz. nr 1/2 7.5000 01.10.201630.09.2017 Teren zabudowy usługowej z zielenią towarzyszącą Gdańsk – Św. Wojciech 326 cz. dz. nr 2 10.6000 01.10.201630.09.2017 Teren zabudowy usługowej z zielenią towarzyszącą Gdańsk – Św. Wojciech 326 cz. dz. nr 3/6 GD1G/00053162/2 Uprawy rolne 4.8000 01.10.201630.09.2017 Teren zabudowy usługowej z zielenią towarzyszącą Gdańsk – Św. Wojciech 326 cz. dz. nr 29/2 GD1G/00053162/2 Uprawy rolne 2.5000 01.10.201630.09.2017 Teren zabudowy usługowej z zielenią towarzyszącą GD1G/00060547/7 GD1G/00060547/7 GD1G/00035765/7 GD1G/00034003/1 GD1G/00034003/1 GD1G/00016144/9 GD1G/00053162/2 GD1G/00053162/2 Uprawy rolne Łąki Uprawy rolne Łąki Łąki Pasieka Uprawy rolne Uprawy rolne 1.0000 01.10.201630.09.2017 Usługi 1.4000 01.10.201630.09.2017 Usługi 1.0218 01.10.201630.09.2019 Oświata 4 WARUNKI DZIERŻAWY: Pkt. I Poz. 3 – dz. nr 417, obr. 24 Na działce nr 417 ułożone są :wodociąg Ф200mm PE, kanalizacja sanitarna Ф0,2mm kam., rurociąg sanitarny tłoczny Ф500mm. Wyłącza się z dzierżawy teren w odległości 1,5 m od rurociągu tłocznego do zachodniej granicy działki od strony ulicy Bysewskiej, z uwagi na konieczność zapewnienia dostępu do tych urządzeń dla celów eksploatacyjnych. Obszar do wyłączenia z dzierżawy wskazany został na załączniku graficznym, który będzie załącznikiem do umowy. Na wydzielonym fragmencie działki, ze względu na posadowioną na nim infrastrukturę wodociągowo – kanalizacyjną, obowiązują następujące ograniczenia: - zakaz stawiania obiektów budowlanych, - zakaz utwardzania nawierzchni, - zakaz sadzenia drzew, - zakaz stawiania nierozbieralnego ogrodzenia utrudniającego dostęp do sieci, - zakaz dokonywania nasadzeń innych niż drzewa, - zakaz wykonywania wjazdu na przedmiotową działkę w obszarze wskazanym na załączniku graficznym. Sprzęt i maszyny rolnicze nie mogą poruszać się we wskazanym obszarze ochronnym. W przypadku konieczności wykorzystania ww. obszaru jako wjazdu, należy uprzednio projekt wjazdu uzgodnić w GIWK. Poz. 5 – dz. nr 105/3, obr. 24 W granicach działki ułożona jest instalacja. Poz. 6 – dz. nr 166/1, 166/2, 202, obr. 24 W granicach działek ułożona jest instalacja wodociągowa. Poz. 7 – dz. nr 143, 183, obr. 24 W granicach przedmiotowych działek zlokalizowana jest sieć wodociągowa Ф160mm PE wraz z hydrantem. 1. Dzierżawca zobowiązuje się nie realizować na obszarze strefy ochronnej powyższej sieci, tj. w pasie o szerokości 1,5m od skraju wodociągu: - żadnych obiektów budowlanych - nie dokonywać utwardzenia nawierzchni, - nie sadzić drzew - nie dokonywać innych niż drzewa nasadzeń - nie budować nierozbieralnego ogrodzenia utrudniającego dostęp do sieci, - nie wykonywać wjazdu na przedmiotową działkę w obszarze wskazanym na załączniku graficznym. W przypadku naruszenia postanowień niniejszego punktu Dzierżawcy nie będą przysługiwać roszczenia odszkodowawcze z tytułu poniesionych szkód. Ze względu na istniejące uzbrojenie terenu, sprzęt i maszyny rolnicze nie mogą poruszać się we wskazanym obszarze ochronnym. W przypadku konieczności wykorzystania ww. obszaru jako wjazdunależy uprzednio projekt wjazdu uzgodnić w GIWK. 2. Dzierżawca wyraża zgodę na nieodpłatne i nieograniczone w czasie wejście na teren dzierżawionej działki, w tym również pod nieobecność Dzierżawcy, w celu prowadzenia na wskazanej sieci wodociągowej wraz z hydrantem robót i czynności eksploatacyjnych, konserwacyjnych, naprawczych i modernizacyjnych oraz w celu usuwania awarii. Prawo wejścia przysługiwać będzie osobie posiadającej upoważnienie udzielone jej przez Gdańską Infrastrukturę Wodociągowo – Kanalizacyjną Sp. z o.o. w Gdańsku lub Saur Neptun Gdańsk S.A. z siedzibą w Gdańsku. 5 3. W przypadku naruszenia przez Dzierżawcę warunków dzierżawy, Wydzierżawiającemu przysługiwać będzie prawo do natychmiastowego rozwiązania umowy dzierżawy z winy Dzierżawcy. Przebieg sieci wodociągowej na terenie dz. nr 143, 183 oraz strefę ochronną przedstawia załącznik graficzny, który będzie załącznikiem do umowy. Poz. 8 – dz. nr 215, 219, 221, 196, 197, 189, obr. 24 W granicach działek ułożona jest instalacja wodociągowa. Poz. 10 – dz. nr 122/3, obr. 35 W granicach przedmiotowej działki zlokalizowane są dwa rurociągi tłoczne Ф0,5 stal oraz komora. Wyłącza się z dzierżawy teren w odległości 1,5 m od rurociągów tłocznych 1. Dzierżawca zobowiązuje się nie realizować na obszarze strefy ochronnej powyższych rurociągów: - żadnych obiektów budowlanych - nie dokonywać utwardzenia nawierzchni, - nie sadzić drzew - nie dokonywać nasadzeń - nie budować nierozbieralnego ogrodzenia utrudniającego dostępu do tych sieci, - nie wykonywać wjazdu na przedmiotową działkę w obszarze wskazanym na załączniku graficznym, który będzie załącznikiem do umowy. 2. Sprzęt i maszyny rolnicze nie mogą poruszać się w obszarze strefy ochronnej. 3. W przypadku konieczności wykorzystania obszaru wskazanego w załączniku jako wjazdu, należy uprzednio projekt wjazdu uzgodnić w GIWK. Poz. 12 – 31 - dz. nr 146/3, 151/3, 152/3, 157/3, 166/3, 169/3, 170/3, 173/3, 174/3, obr. 125 Dz. nr 146/3, 151/3, 152/3, 157/3, 166/3,169/3,170/3, 173/3, 174/3, obr. 125 położone są na terenie ochrony ścisłej ujęcia wody Lipce. Zgodnie z rozporządzeniem Dyrektora Regionalnego Zarządu Gospodarki Wodnej w Gdańsku nr 6/2004 z dnia 28 kwietnia 2004r.w sprawie ustanowienia strefy ochronnej ujęcia wód podziemnych Lipce w Gdańsku – Lipcach i gminie Pruszcz Gdański, województwo pomorskie zobowiązuje się dzierżawcę do przestrzegania zakazów i nakazów wynikających z w/w Rozporządzenia. W strefie zabrania się m.in.: - stosowania środków ochrony roślin i herbicydów oraz nawozów, - rolniczego wykorzystania ścieków i osadów ściekowych, - lokalizowania zakładów przemysłowych oraz ferm chowu i hodowli zwierząt, - grzebania zwłok zwierzęcych, - budowy studni kopanych. Ze względu na lokalizację działek w strefie ochrony ścisłej dopuszcza się użytkowanie przedmiotowych działek wyłącznie jako łąkę. Poz. 13 – dz. nr 274/4, obr. 300 W granicach przedmiotowej działki zlokalizowana jest sieć wodociągowa Ф90mm PE zakończona hydrantem podziemnym. Od sieci tej wyprowadzone są dwa przyłącza wodociągowe Ф 40mm PE do dz. nr 271/1 oraz dz. nr 271/3. 1. Dzierżawca zobowiązuje się nie realizować na obszarze strefy ochronnej powyższej sieci oraz przyłączy, tj. w pasie ochronnym o szerokości 1,5m od wodociągu: - żadnych obiektów budowlanych - nie dokonywać utwardzenia nawierzchni, - nie sadzić drzew - nie dokonywać nasadzeń - nie budować nierozbieralnego ogrodzenia utrudniającego dostępu do sieci, 6 - nie wykonywać wjazdu na przedmiotową działkę w obszarze wskazanym na załączniku graficznym, który będzie załącznikiem do umowy. W przypadku naruszenia postanowień niniejszego punktu Dzierżawcy nie będą przysługiwać roszczenia odszkodowawcze z tytułu poniesionych szkód. 2. Sprzęt oraz maszyny rolnicze nie mogą poruszać się w obszarze strefy ochronnej. 3. Dzierżawca wyraża zgodę na nieodpłatne i nieograniczone w czasie wejście na teren dzierżawionej działki, w tym również pod nieobecność Dzierżawcy, w celu prowadzenia na wskazanej sieci i przyłączach robót i czynności eksploatacyjnych, konserwacyjnych, naprawczych i modernizacyjnych oraz w celu usuwania awarii. Prawo wejścia przysługiwać będzie osobie posiadającej upoważnienie udzielone jej przez Gdańską Infrastrukturę Wodociągowo – Kanalizacyjną Sp. z o.o. w Gdańsku lub Saur Neptun Gdańsk S.A. z siedzibą w Gdańsku. 4. W przypadku naruszenia przez Dzierżawcę wskazanych powyżej ograniczeń, Wydzierżawiającemu przysługiwać będzie prawo do natychmiastowego rozwiązania umowy dzierżawy z winy Dzierżawcy. Poz. 17 – dz. nr 150/8, obr. 48 W granicach przedmiotowej działki zlokalizowana jest sieć wodociągowa Φ 110mm PE. 1. Dzierżawca zobowiązuje się nie realizować na obszarze strefy ochronnej powyższej sieci, tj. w pasie o szerokości 1,5m od skraju wodociągu: - żadnych obiektów budowlanych, - nie dokonywać utwardzenia nawierzchni, - nie sadzić drzew - nie dokonywać żadnych innych nasadzeń, - nie budować nierozbieralnego ogrodzenia utrudniającego dostęp do sieci. W przypadku naruszenia ww. postanowień Dzierżawcy nie będą przysługiwać roszczenia odszkodowawcze z tytułu poniesionych szkód. 2. Sprzęt i maszyny rolnicze nie mogą poruszać się we wskazanym obszarze ochronnym. W przypadku konieczności wykorzystania ww. obszaru jako wjazdu należy uprzednio projekt wjazdu uzgodnić w GIWK. 3. Dzierżawca wyraża zgodę na nieodpłatne i nieograniczone w czasie wejście na teren dzierżawionej działki, w tym również pod nieobecność Dzierżawcy, w celu prowadzenia na wskazanej sieci wodociągowej robót i czynności eksploatacyjnych, konserwacyjnych, naprawczych i modernizacyjnych oraz w celu usuwania awarii. Prawo wejścia przysługiwać będzie osobie posiadającej upoważnienie udzielone jej przez Gdańską Infrastrukturę Wodociągowo – Kanalizacyjną Sp. z o.o. w Gdańsku lub Saur Neptun Gdańsk S.A. z siedzibą w Gdańsku. W przypadku naruszenia przez Dzierżawcę ww. postanowień, Wydzierżawiającemu przysługiwać będzie prawo do natychmiastowego rozwiązania umowy dzierżawy z winy Dzierżawcy. Przebieg sieci wodociągowej oraz strefę ochronną przedstawia załącznik, który będzie załącznikiem do umowy. Poz. 19 – dz. nr 241, obr. 142 Zakazuje się stawiania przyczep kempingowych. Pkt. II 1. W razie występowania na nieruchomościach wskazanych w załączniku urządzeń melioracji wodnych typu rowy, stawy, drenaże, zastawki itp. na przyszłych dzierżawcach ciąży obowiązek ich utrzymania w należytym stanie. 2. Dzierżawca zobowiązany jest użytkować dzierżawiony teren w czystości i porządku, zapewnić wywożenie odpadów oraz utrzymywać grunt w dobrej kulturze rolnej, wywozić plony i nie pozostawiać ich na polu po okresie zbiorów, chronić glebę przed erozją, usuwać chwasty, 7 przeprowadzać wymagane prace polowe i postępować zgodnie z zasadami Dobrej Praktyki Rolniczej. 3. W przypadku powierzchni gruntu poniżej 0.5 ha, dzierżawca zobowiązany jest do wykazania, że posiada gospodarstwo rolne a przedmiotowy grunt poprawi zagospodarowanie nieruchomości rolnej należącej do dzierżawcy. 4. Przed zawarciem umowy, dzierżawca zobowiązany jest do złożenia oświadczenia o nie posiadaniu zaległości w zobowiązaniach finansowych w stosunku do Gminy Miasta Gdańska oraz GZNK SZB Pkt. III 1. Wysokość czynszu za dzierżawę nieruchomości gruntowych uzależnia się od klasy gruntu oraz od sposobu użytkowania. 2. Czynsz dzierżawny podlega waloryzacji o wskaźnik zmian cen nieruchomości ogłaszany przez Prezesa Głównego Urzędu Statycznego, w drodze obwieszczeń w Dzienniku Urzędowym Rzeczypospolitej Polskiej „Monitor Polski” za rok poprzedni. 3. Zwaloryzowana stawka czynszu dzierżawnego obowiązuje od dnia 1 kwietnia każdego następnego roku. 4. Czynsz płatny jest po otrzymaniu faktury, z dołu w terminie do dnia 31 grudnia każdego roku na rachunek wskazany na fakturze. 5. Zmiany stawek czynszu za dzierżawę nieruchomości gruntowych stanowiących własność Gminy Miasta Gdańska dokonane przez właściwy organ wchodzą w życie z dniem ich podjęcia, jeżeli obowiązująca stawka czynszu jest niższa od minimalnej. W takim przypadku obowiązuje stawka minimalna. Pkt. IV Minimalne stawki czynszu przedstawiają się następująco: Wysokość stawki czynszu dzierżawnego Lp. Przeznaczenie gruntu Klasa gruntu w zł za 1 ha/rocznie 1. 2. 4. 5. 1 Uprawy rolne I i II 316,23 III i IV 158,13 V i VI 82,24 nieużytki 50,60 2 Warzywnictwo I i II 379,46 Ogrodnictwo III i IV 252,99 Sadownictwo V i VI 126,48 nieużytki 50,60 3 Pasieki I i II 505,96 III i IV 379,46 V i VI 252,99 nieużytki 50,60 4 Chów i hodowla zwierząt z wyłączeniem ferm zwierząt futerkowych 1 264,89 5 Fermy zwierząt futerkowych 6 324,47 6 Uprawy rolne połączone z chowem I i II 758,95 zwierząt (działalność mieszana) III i IV 632,46 V i VI 505,96 nieużytki 50,60 7 Pozyskiwanie trzciny 505,96 8 8 Uprawa wierzby ekologicznej Uwagaw pierwszym roku dzierżawy, wysokość czynszu dzierżawnego podlega obniżeniu o 50% 9 Stawy i zbiorniki wodne wykorzystywane do hodowli i połowu ryb 1 517,88 82,24 1. Za dzierżawę nieruchomości gruntowych z przeznaczeniem pod intensywną produkcję rolną - szklarnie, tunele foliowe, czynsz dzierżawny określony w pozycji 2 tabeli, ulega podwyższeniu o 100%. 2. W razie korzystania z nieruchomości gruntowej po wygaśnięciu lub rozwiązaniu umowy dzierżawy ustala się wynagrodzenie za bezumowne korzystanie z gruntu w wysokości 300% należnego czynszu dzierżawnego. 3. Pozostałe szczegółowe warunki dzierżawy zostaną określone w umowie. 9