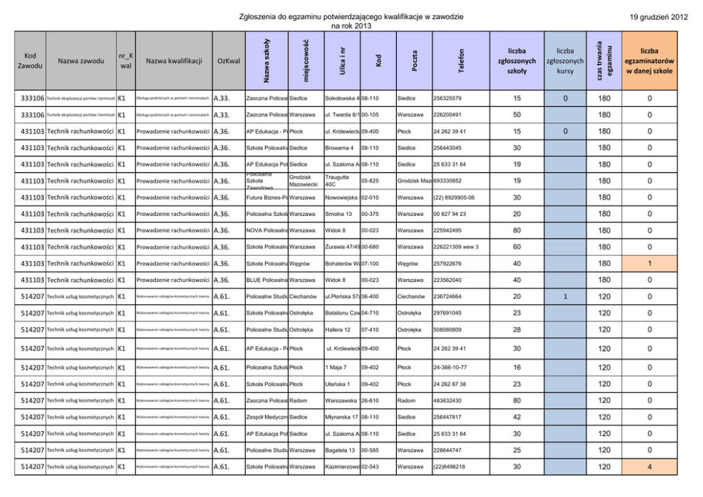
Zgłoszenia do egzaminu potwierdzającego kwalifikacje w zawodzie

Transkrypt

Zgłoszenia do egzaminu potwierdzającego kwalifikacje w zawodzie
19 grudzień 2012
liczba
zgłoszonych
szkoły
liczba
zgłoszonych
kursy
czas trwania
egzaminu
Telefon
OzKwal
Poczta
Nazwa kwalifikacji
Kod
nr_K
wal
Ulica i nr
Nazwa zawodu
miejscowość
Kod
Zawodu
Nazwa szkoły
Zgłoszenia do egzaminu potwierdzającego kwalifikacje w zawodzie
na rok 2013
liczba
egzaminatorów
w danej szkole
0
180
0
180
0
180
0
333106
Technik eksploatacji portów i terminali
K1
Obsługa podróżnych w portach i terminalach
A.33.
Zaoczna Policealna
Siedlce
Szkoła "COSINUS
Sokołowska
I"
4708-110
Siedlce
256325579
15
333106
Technik eksploatacji portów i terminali
K1
Obsługa podróżnych w portach i terminalach
A.33.
Zaoczna Policealana
Warszawa
Szkoła "Cosinus
ul. Twarda
I" w 8/12
Warszawie
00-105
Warszawa
226200491
50
431103 Technik rachunkowości K1
Prowadzenie rachunkowości
A.36.
AP Edukacja - Policealna
Płock Szkołaul.
Zawodowa
Królewiecka
w 09-400
Płocku
28/3
Płock
24 262 39 41
15
431103 Technik rachunkowości K1
Prowadzenie rachunkowości
A.36.
Szkoła PolicealnaSiedlce
Nr 6 dla Dorosłych
Browarna
w Centrum
4 08-110
Kształcenia Ustawicznego
Siedlce
w256443045
Siedlcach
30
180
0
431103 Technik rachunkowości K1
Prowadzenie rachunkowości
A.36.
AP Edukacja Policealna
SiedlceSzkoła Zawodowa
ul. Szaloma w
Asza
Siedlcach
08-110
2
Siedlce
19
180
0
Grodzisk Mazowiecki
693330852
19
180
0
Warszawa
(22) 8929905-06
30
180
0
25 633 31 64
0
431103 Technik rachunkowości K1
Prowadzenie rachunkowości
A.36.
Policealna
Szkoła
Zawodowa
431103 Technik rachunkowości K1
Prowadzenie rachunkowości
A.36.
Futura Biznes-Policealna
Warszawa
SzkołaNowowiejska
dla Dorosłych37a
02-010
431103 Technik rachunkowości K1
Prowadzenie rachunkowości
A.36.
Policealna SzkołaWarszawa
Dla DorosłychSmolna
"PROGRES"
13
w
00-375
Warszawie Warszawa
00 827 94 23
20
180
0
431103 Technik rachunkowości K1
Prowadzenie rachunkowości
A.36.
NOVA Policealna Warszawa
Szkoła Zawodowa
Widok 8
431103 Technik rachunkowości K1
Prowadzenie rachunkowości
A.36.
Szkoła PolicealnaWarszawa
GoWork.pl
431103 Technik rachunkowości K1
Prowadzenie rachunkowości
A.36.
431103 Technik rachunkowości K1
Prowadzenie rachunkowości
514207
Technik usług kosmetycznych
K1
514207
Technik usług kosmetycznych
514207
Grodzisk
Mazowiecki
Traugutta
40C
05-825
00-023
Warszawa
225942495
80
180
0
Żurawia 47/49 00-680
Warszawa
226221309 wew 3
60
180
0
Szkoła Polcealna Węgrów
dla dorosłych w
Bohaterów
WęgrowieWarszawy
07-100 10
Węgrów
257922676
40
180
1
A.36.
BLUE Policealna Szkoła
Warszawa
Zawodowa
Widok 8
Warszawa
223562040
40
180
0
Wykonywanie zabiegów kosmetycznych twarzy
A.61.
Policealne Studium
Ciechanów
Kosmetyczne
ul.Płońska
Zakładu Doskonalenia
57a06-400 Zawodowego
Ciechanów
w Warszawie
236724664
Centrum Kształcenia w Ciechanowie
20
120
0
K1
Wykonywanie zabiegów kosmetycznych twarzy
A.61.
Szkoła PolicealnaOstrołęka
Nr 2
Technik usług kosmetycznych
K1
Wykonywanie zabiegów kosmetycznych twarzy
A.61.
514207
Technik usług kosmetycznych
K1
Wykonywanie zabiegów kosmetycznych twarzy
514207
Technik usług kosmetycznych
K1
514207
Technik usług kosmetycznych
514207
00-023
1
Ostrołęka
297691045
23
120
0
Policealne Studium
Ostrołęka
Kosmetyczne
Hallera
dla Dorosłych
12
07-410
Ostrołęka
508080809
28
120
0
A.61.
AP Edukacja - Policealna
Płock Szkoła ul.
Zawodowa
Królewiecka
w 09-400
Płocku
28/3
Płock
24 262 39 41
30
120
0
Wykonywanie zabiegów kosmetycznych twarzy
A.61.
Policealna SzkołaPłock
Zawodowa dla1Dorosłych
Maja 7 Zakładu
09-402
Doskonalenia
PłockZawodowego
24-366-10-77
w Warszawie Centrum Kształcenia
16
120
0
K1
Wykonywanie zabiegów kosmetycznych twarzy
A.61.
Szkoła PolicealnaPłock
dla Dorosłych Ułańska
Zakładu 1Doskonalenia
09-402 Zawodowego
Płock w Płocku
24 262 87 38
23
120
0
Technik usług kosmetycznych
K1
Wykonywanie zabiegów kosmetycznych twarzy
A.61.
Zaoczna Policealna
Radom
Szkoła Cosinus
Warszawska 12
26-610
80
120
0
514207
Technik usług kosmetycznych
K1
Wykonywanie zabiegów kosmetycznych twarzy
A.61.
Zespół Medycznych
Siedlce
Szkół Policealnych
Młynarska
Medyczna
17 08-110
Szkoła Policealna
Siedlce dla Dorosłych
256447817
im. Prof.. Zbigniewa Religi42
w Siedlcach
120
0
514207
Technik usług kosmetycznych
K1
Wykonywanie zabiegów kosmetycznych twarzy
A.61.
AP Edukacja Policealna
SiedlceSzkoła Zawodowa
ul. Szaloma w
Asza
Siedlcach
08-110
2
514207
Technik usług kosmetycznych
K1
Wykonywanie zabiegów kosmetycznych twarzy
A.61.
514207
Technik usług kosmetycznych
K1
Wykonywanie zabiegów kosmetycznych twarzy
A.61.
Batalionu Czwartaków
04-710 4
Radom
483632430
25 633 31 64
30
120
0
Policealne Studium
Warszawa
Zawodowe "Business
Bagatela 13
School"
00-585
dla Dorosłych
Warszawa
228644747
25
120
0
Szkoła PolicealnaWarszawa
nr 50 dla Dorosłych
Kazimierzowska
02-543
60
(22)8496218
30
120
4
Siedlce
Warszawa
19 grudzień 2012
120
0
22 848 35 92
10
120
0
Warszawa
22 848 35 92
31
120
0
Warszawa
225942495
200
120
0
Zaoczna Policealna
Otwock
Szkoła Zawodowa
Andriollego
"Pascal"
8/205-400
w Otwocku
Otwock
222435552
60
120
0
A.61.
Policealna SzkołaWarszawa
Zawodowa Profesja
Nowy Świat
CKK w
33/13
Warszawie
00-029
Warszawa
22 692 87 12
1
120
0
Wykonywanie zabiegów kosmetycznych twarzy
A.61.
Policealna SzkołaWarszawa
Kosmetyki, Pielęgnacji
Podwale 13
Zdrowia
00-252
i Urody Zakładu
Warszawa
Doskonalenia
228317430
Zaodowego
9
120
0
K2
Wykonywanie zabiegów kosmetycznych ciała, dłoni i stóp
A.62.
Szkoła PolicealnaWarszawa
GoWork.pl
441403 Technik archiwista
K1
Organizacja i prowadzenie archiwum
A.63.
Zaoczna Policealna
Radom
Szkoła Cosinus
Warszawska 12
26-610
441403 Technik archiwista
K1
Organizacja i prowadzenie archiwum
A.63.
Policealna SzkołaWarszawa
Dla DorosłychSmolna
"PROGRES"
13
w
00-375
Warszawie Warszawa
421108
Technik usług pocztowych i finansowych
K2
Wykonywanie zadań rozdzielczo-ekspedycyjnych w usługach pocztowych i kurierskich
A.67.
Centrum Kształcenia
Mińsk
Zawodowego
Mazowiecki
Budowlana
i Ustawicznego
4 05-300
Mińsk Mazowiecki
257582908
37
421108
Technik usług pocztowych i finansowych
K2
Wykonywanie zadań rozdzielczo-ekspedycyjnych w usługach pocztowych i kurierskich
A.67.
Szkoła PolicealnaWarszawa
nr 36
Mieszka I 7 03-886
Warszawa
22 679-16-69
65
712905
Monter zabudowy i robót wykończeniowych w budownictwie
K1
Montaż systemów suchej zabudowy
B.05
Zespół Szkół Technicznych
Ciechanów
Kopernika 7
Ciechanów
23 672 53 75
14
712905
Monter zabudowy i robót wykończeniowych w budownictwie
K1
Montaż systemów suchej zabudowy
B.05
Zasadnicza Szkoła
Garwolin
Zawodowa Nr
II Armii
1 w Zespole
WojskaSzkół
08-400
Polskiego
Ponadgimnazjalnych
Garwolin
Nr25
2 CKP
682 21
im.00
Tadeusza Kościuszki 1
712905
Monter zabudowy i robót wykończeniowych w budownictwie
K1
Montaż systemów suchej zabudowy
B.05
Zasadnicza Szkoła
Góra
Zawodowa
KalwariaNr
Budowlanych
2
14
05-530
712905
Monter zabudowy i robót wykończeniowych w budownictwie
K1
Montaż systemów suchej zabudowy
B.05
Zasadnicza Szkoła
Płońsk
Zawodowa Nr
Sienkiewicza
1 w Zespole809-100
Szkół Nr 1 w Płońsku
Płońsk
712905
Monter zabudowy i robót wykończeniowych w budownictwie
K1
Montaż systemów suchej zabudowy
B.05
712905
Monter zabudowy i robót wykończeniowych w budownictwie
K1
Montaż systemów suchej zabudowy
712905
Monter zabudowy i robót wykończeniowych w budownictwie
K1
311104 Technik geodeta
Nazwa kwalifikacji
OzKwal
Kod
nr_K
wal
Telefon
7
Nazwa zawodu
Poczta
liczba
egzaminatorów
w danej szkole
Kod
Zawodu
Ulica i nr
czas trwania
egzaminu
miejscowość
Nazwa szkoły
Zgłoszenia do egzaminu potwierdzającego kwalifikacje w zawodzie
na rok 2013
514207
Technik usług kosmetycznych
K1
Wykonywanie zabiegów kosmetycznych twarzy
A.61.
Policealna SzkołaWarszawa
Kosmetyki, Pielęgnacji
Podwale 13
Zdrowia
00-252
i Urody Zakładu
Warszawa
Doskonalenia
228317430
Zawodowego
514207
Technik usług kosmetycznych
K1
Wykonywanie zabiegów kosmetycznych twarzy
A.61.
Prywatna Policealna
Warszawa
Szkoła Kosmetyczna
Puławska 14
dla dorosłych
02-515 Awangarda
Warszawa
514207
Technik usług kosmetycznych
K1
Wykonywanie zabiegów kosmetycznych twarzy
A.61.
Prywatna Policealna
Warszawa
Szkoła Awangarda
Puławska 14 02-515
514207
Technik usług kosmetycznych
K1
Wykonywanie zabiegów kosmetycznych twarzy
A.61.
NOVA Policealna Warszawa
Szkoła Zawodowa
Widok 8
514207
Technik usług kosmetycznych
K1
Wykonywanie zabiegów kosmetycznych twarzy
A.61.
514207
Technik usług kosmetycznych
K1
Wykonywanie zabiegów kosmetycznych twarzy
514207
Technik usług kosmetycznych
K1
514207
Technik usług kosmetycznych
00-023
liczba
zgłoszonych
szkoły
liczba
zgłoszonych
kursy
110
0
120
0
483632430
63
0
180
0
00 827 94 23
15
180
0
120
0
120
0
180
0
180
0
10
180
0
15
180
0
I Zasadnicza Szkoła
Pionki
Zawodowa Aleja
w Centrum
Jana Pawła
Kształcenia
26-670
II 7 Zawodowego
Pionki i Ustawicznego
486121524
7
180
0
B.05
Zasadnicza Szkoła
Żyrardów
Zawodowa wBohaterów
Zespole Szkół
Warszawy
96-300
nr 1 w 4Żyrardowie
Żyrardów
1
180
0
Montaż systemów suchej zabudowy
B.05
Zasadnicza Szkoła
Siedlce
Zawodowa Nr
Brzeska
5 w Zespole
95 Szkół
08-102Ponadgimnazjalnych
Siedlce
Nr025-644-61-24
5 im. gen. Władysława Sikorskiego
19
180
0
K1
Wykonywanie pomiarów sytuacyjnych i wysokościowych oraz opracowywanie wyników pomiarów
B.34.
AP Edukacja - Policealna
Płock Szkoła ul.
Zawodowa
Królewiecka
w 09-400
Płocku
28/3
Płock
24 262 39 41
5
180
0
311104 Technik geodeta
K1
Wykonywanie pomiarów sytuacyjnych i wysokościowych oraz opracowywanie wyników pomiarów
B.34.
AP Edukacja Policealna
SiedlceSzkoła Zawodowa
ul. Szaloma w
Asza
Siedlcach
08-110
2
Siedlce
25 633 31 64
28
180
0
311104 Technik geodeta
K1
Wykonywanie pomiarów sytuacyjnych i wysokościowych oraz opracowywanie wyników pomiarów
B.34.
Zaoczna Policealana
Warszawa
Szkoła "Cosinus
ul. Twarda
I" w 8/12
Warszawie
00-105
Warszawa
226200491
70
180
0
311104 Technik geodeta
K1
Wykonywanie pomiarów sytuacyjnych i wysokościowych oraz opracowywanie wyników pomiarów
B.34.
NOVA Policealna Warszawa
Szkoła Zawodowa
Widok 8
Warszawa
225942495
20
180
0
Żurawia 47/49 00-680
06-400
00-023
Warszawa
226221309 wew 3
Radom
Góra Kalwaria 22 727-32-36
23 662 29 87
468554081
0
0
0
19 grudzień 2012
liczba
zgłoszonych
szkoły
liczba
zgłoszonych
kursy
czas trwania
egzaminu
Telefon
OzKwal
Poczta
Nazwa kwalifikacji
Kod
nr_K
wal
Ulica i nr
Nazwa zawodu
miejscowość
Kod
Zawodu
Nazwa szkoły
Zgłoszenia do egzaminu potwierdzającego kwalifikacje w zawodzie
na rok 2013
liczba
egzaminatorów
w danej szkole
30
38
150
0
12
150
0
351203 Technik informatyk
K1
Montaż i eksploatacja komputerów osobistych oraz urządzeń peryferyjnych
E.12.
Szkoła PolicealnaBaranowo
351203 Technik informatyk
K1
Montaż i eksploatacja komputerów osobistych oraz urządzeń peryferyjnych
E.12.
Szkoła PolicealnaKonstancin-Jeziorna
Gąsiorowskiego
05-510
12/14
351203 Technik informatyk
K1
Montaż i eksploatacja komputerów osobistych oraz urządzeń peryferyjnych
E.12.
Policealna SzkołaOstrołęka
Centrum Nauki
Gorbatowa
i Biznesu „Żak”
14 07-410
w Ostrołęce Ostrołęka
297603408
50
150
0
351203 Technik informatyk
K1
Montaż i eksploatacja komputerów osobistych oraz urządzeń peryferyjnych
E.12.
Policealna SzkołaPiaseczno
Centrum Nauki
ul.i Biznesu
Powstańców
"Żak"
05-500
Warszawy
w Piasecznie
21Piaseczno
227267473
15
150
0
351203 Technik informatyk
K1
Montaż i eksploatacja komputerów osobistych oraz urządzeń peryferyjnych
E.12.
AP Edukacja - Policealna
Płock Szkoła ul.
Zawodowa
Królewiecka
w 09-400
Płocku
28/3
Płock
24 262 39 41
18
150
0
351203 Technik informatyk
K1
Montaż i eksploatacja komputerów osobistych oraz urządzeń peryferyjnych
E.12.
Zaoczna Policealna
Radom
Szkoła Informatyki
Sadkowska
"Cosinus"
1926-600
Radom
483632430
49
150
0
351203 Technik informatyk
K1
Montaż i eksploatacja komputerów osobistych oraz urządzeń peryferyjnych
E.12.
Szkoła PolicealnaSiedlce
Nr 6 dla Dorosłych
Browarna
w Centrum
4 08-110
Kształcenia Ustawicznego
Siedlce
w256443045
Siedlcach
30
150
0
351203 Technik informatyk
K1
Montaż i eksploatacja komputerów osobistych oraz urządzeń peryferyjnych
E.12.
Zaoczna Policealna
Siedlce
Szkoła "COSINUS
Sokołowska
I"
4708-110
Siedlce
256325579
20
150
0
351203 Technik informatyk
K1
Montaż i eksploatacja komputerów osobistych oraz urządzeń peryferyjnych
E.12.
AP Edukacja Policealna
SiedlceSzkoła Zawodowa
ul. Szaloma w
Asza
Siedlcach
08-110
2
Siedlce
25 633 31 64
20
150
0
351203 Technik informatyk
K1
Montaż i eksploatacja komputerów osobistych oraz urządzeń peryferyjnych
E.12.
Szkoła PolicealnaSolec
w Solcu
nadnad
Wisłą
Wisłą
Łoteckiego 24 27-320
Solec nad Wisłą
510594860
15
150
0
351203 Technik informatyk
K1
Montaż i eksploatacja komputerów osobistych oraz urządzeń peryferyjnych
E.12.
Policealna SzkołaWarszawa
nr 40
00-842
Warszawa
22 620 62 85
18
150
0
351203 Technik informatyk
K1
Montaż i eksploatacja komputerów osobistych oraz urządzeń peryferyjnych
E.12.
Futura Inżynieria -Warszawa
Policealna Szkoła
Nowowiejska
dla Dorosłych
37a
02-010
Warszawa
(22( 8929905-06
30
150
0
351203 Technik informatyk
K1
Montaż i eksploatacja komputerów osobistych oraz urządzeń peryferyjnych
E.12.
Zaoczna Policealna
Warszawa
Szkoła Informatyki
ul. Łucka"CosinusIII"
13 00-842
Warszawa
22 620 04 91
120
150
0
351203 Technik informatyk
K1
Montaż i eksploatacja komputerów osobistych oraz urządzeń peryferyjnych
E.12.
NOVA Policealna Warszawa
Szkoła Zawodowa
Widok 8
00-023
Warszawa
225942495
180
150
0
351203 Technik informatyk
K1
Montaż i eksploatacja komputerów osobistych oraz urządzeń peryferyjnych
E.12.
BLUE Policealna Szkoła
Warszawa
Zawodowa
Widok 8
00-023
Warszawa
223562040
50
150
0
351203 Technik informatyk
K1
Montaż i eksploatacja komputerów osobistych oraz urządzeń peryferyjnych
E.12.
Policealne Studium
Mława
Zawodowe wLelewela
Mławie 7
06-500
Mława
236542422
38
150
0
311513
Technik pojazdów samochodowych
K1
Diagnozowanie i naprawa podzespołów i zespołów pojazdów samochodowych
M.18.
AP Edukacja - Policealna
Płock Szkoła ul.
Zawodowa
Królewiecka
w 09-400
Płocku
28/3
Płock
24 262 39 41
8
120
0
311513
Technik pojazdów samochodowych
K1
Diagnozowanie i naprawa podzespołów i zespołów pojazdów samochodowych
M.18.
AP Edukacja Policealna
SiedlceSzkoła Zawodowa
ul. Szaloma w
Asza
Siedlcach
08-110
2
Siedlce
25 633 31 64
21
120
0
324002 Technik weterynarii
K1
Prowadzenie chowu, hodowli i inseminacji zwierząt
R.09
Szkoła PolicealnaCiechanów
Centrum Szkoleniowego
17 StyczniaWIEDZA
6606-400
w Ciechanowie
Ciechanów
607-846-491
20
0
120
0
343203 Florysta
K1
Wykonywanie kompozycji florystycznych
R.26.
Policealna SzkołaPiaseczno
Centrum Nauki
ul.i Biznesu
Powstańców
"Żak"
05-500
Warszawy
w Piasecznie
21Piaseczno
227267473
12
0
120
0
343203 Florysta
K1
Wykonywanie kompozycji florystycznych
R.26.
AP Edukacja Policealna
SiedlceSzkoła Zawodowa
ul. Szaloma w
Asza
Siedlcach
08-110
2
Siedlce
25 633 31 64
30
120
0
343203 Florysta
K1
Wykonywanie kompozycji florystycznych
R.26.
Zaoczna Policealana
Warszawa
Szkoła "Cosinus
ul. Twarda
I" w 8/12
Warszawie
00-105
Warszawa
226200491
70
120
0
343203 Florysta
K1
Wykonywanie kompozycji florystycznych
R.26.
Policealna SzkołaMława
Rolnicza "Żak"Sienkiewicza 406-500
Mława
236552641
30
120
0
Niepodległości06-320
27
Łucka 17/23
Baranowo
297613913
Konstancin-Jeziorna
22 754 71 75
0
19 grudzień 2012
120
0
50
120
0
48 340 07 51
7
120
0
Warszawa
22 692 87 12
20
120
0
Siedlce
256443242
30
120
0
Futura Transport iWarszawa
Turystyka - Policealna
Nowowiejska
Szkoła
37a
02-010
dla DoroslychWarszawa
(22) 8929905-06
20
150
0
T.07
NOVA Policealna Warszawa
Szkoła Zawodowa
Widok 8
00-023
Warszawa
225942495
40
150
0
Świadczenie usług opiekuńczych osobie chorej i niesamodzielnej
Z.04
Zaoczna Szkoła Policealna
Lelis
w Lelisie
Szkolna 51
07-402
Lelis
29 761-10-27
23
120
0
K1
Świadczenie usług opiekuńczych osobie chorej i niesamodzielnej
Z.04
AP Edukacja - Policealna
Płock SzkołaKrólewiecka
Medyczna w28/3
Płocku
09-400
Płock
24 262 39 41
30
120
0
532102 Opiekun medyczny
K1
Świadczenie usług opiekuńczych osobie chorej i niesamodzielnej
Z.04
Szkoła PolicealnaZabrodzie
w Zespole Szkół
Wł. im.
St. Reymonta
Wł. St. Reymonta
07-230
47
Zabrodzie
(29)7571283
25
120
0
532102 Opiekun medyczny
K1
Świadczenie usług opiekuńczych osobie chorej i niesamodzielnej
Z.04
AP Edukacja Policealna
Warszawa
Szkoła Medyczna
Górnośląska
w Warszawie
3100-432
Warszawa
604407705
30
120
0
Zespół
Medycznych
Szkół
Medyczna
Nazwa kwalifikacji
OzKwal
Kod
nr_K
wal
Telefon
50
Nazwa zawodu
Poczta
liczba
egzaminatorów
w danej szkole
Kod
Zawodu
Ulica i nr
czas trwania
egzaminu
miejscowość
Nazwa szkoły
Zgłoszenia do egzaminu potwierdzającego kwalifikacje w zawodzie
na rok 2013
343203 Florysta
K1
Wykonywanie kompozycji florystycznych
R.26.
Policealna SzkołaRadom
Centrum Nauki
Żeromskiego
i Biznesu Żak
36
26-600
w Radomiu
343203 Florysta
K1
Wykonywanie kompozycji florystycznych
R.26.
POLICEALNA SZKOŁA
SIEDLCE
CENTRUM
KILIŃSKIEGO
NAUKI I 08-110
16
BIZNESU ,,ŻAK''
SIEDLCE
W SIEDLCACH
66797793
343203 Florysta
K1
Wykonywanie kompozycji florystycznych
R.26.
AP Edukacja Policealna
RadomSzkoła Zawodowa
ul. Kelles-Krauza
w Radomiu
26-600
36/2
Radom
343203 Florysta
K1
Wykonywanie kompozycji florystycznych
R.26.
Policealna SzkołaWarszawa
Zawodowa Profesja
Nowy Świat
CKK w
33/13
Warszawie
00-029
343203 Florysta
K1
Wykonywanie kompozycji florystycznych
R.26.
Policealna SzkołaSiedlce
Edicus w Siedlcach
Plac Tysiąclecia
08-110
23
515203 Technik turystyki wiejskiej K1
Prowadzenie działalności turystycznej na obszarach wiejskich
T.07
515203 Technik turystyki wiejskiej K1
Prowadzenie działalności turystycznej na obszarach wiejskich
532102 Opiekun medyczny
K1
532102 Opiekun medyczny
Radom
48 360 14 62
liczba
zgłoszonych
szkoły
liczba
zgłoszonych
kursy
0
20
Przasnysz
Szpitalna 10
06-300
Przasnysz
(29) 756-30-51
35
120
1
Warszawa
Świętojerska
00-236
9
Warszawa
022 8317814
55
120
9
AP Edukacja Policealna
RadomSzkoła Medyczna
ul. Kelles-Krauza
26-600
36/2
Radom
48 340 07 51
10
120
0
Z.04
Zespół Medycznych
Radom
Szkół Policealnych
ul.Kelles-Krauza
w Radomiu
26-600
3
Radom
48 362-13-31
70
120
5
Świadczenie usług opiekuńczych osobie chorej i niesamodzielnej
Z.04
Powiatowe Centrum
Nowa
Kształcenia
Wieś Nowa
Ustawicznego
Wieś 70B
0i 5-660
PraktycznegoNowa
w Grójcu
Wieśz siedziba
48 667w34
Nowej
33 Wsi
12
120
1
K1
Świadczenie usług opiekuńczych osobie chorej i niesamodzielnej
Z.04
Zespół Medycznych
Płock
Szkół Policealnych
Al. Marszałka J.09-407
Piłsudskiego Płock
8
24 262 59 65
30
120
4
532102 Opiekun medyczny
K1
Świadczenie usług opiekuńczych osobie chorej i niesamodzielnej
Z.04
Prywatna Szkoła Policealna
Sochaczewdla Dorosłych
15 Sierpnianr44
1 96-500
Sochaczew
468621412
20
120
0
532102 Opiekun medyczny
K1
Świadczenie usług opiekuńczych osobie chorej i niesamodzielnej
Z.04
Szkołą PolicealnaOstrówek
dla Dorosłych Fabryczna
TWP
57 07-132
Ostrówek
692590341
24
120
0
532102 Opiekun medyczny
K1
Świadczenie usług opiekuńczych osobie chorej i niesamodzielnej
Z.04
Zespół Medycznych
Otwock
Szkół Policealnych
Andriollego
w Otwocku
90 05-400
MedycznaOtwock
Szkoła dla Dorosłych
22 779-50-89
w Otwocku
44
120
3
532102 Opiekun medyczny
K1
Świadczenie usług opiekuńczych osobie chorej i niesamodzielnej
Z.04
Szkoła PolicealnaŁoteckiego
w Solcu nad
24Wisłą
27-320
483761202
15
120
0
532102 Opiekun medyczny
K1
Świadczenie usług opiekuńczych osobie chorej i niesamodzielnej
Z.04
Centrum EdukacjiWarszawa
manager
225177740
20
120
0
341204 Opiekunka środowiskowa K1
Świadczenie usług opiekuńczych
Z.05
Policealna SzkołaOstrołęka
Centrum Nauki
Gorbatowa
i Biznesu „Żak”
14 07-410
w Ostrołęce Ostrołęka
297603408
40
180
0
532102 Opiekun medyczny
K1
Świadczenie usług opiekuńczych osobie chorej i niesamodzielnej
Z.04
532102 Opiekun medyczny
K1
Świadczenie usług opiekuńczych osobie chorej i niesamodzielnej
Z.04
Szkoła
Policealna dla
532102 Opiekun medyczny
K1
Świadczenie usług opiekuńczych osobie chorej i niesamodzielnej
Z.04
532102 Opiekun medyczny
K1
Świadczenie usług opiekuńczych osobie chorej i niesamodzielnej
532102 Opiekun medyczny
K1
532102 Opiekun medyczny
Solec nad Wisłą
Anita Madej
Aleja Stanów Zjednoczonych
04-028
Warszawa
51
0
19 grudzień 2012
Świadczenie usług opiekuńczych
Z.05
Policealna SzkołaPiaseczno
Centrum Nauki
ul.i Biznesu
Powstańców
"Żak"
05-500
Warszawy
w Piasecznie
21Piaseczno
227267473
14
180
0
341204 Opiekunka środowiskowa K1
Świadczenie usług opiekuńczych
Z.05
NOVA Policealna Warszawa
Szkoła Zawodowa
Widok 8
00-023
Warszawa
225942495
30
180
0
341204 Opiekunka środowiskowa K1
Świadczenie usług opiekuńczych
Z.05
BLUE Policealna Szkoła
Warszawa
Zawodowa
Widok 8
00-023
Warszawa
223562040
20
180
0
341204 Opiekunka środowiskowa K1
Świadczenie usług opiekuńczych
Z.05
ZNSiPO Policealna
Nowy
Szkoła
Dwór
Niepubliczna
Mazowiecki
Chemików 6
05-100
Nowy Dwór Mazowiecki
227757501
15
180
0
341204 Opiekunka środowiskowa K1
Świadczenie usług opiekuńczych
Z.05
Policealna SzkołaRadom
Centrum Nauki
Żeromskiego
i Biznesu Żak
36
26-600
w Radomiu
Radom
60
180
0
341204 Opiekunka środowiskowa K1
Świadczenie usług opiekuńczych
Z.05
POLICEALNA SZKOŁA
SIEDLCE
CENTRUM
KILIŃSKIEGO
NAUKI I 08-110
16
BIZNESU ,,ŻAK''
SIEDLCE
W SIEDLCACH
66797793
50
180
0
341204 Opiekunka środowiskowa K1
Świadczenie usług opiekuńczych
Z.05
Poilcealna SzkołaLegionowo
Centrum Nauki
Jagiellońska
i Biznesu "Żak"
8A05-120
Legionowo
224358896
41
180
0
341201
Asystent osoby niepełnosprawnej
K1
Udzielanie pomocy i organizowanie wsparcia osobie niepełnosprawnej
Z.08
Collegium, Studium
Warszawa
Polityki Społecznej
Stawki 10
w Warszawie
00-193
Warszawa
22 849 63 02
14
180
1
341201
Asystent osoby niepełnosprawnej
K1
Udzielanie pomocy i organizowanie wsparcia osobie niepełnosprawnej
Z.08
Policealne Studium
Siedlce
Menedżerskie
Czesława
Novum Dylewicza
08-11010
Siedlce
256329131
10
180
0
341201
Asystent osoby niepełnosprawnej
K1
Udzielanie pomocy i organizowanie wsparcia osobie niepełnosprawnej
Z.08
Zespół Medycznych
Siedlce
Szkół Policealnych
Młynarska
Medyczna
17 08-110
Szkoła Policelna
Siedlce
dla Dorosłych
256447817
25
180
1
325101
Asystentka stomatologiczna
K1
Asystowanie lekarzowi dentyście i utrzymanie gabinetu w gotowości do pracy
Z.15.
AP Edukacja - Policealna
Płock SzkołaKrólewiecka
Medyczna w28/3
Płocku
09-400
Płock
24 262 39 41
120
0
325101
Asystentka stomatologiczna
K1
Asystowanie lekarzowi dentyście i utrzymanie gabinetu w gotowości do pracy
Z.15.
Szkoła PolicealnaWarszawa
GoWork.pl
Warszawa
226221309 wew 3
30
120
0
325101
Asystentka stomatologiczna
K1
Asystowanie lekarzowi dentyście i utrzymanie gabinetu w gotowości do pracy
Z.15.
Policealna SzkołaWarszawa
Ochrony Zdrowia
Saska
"PROMED-OMEGA"
78
03-914
Warszawa
226170775
19
120
0
325101
Asystentka stomatologiczna
K1
Asystowanie lekarzowi dentyście i utrzymanie gabinetu w gotowości do pracy
Z.15.
Centrum Kształcenia
Warszawa
w Niektórych
Targowa
Zawodach
86 Medycznych
03-448
w Warszawie
Warszawa
602514352
10
120
0
325101
Asystentka stomatologiczna
K1
Asystowanie lekarzowi dentyście i utrzymanie gabinetu w gotowości do pracy
Z.15.
Niepubliczna Szkoła
Radom
Policealna dla
Limanowskiego
Dorosłych w26-600
Radomiu
26/30
Radom
(48) 363-01-02
33
120
0
325101
Asystentka stomatologiczna
K1
Asystowanie lekarzowi dentyście i utrzymanie gabinetu w gotowości do pracy
Z.15.
Policealna Warszawska
Warszawa
Szkoła Medyczna
ul. Kawęczyńska
03-772
2
Warszawa
22 243 13 60
28
120
0
321104
Technik sterylizacji medycznej
K1
Wykonywanie dezynfekcji i sterylizacji medycznej
Z.20.
AP Edukacja - Policealna
Płock SzkołaKrólewiecka
Medyczna w28/3
Płocku
09-400
Płock
24 262 39 41
8
120
0
321104
Technik sterylizacji medycznej
K1
Wykonywanie dezynfekcji i sterylizacji medycznej
Z.20.
Niepubliczna Szkoła
Radom
Policealna dla
Limanowskiego
Dorosłych w26-600
Radomiu
26/30
Radom
(48) 363-01-02
120
0
311919 Technik pożarnictwa K1
Wykonywanie działań ratowniczych
Z.22.
120
0
Nazwa kwalifikacji
OzKwal
Kod
nr_K
wal
Żurawia 47/49 00-680
Telefon
341204 Opiekunka środowiskowa K1
Nazwa zawodu
Poczta
liczba
egzaminatorów
w danej szkole
Kod
Zawodu
Ulica i nr
czas trwania
egzaminu
miejscowość
Nazwa szkoły
Zgłoszenia do egzaminu potwierdzającego kwalifikacje w zawodzie
na rok 2013
48 360 14 62
liczba
zgłoszonych
szkoły
8
liczba
zgłoszonych
kursy
0
0
0
11
3575
59