e) f) g - Magdymatyka

Transkrypt

e) f) g - Magdymatyka
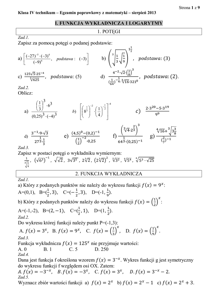
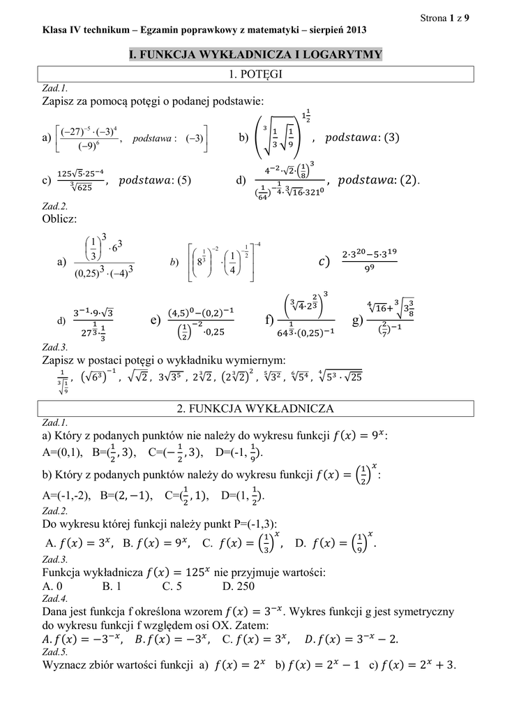
Strona 1 z 9
Klasa IV technikum – Egzamin poprawkowy z matematyki – sierpień 2013
I. FUNKCJA WYKŁADNICZA I LOGARYTMY
1. POTĘGI
Zad.1.
Zapisz za pomocą potęgi o podanej podstawie:
 (27)5  (3)4
,
(9)6

a) 
√ ∙
c)

podstawa : (3)

,
√
,
b)
: (5)
: (3)
∙√ ∙
d)
(
)
∙√
,
: (2).
∙
Zad.2.
Oblicz:
3
1
3
  6
 3
a)
(0,25)3  (4)3
∙ ∙√
d)
1
 
 1  2
2
1


b)  8 3     
   4  


e)
( , )
4
)
∙
√ ∙
( , )
√
f)
g)
∙ ,
∙
∙
∙( ,
( )
)
Zad.3.
Zapisz w postaci potęgi o wykładniku wymiernym:
,
√6
,
√2 , 3√3 , 2√2 , 2√2
, √3 , √5 ,
5 ∙ √25
2. FUNKCJA WYKŁADNICZA
Zad.1.
a) Który z podanych punktów nie należy do wykresu funkcji ( ) = 9 :
A=(0,1), B=( , 3), C=(− , 3), D=(-1, ).
b) Który z podanych punktów należy do wykresu funkcji ( ) =
A=(-1,-2), B=(2, −1),
C=( , 1),
:
D=(1, ).
Zad.2.
Do wykresu której funkcji należy punkt P=(-1,3):
A. ( ) = 3 , B. ( ) = 9 ,
C.
( )=
,
D.
( )=
.
Zad.3.
Funkcja wykładnicza ( ) = 125 nie przyjmuje wartości:
A. 0
B. 1
C. 5
D. 250
Zad.4.
Dana jest funkcja f określona wzorem ( ) = 3 . Wykres funkcji g jest symetryczny
do wykresu funkcji f względem osi OX. Zatem:
. ( ) = −3 ,
. ( ) = −3 , C. ( ) = 3 ,
. ( ) = 3 − 2.
Zad.5.
Wyznacz zbiór wartości funkcji a)
( )=2
b) ( ) = 2 − 1 c) ( ) = 2 + 3.
Strona 2 z 9
Klasa IV technikum – Egzamin poprawkowy z matematyki – sierpień 2013
Zad.6.
Narysuj wykres funkcji i podaj jej zbiór wartości:
( ) = 2 − 3 b) ( ) = 2 + 1 c) ( ) =
a)
.
Zad.7.
Narysuj wykres funkcji i omów jej własności:
( ) = 3 − 2 b) ( ) = 3
a)
c) ( ) =
+ 2.
3. LOGARYTMY
Zad.1.
Oblicz: 1) log 27
2) log
3) log √ 125
4) log
√
Zad.2.
1) log
Oblicz x:
= √3
2) log 5 =
3) log
= −2
4) log
= −7
Zad.3.
Oblicz:
a) log 9 + log 8
d) 2 log 3 + log 4
b) log 64 − log 125
e) log 4 + log 8
c) log √3 + log 0,5
f) 6 log 2 − 3 log 4
i)
g)
3 log 2 − log 16
h) log
log
log 16
j)
2 log 3 + 3 log 2
k) 3 log 4 − 4 log 2
log
log log 16
,
l)
√
m)
n) 9
p) log 8 + log 2
r)
log 5 − log 125
t) 125
u)
2 log 6 − log 4
o)
8
s) 2 ∙ log 9
Zad.4.
Oblicz zakładając, że log 3 = :
a) log 12
b) log 18
c) log 1,5
Zad.5.
Oblicz:
a) log 3 ∙ log 2
d)
∙
b) log 9 ∙ log
e)
8
c) log
,
4 ∙ log √ 2
∙
II. RACHUNEK PRAWDOPODOBIEŃSTWA I STATYSTYKA
1. RACHUNEK PRAWDOPODOBIEŃSTWA
Zad.1.
Ile jest wszystkich liczb dwucyfrowych o różnych cyfrach.
Zad.2.
Spotkało się kilku znajomych. Każdy witał się z każdym przez podanie ręki. Nastąpiło 10
powitań. Ilu znajomych się spotkało?
Zad.3.
Rzucamy
a) jeden raz monetą symetryczną,
b) dwa razy monetą symetryczną,
c) jeden raz symetryczną kostką do gry,
d) dwa razy symetryczną kostką do gry.
Opisz zbiór zdarzeń elementarnych i oblicz jego moc.
Strona 3 z 9
Klasa IV technikum – Egzamin poprawkowy z matematyki – sierpień 2013
Zad.4.
Ze zbioru cyfr {1,2,3,4,5}
a) wybieramy losowo jedną,
b) losujemy kolejno dwa razy po jednej cyfrze ze zwracaniem,
c) losujemy kolejno dwa razy po jednej cyfrze bez zwracania,
Opisz zbiór zdarzeń elementarnych i oblicz jego moc.
Zad.5.
Spośród liczb całkowitych od 4 do 18 włącznie wybrano losowo jedną.
Opisz zbiór zdarzeń elementarnych oraz zdarzenia polegające na wylosowaniu liczby:
a) parzystej,
b) podzielnej przez 3,
c) większej od 11,
d) nieparzystej lub mniejszej od 10,
e) nieparzystej i większej od 12.
Wyznacz B’, AB, DE, C\B
Zad.6.
Z talii 52 kart losujemy jedną kartę. Opisz zbiór zdarzeń elementarnych oraz zdarzenia:
A oznacza zdarzenie polegające na wylosowaniu damy,
B oznacza zdarzenie polegające na wylosowaniu karty koloru czarnego,
C oznacza zdarzenie polegające na wylosowaniu króla karo,
D oznacza zdarzenie polegające na wylosowaniu figury.
Które z podanych par zdarzeń wykluczają się: A i B, A i C, B i C czy C i D?
Zad.7.
Oblicz prawdopodobieństwo, że przy rzucie czterema monetami otrzymamy co najmniej dwa orły.
Zad.8.
Rzucamy dwiema sześciennymi kostkami do gry. Oblicz prawdopodobieństwo tego, że suma
wyrzuconych oczek wyniesie co najwyżej 8.
Zad.9.
Ze zbioru cyfr {1,2,3, ...9} losujemy dwa razy po jednej bez zwracania. Oblicz prawdopodobieństwo, że
wyjęte w kolejności losowania cyfry utworzą liczbę parzystą.
Zad.10.
Z talii 52 kart losujemy jedną. Oblicz prawdopodobieństwo tego, że wylosowano króla lub
kiera.
Zad.11.
Spośród liczb dwucyfrowych wybrano dwa razy po jednej bez zwracania. Oblicz
prawdopodobieństwo, że dwa razy wybrano liczby parzyste.
Zad.12.
Z urny, w której jest 5 kul czerwonych i 7 czarnych wyjęto dwa razy po jednej kuli bez
zwracania. Oblicz prawdopodobieństwo, że wyjęto kule w różnych kolorach.
Zad.13.
Wykonujemy jeden rzut kostką symetryczną. Oblicz prawdopodobieństwo zdarzenia:
A – wypadły mniej niż trzy oczka
B – wypadły co najmniej cztery oczka
C – liczba wyrzuconych oczek jest podzielna przez 3
D - wypadły co najwyżej 4 oczka
Zad.14.
Spośród liczb całkowitych od 7 do 21 włącznie wybrano losowo jedną. Jakie jest
prawdopodobieństwo tego, że będzie to liczba:
a) nieparzysta,
b) podzielna przez 4,
c) mniejsza od 13,
d) parzysta lub mniejsza od 12,
Strona 4 z 9
Klasa IV technikum – Egzamin poprawkowy z matematyki – sierpień 2013
e) parzysta i większa od 16?
Zad.15.
Ze zbioru liczb {1,2,3,4,5,6,7,8} wybieramy losowo dwie liczby. Oblicz prawdopodobieństwo
otrzymania dwóch liczb, których iloczyn jest większy od 12.
Zad.16.
Rzucamy dwa razy symetryczną kostką do gry. Oblicz prawdopodobieństwo otrzymania:
a) sumy oczek większej od 5,
b) iloczynu oczek mniejszego od 10,
c) za każdym razem parzystej liczby oczek,
d) za drugim razem liczby nieparzystej.
Zad.17.
Z talii 52 kart losujemy jedną kartę.
a) Oblicz prawdopodobieństwo zdarzeń:
A – losowo wybrana karta jest pikiem,
B – losowo wybrana karta jest asem.
b) Oblicz prawdopodobieństwo zdarzeń: AB oraz AB.
Zad.18.
Rzucamy dwukrotnie sześcienną kostką do gry. Oblicz prawdopodobieństwo zdarzenia, że na
każdej kostce wypadnie co najmniej 5 oczek.
Zad.19.
Z pojemnika w którym są dwa losy wygrywające i trzy losy puste, losujemy dwa razy po
jednym losie bez zwracania. Oblicz prawdopodobieństwo, że otrzymamy co najmniej jeden los
wygrywający. Wynik przedstaw w postaci ułamka nieskracalnego.
Zad.20.
W pudełku są trzy kule białe i pięć kul czarnych. Losujemy dwa razy po jednej kuli:
a) bez zwracania,
b) ze zwracaniem.
Oblicz prawdopodobieństwo wylosowania:
a) kul jednakowych kolorów,
b) kul różnych kolorów,
c) dwóch kul czarnych,
d) dwóch kul białych,
e) co najwyżej jednej kuli białej,
f) co najmniej jednej kuli białej.
Zad.21.
Z urny, w której jest 5 kul czerwonych i 7 zielonych wyjęto dwa razy po jednej kuli bez
zwracania. Sporządź drzewo tego doświadczenia losowego i oblicz prawdopodobieństwo, że
wyjęto kule w różnych kolorach.
Zad.22.
Z urny w której jest 6 kul czarnych i 4 żółte, wyjęto dwa razy po jednej kuli ze zwracaniem.
Sporządź drzewo tego doświadczenia losowego i oblicz prawdopodobieństwo, że wyjęto kule
jednakowych kolorów.
Zad.23.
Niech A,B będą zdarzeniami losowymi, takimi, że ( ) =
zdarzenia A i B są rozłączne.
Zad.24.
Zdarzenia A i B są zdarzeniami przestrzeni  i
( ∪ )= ,
Oblicz ( B) i P(A\B).
Zad.25.
Zdarzenia A i B są zdarzeniami przestrzeni  i
Oblicz ( B) i P(B\A).
( )=
. Zbadaj, czy
( )= , ( )= .
( ∪ ) = 0,9 ,
( ′) = 0,4 , ( ) = 0,7.
Strona 5 z 9
Klasa IV technikum – Egzamin poprawkowy z matematyki – sierpień 2013
Zad.26.
Zdarzenia A i B są zdarzeniami przestrzeni  i
( ∪ )=
,
( ′) =
, ( ′) = .
Oblicz ( B) i P(B\A).
2. STATYSTYKA
Zad.1.
Przez kolejne dwa tygodnie gospodyni codziennie notowała poniesione wydatki na żywność.
Wydała następujące kwoty:
50zł, 40zł, 45zł, 45zł, 56zł, 40zł, 40zł, 45zł, 50zł, 50zł, 50zł, 40zł, 50zł, 50zł
Oblicz średnie koszty dzienne ponoszone przez gospodynię.
Zad.2.
W 8 sklepach ceny pewnego towaru są następujące:
10,5zł, 12zł, 11zł, 11,5zł, 13zł, 12,5zł, 13,5zł, 10zł
Oblicz średnią cenę towaru oraz średnie odchylenie od tej ceny.
Zad.3.
Oblicz średnią arytmetyczną wszystkich liczb pierwszych z przedziału <7,29).
Zad.4.
Oblicz średnią ważoną danych z tabeli:
Wartość danej
4
Waga
2
5
1
6
1
8
3
Zad.5.
Oblicz średnią arytmetyczną danych z tabeli:
Wartość danej
4
Liczebność jest równa
2
5
1
6
1
8
3
Zad.6.
Oblicz średnią arytmetyczną, medianę, dominantę i rozstęp danych
a) 3,3,4,4,4,5,5,6.
b) 2,3,3,4,6,7,7,7.
Zad.7.
Średnia wieku 15 pracowników pewnej firmy wynosi 33 lata. Gdy przyjęto nowego pracownika,
średnia zwiększyła się o 1 rok. Ile lat ma nowy pracownik?
Zad.8.
Średnia arytmetyczna liczb a, b, c jest równa 15. Oblicz średnią arytmetyczną liczb a + 7, b + 3, c + 8.
Zad.9.
Dane przedstawiają punktowe wyniki testu: a) 5, 7, 5, 2, 0, 6, 5. b) 2,3,1,0,2,4.
Oblicz:
a) Średni wynik testu.
b) Medianę, dominantę i rozstęp.
c) Wariancję i odchylenie standardowe.
Zad.10.
10 000 osób wypełniło ankietę odpowiadając na pytanie: jak najczęściej spędzasz wolny czas? Osoby te
wybrały następujące odpowiedzi: 15% - czytam książki, 23% - oglądam telewizję, 7% - uprawiam sport,
35% - odwiedzam znajomych, 20% - idę do kina. Przedstaw podane dane za pomocą tabeli, diagramu
kołowego i kolumnowego.
III. STEREOMETRIA
Zad.1.
Graniastosłup prosty ma 36 krawędzi. Jaka jest liczba jego wierzchołków?
Zad.2.
Objętość sześcianu jest równa 27cm3. Oblicz sumę długości jego krawędzi bocznych.
Zad.3.
Wysokość graniastosłupa prawidłowego czworokątnego jest równa 4cm, a kąt nachylenia jego
przekątnej do płaszczyzny podstawy ma miarę 30. Oblicz długość przekątnej tego graniastosłupa.
Strona 6 z 9
Klasa IV technikum – Egzamin poprawkowy z matematyki – sierpień 2013
Zad.4.
Krawędź boczna ostrosłupa prawidłowego trójkątnego ma długość 6cm, a wysokość jego podstawy
√
cm. Oblicz miarę kąta nachylenia krawędzi bocznej do płaszczyzny podstawy.
Zad.5.
Wysokość podstawy czworościanu foremnego jest równa √3 cm. Oblicz pole powierzchni całkowitej
tego wielościanu.
Zad.6.
W ostrosłupie prawidłowym czworokątnym krawędź podstawy ma długość √2 cm, a krawędź boczna
√3 cm. Oblicz długość wysokości tego ostrosłupa.
Zad.7.
Przekrój osiowy walca jest kwadratem o boku długości 6cm. Oblicz objętość tego walca.
Zad.8.
Tworząca stożka o długości 4cm jest nachylona do płaszczyzny podstawy pod kątem 30. Oblicz pole
powierzchni bocznej tego stożka.
Zad.9.
Pole powierzchni kuli jest równe 16π cm2. Oblicz objętość tej kuli.
Zad.10.
Walec i stożek mają równe wysokości i objętości. Oblicz stosunek promienia podstawy stożka do
promienia podstawy walca.
Zad.11.
Stosunek wysokości stożka do promienia podstawy wynosi 3:1. Objętość stożka jest równa 125πcm3.
Oblicz długość promienia podstawy stożka.
Zad.12.
Przekątna sześcianu ma długość 2√6. Oblicz objętość tego sześcianu.
Zad.13.
Objętość walca wynosi 81πcm . Wysokość walca jest 3 razy większa od promienia podstawy. Oblicz
pole powierzchni podstawy tego walca.
Zad.14.
Kąt nachylenia ściany bocznej ostrosłupa prawidłowego czworokątnego do płaszczyzny podstawy ma
miarę 45. Krawędź podstawy ma długość 6cm. Oblicz długość wysokości tego ostrosłupa.
Zad.15.
Wysokość graniastosłupa prawidłowego czworokątnego ma długość 6cm i tworzy z przekątną
graniastosłupa kąt o mierze 30. Oblicz objętość i pole powierzchni bocznej tego graniastosłupa.
Zad.16.
W graniastosłupie prawidłowym trójkątnym przekątna ściany bocznej ma długość 8√3 i tworzy
z krawędzią podstawy kąt o mierze 60. Oblicz objętość i pole powierzchni całkowitej tego
graniastosłupa.
Zad.17.
Pole powierzchni bocznej graniastosłupa prawidłowego trójkątnego jest równe 144. Oblicz objętość
i pole powierzchni całkowitej tego graniastosłupa, wiedząc, że wysokość podstawy graniastosłupa ma
długość 4√3.
Zad.18.
Ściana boczna ostrosłupa prawidłowego czworokątnego jest nachylona do płaszczyzny podstawy pod
kątem o mierze 30. Oblicz długość krawędzi podstawy i długość krawędzi bocznej tego ostrosłupa,
wiedząc, że jego wysokość ma długość 14cm.
Zad.19.
W ostrosłupie prawidłowym trójkątnym krawędź podstawy ma długość 4√3cm, a krawędź boczna ma
5cm. Oblicz objętość i pole powierzchni całkowitej tego ostrosłupa.
Zad.20.
Oblicz pole powierzchni całkowitej i objętość walca, gdy promień walca jest równy 2√3m, a wysokość
√6m.
Strona 7 z 9
Klasa IV technikum – Egzamin poprawkowy z matematyki – sierpień 2013
Zad.21.
Oblicz pole powierzchni całkowitej stożka, wiedząc, że jego wysokość ma długość 9cm, a miara kąta
między tworzącą stożka i jego wysokością jest równa α oraz sinα= .
Zad.22.
Przekrój osiowy stożka jest trójkątem równobocznym. Oblicz objętość tego stożka, wiedząc, że jego
wysokość ma długość 6√3cm.
Zad.23.
Oblicz objętość kuli, której pole powierzchni całkowitej jest równe 144πcm2.
Zad.24.
Oblicz pole powierzchni kuli o objętości 288πcm3.
IV. WYBRANE ZADANIA MATURALNE
Zad.1.
Przedstaw podane zbiory za pomocą nierówności z wartością bezwzględną:
a) (-6,6) b) (-3,9) c) <-4,4> d) <-5,12> e) (−∞, 2 >∪< 8, +∞) f) (−∞, −3) ∪ (3, +∞)
g) (−∞, −7 >∪< 9, +∞) h) (−∞, 7) ∪ (12, +∞)
Zad.2.
Rozwiąż równanie lub nierówność:
a) | − 9| = 4 b) | + 5| = 9 c) | + 4| ≥ 7 d) | + 8| < 3 e) | − 7| > 4 f) | − 5| ≤ 6
Zad.3.
Zapisz podane wyrażenie w najprostszej postaci:
a)
= | − 3| − | − 5|,
b)
=
c)
= 2√50 − √72 + √8
1 + √2
−
ś
∈ (3,5)
1 − √2
Zad.4.
Przed podwyżką cena czekolady i batonika była jednakowa. Cenę czekolady podniesiono o 5%, a za
batonik trzeba zapłacić o więcej. O ile procent więcej należy teraz zapłacić za dwa batoniki i dwie
czekolady?
Zad.5.
4,5%, liczby x jest równe 48,6. Oblicz x
Zad.6.
Zmieszano 200 litrów mleka 2% i 50 litrów mleka 4%. Otrzymano mleko, które ma w sobie p%
tłuszczu. Oblicz p.
Zad.7.
Kwotę 1000 zł wpłacamy do banku na 2 lata. Kapitalizacja odsetek jest dokonywana w tym banku co
kwartał, a roczna stopa procentowa wynosi 6%. Jaką kwotę otrzymamy po dwóch latach?
Zad.8.
Rozwiąż nierówność:
a) x2-x-20,
b) x2+11x+30>0,
c) -3x2-10x-30,
d) x2+5x6
e) -x2+8x-150
Zad.9.
Rozwiąż równanie:
a) x3-7x2-4x+28=0,
e) x3+3x2+x+3=0
b) x3+2x2-5x-10=0,
c) x3+4x2-9x-36=0,
Zad.10.
Wyznacz wartość funkcji f(x)=-x2-4x+1 dla x = 3√2 − 2.
Zad.11.
Dla jakiej wartości parametru m funkcja f(x)=(6-2m)x+5 jest rosnąca?
Zad.12.
d) x3+5x2-9x-45=0,
Strona 8 z 9
Klasa IV technikum – Egzamin poprawkowy z matematyki – sierpień 2013
Na rysunku przedstawiono wykres funkcji f :
Odczytaj z wykresu i zapisz:
a) dziedzinę i zbiór wartości funkcji f,
b) przedziały monotoniczności funkcji,
c) miejsca zerowe,
d)
,
e) argument dla którego wartość funkcji jest równa -2.
Zad.13.
Podaj równanie osi symetrii wykresu funkcji f(x)=3x2+12x-1.
Zad.14.
Napisz wzór funkcji kwadratowej, której miejscami zerowymi są liczby 5 oraz (-1), a wierzchołek
paraboli będącej jej wykresem ma współrzędne (2,- 18).
Zad.15.
Podaj wzór funkcji, której wykres otrzymamy gdy przesuniemy wykres funkcji ( ) =
o 5 jednostek
w lewo i 3 jednostki w dół.
Zad.16.
Liczby x, y, 19 w podanej kolejności tworzą ciąg arytmetyczny, przy czym x + y = 8 . Oblicz x i y.
Zad.17.
Trzeci wyraz ciągu arytmetycznego jest równy 10, a siódmy 42. Wyznacz pierwszy wyraz i różnicę tego
ciągu. Oblicz sumę 234 początkowych wyrazów tego ciągu.
Zad.18.
Pierwszy wyraz ciągu arytmetycznego jest równy √7 − 5, a drugi wyraz jest równy 2√ 7 − 1. Oblicz
różnicę tego ciągu.
Zad.19.
Pierwszy wyraz ciągu geometrycznego jest równy √2 − √3, a drugi wyraz jest równy 1. Oblicz iloraz
tego ciągu.
Zad.20.
Dany jest ciąg geometryczny o wyrazie ogólnym
od 32?
= 2 . Ile wyrazów tego ciągu jest mniejszych
Zad.21.
Pierwszy wyraz ciągu geometrycznego jest równy √3, a iloraz q = - 1. Oblicz sumę stu jeden wyrazów
tego ciągu.
Zad.22.
Liczby x, x + 2, x + 3 tworzą ciąg geometryczny. Oblicz x.
Zad.23.
Kąt  jest ostry:
a)
=
.
. b)
+
= 2.
ść
√
ż
∙
.
c)
= .
. d)
+
=
.
∙
.
Zad.24.
W trapezie prostokątnym krótsza przekątna dzieli go na trójkąt prostokątny i trójkąt równoboczny.
Dłuższa podstawa trapezu jest równa 6. Oblicz obwód tego trapezu.
Zad.25.
Przyprostokątne trójkąta ABC maja długości 10 i 24. Przeciwprostokątna trójkąta KLM podobnego do
niego ma długość 39. Oblicz obwód trójkąta KLM.
Strona 9 z 9
Klasa IV technikum – Egzamin poprawkowy z matematyki – sierpień 2013
Zad.26.
Przeciwprostokątna trójkąta prostokątnego jest dłuższa od jednej przyprostokątnej o 1 cm i od drugiej
przyprostokątnej o 32 cm. Oblicz długości boków tego trójkąta.
Zad.27.
Okrąg o środku w punkcie S = (3,7) jest styczny do prostej o równaniu y = 2x −3. Oblicz współrzędne
punktu styczności.
Zad.28.
Napisz równanie prostej równoległej do prostej o równaniu -3x+y-4=0 i przechodzącej przez punkt
P=(-1,-4).
Zad.29.
Wyznacz równanie symetralnej odcinka o końcach A =(-2, 2) i B=(2,10).
Zad.30.
Napisz równanie prostej prostopadłej do prostej o równaniu 2x-y+5=0 i przechodzącej przez punkt
P=(-2,3).
Zad.31.
Napisz równanie okręgu o środku w punkcie S=(3,4) i przechodzącego przez punkt
O=(0,0).
UWAGA: KAŻDY UCZEŃ ZOBOWIĄZANY
Z ROZWIĄZYWANYMI ZADANIAMI.
JEST
PRZYNIEŚĆ
NA
EGZAMIN
ZESZYT