zobacz

Transkrypt

zobacz
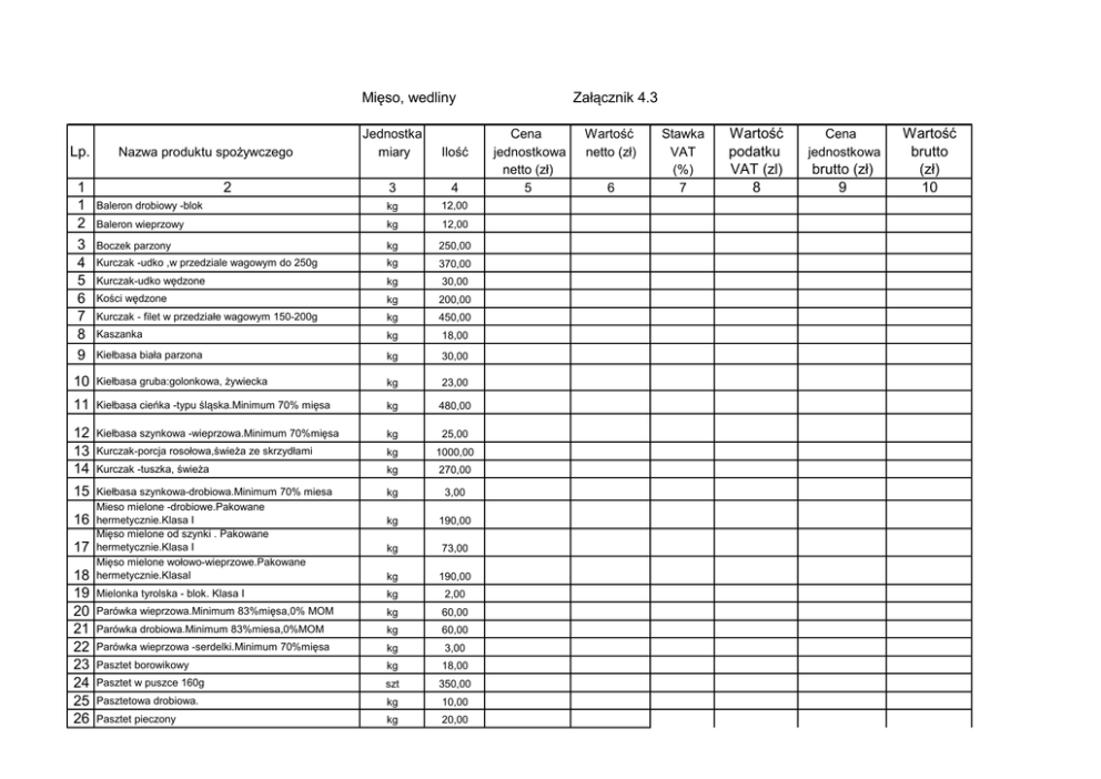
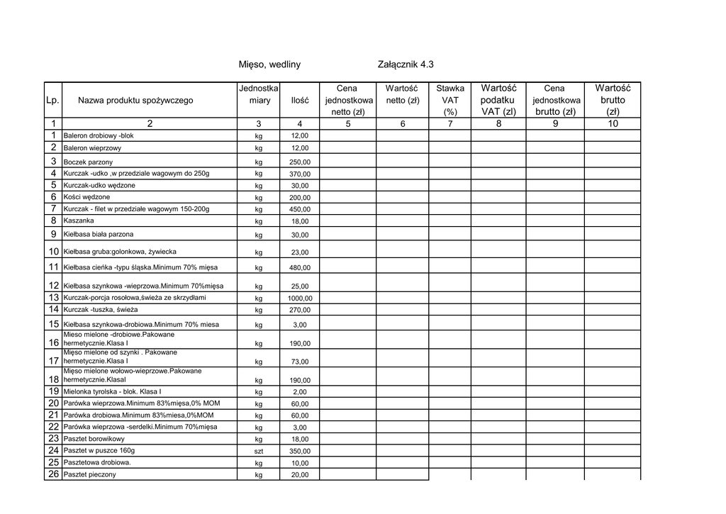
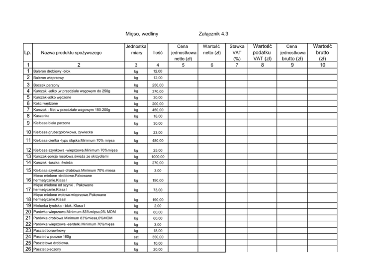
Mięso, wedliny
Jednostka
miary
Ilość
3
4
Baleron drobiowy -blok
kg
12,00
Baleron wieprzowy
kg
12,00
Boczek parzony
kg
250,00
Kurczak -udko ,w przedziale wagowym do 250g
kg
370,00
Kurczak-udko wędzone
kg
30,00
Kości wędzone
kg
200,00
Kurczak - filet w przedziałe wagowym 150-200g
kg
450,00
Kaszanka
kg
18,00
Kiełbasa biała parzona
kg
30,00
10
Kiełbasa gruba:golonkowa, żywiecka
kg
23,00
11
Kiełbasa cieńka -typu śląska.Minimum 70% mięsa
kg
480,00
12
13
14
Kiełbasa szynkowa -wieprzowa.Minimum 70%mięsa
kg
25,00
Kurczak-porcja rosołowa,świeża ze skrzydłami
kg
1000,00
Kurczak -tuszka, świeża
kg
270,00
15
Kiełbasa szynkowa-drobiowa.Minimum 70% miesa
Mieso mielone -drobiowe.Pakowane
hermetycznie.Klasa I
Mięso mielone od szynki . Pakowane
hermetycznie.Klasa I
Mięso mielone wołowo-wieprzowe.Pakowane
hermetycznie.KlasaI
kg
3,00
kg
190,00
kg
73,00
kg
190,00
Mielonka tyrolska - blok. Klasa I
kg
2,00
Parówka wieprzowa.Minimum 83%mięsa,0% MOM
kg
60,00
Parówka drobiowa.Minimum 83%miesa,0%MOM
kg
60,00
Parówka wieprzowa -serdelki.Minimum 70%mięsa
kg
3,00
Lp.
1
1
2
3
4
5
6
7
8
9
16
17
18
19
20
21
22
23
24
25
26
Nazwa produktu spożywczego
2
Pasztet borowikowy
kg
18,00
Pasztet w puszce 160g
szt
350,00
Pasztetowa drobiowa.
kg
10,00
Pasztet pieczony
kg
20,00
Załącznik 4.3
Cena
jednostkowa
netto (zł)
5
Wartość
netto (zł)
6
Stawka
VAT
(%)
7
Wartość
podatku
VAT (zl)
8
Cena
jednostkowa
brutto (zł)
9
Wartość
brutto
(zł)
10
27
28
29
Pieczeń typu rzymska
kg
15,00
Polędwica kanapkowa drobiowa
kg
24,00
Polędwica wedzona typu sopocka
kg
63,00
30
31
32
33
34
35
36
37
38
39
40
41
42
Polędwica drobiowa z przyprawami,np. w majeranku
kg
5,00
Smalec -kostka
kg
35,00
Salami
kg
12,00
Słonina świeża
kg
30,00
Szynka wieprzowa gotowana
kg
160,00
Szynka konserwowa
kg
38,00
Szynka kanapkowa drobiowa
kg
35,00
Szynka golonkowa
kg
7,00
Wieprzowina -Łopatka bez kości, świeża
kg
60,00
Wieprzowina - Szynka bez kości, świeża
kg
16,00
Wieprzowina - Karkówka bez kości, świeża
kg
600,00
Wieprzowina - Schab bez kości, świeży
kg
400,00
Wołowina- antrykot, świeży
kg
46,00
43
44
45
46
47
48
49
Wołowina -szponder, świeży
kg
22,00
Wątróbka drobiowa- świeża
kg
40,00
Wieprzowina - Żeberka -wieprzowe paski
kg
140,00
Salceson extra.Klasa I
kg
10,00
Indyk -filet, bez skóry, świezy
kg
65,00
Filetowa szynka z indyka
kg
4,00
Ogonówka
kg
5,00
RAZEM WARTOŚĆ NETTO
WARTOŚĆ PODATKU VAT
CENA BRUTTO
(z podatkiem VAT)