LCH 1 Zajęcia nr 37 Amidy kwasowe. 1. Pojęcie amidów kwasowych

Transkrypt

LCH 1 Zajęcia nr 37 Amidy kwasowe. 1. Pojęcie amidów kwasowych
LCH 1 Zajęcia nr 37
Amidy kwasowe.
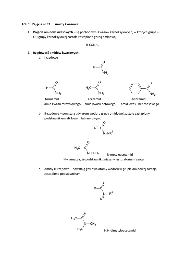
1. Pojęcie amidów kwasowych – są pochodnymi kwasów karboksylowych, w których grupa –
OH grupy karboksylowej została zastąpiona grupą aminową
R-CONH2
2. Rzędowość amidów kwasowych
a. I rzędowe
O
R
C
NH2
O
O
H
H3C
C
O
C
C
NH2
NH2
formamid
amid kwasu mrówkowego
NH2
acetamid
amid kwasu octowego
benzamid
amid kwasu benzoesowego
b. II-rzędowe – powstają gdy arom wodoru grupy amidowej zostaje zastąpiony
podstawnikiem alkilowym lub arylowym:
O
R
1
C
NH R
2
O
H3C
C
NH CH3
N-metyloacetamid
N – oznacza, że podstawnik związany jest z atomem azotu
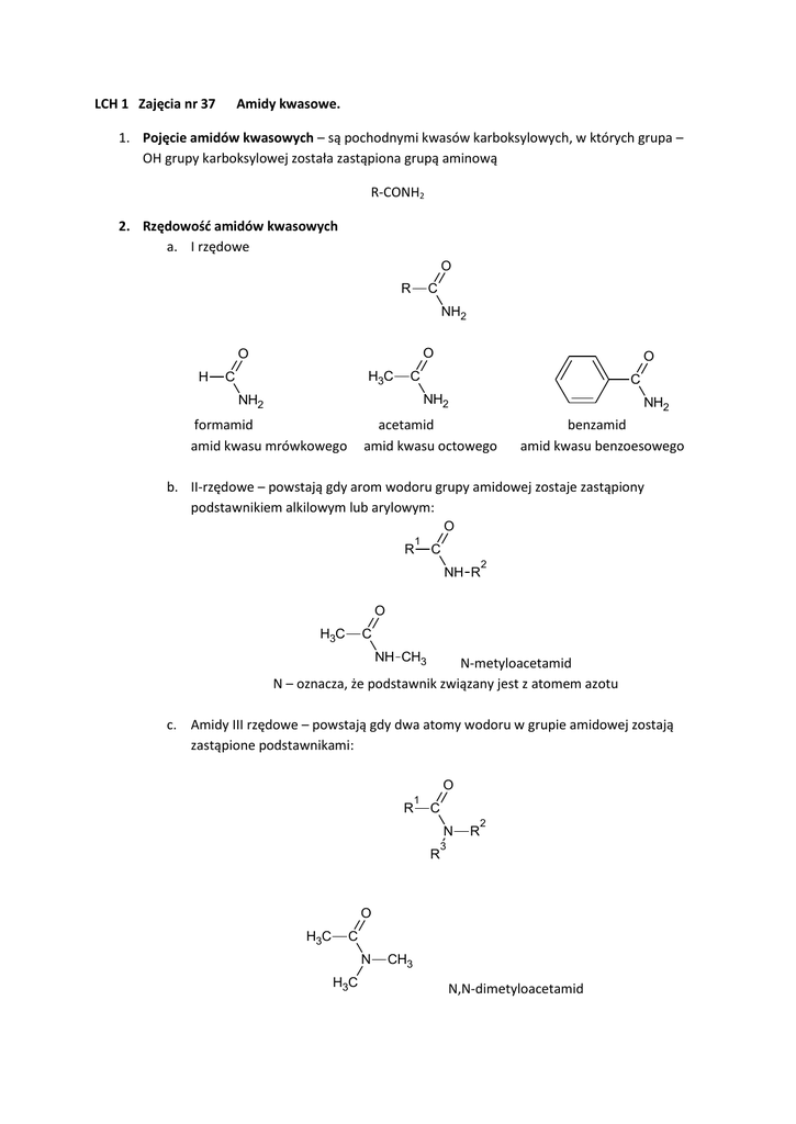
c. Amidy III rzędowe – powstają gdy dwa atomy wodoru w grupie amidowej zostają
zastąpione podstawnikami:
O
R
1
C
N
R
R
2
3
O
H3C
C
N
H3C
CH3
N,N-dimetyloacetamid
3. Otrzymywanie amidów
a. Amidy 1º – działając amoniakiem na odpowiedni kwas karboksylowy:
O
H3C
+
C
NH3
CH3COONH 4
OH
O
T
CH3COONH 4
H3C
+
C
H2O
NH2
b. Amidy 2º - działając kwasem karboksylowym na odpowiednią aminę 1º
R-COOH + R1NH2  R-CO-NHR1
O
O
R1
+
C
R2
NH2
T
R1
C
+
H2O
+
H2O
NH R2
OH
c. Amidy 3º - działając kwasem karboksylowym na odpowiednią aminę 2º
O
O
R1
+
C
OH
R2
NH
T
R3
R1
C
N
R2
R3
4. Acetamid
a. Właściwości fizyczne – substancja stała, krystaliczna, dobrze rozpuszczalna w wodzie,
ze względu na polarnośd wiązania C=O i możliwośd tworzenia wiązao wodorowych.
Posiada niską temperaturę topnienia. W roztworze wodnym nie ulega dysocjacji –
roztwór ma odczyn obojętny
b. Właściwości chemiczne
i. Ulega hydrolizie kwasowej
CH3CONH2 + H2SO4 + 2H2O  2 CH3-COOH + (NH4)2SO4
ii. Ulega hydrolizie zasadowej:
CH3CONH2 + NaOH  2 CH3-COONa + NH3