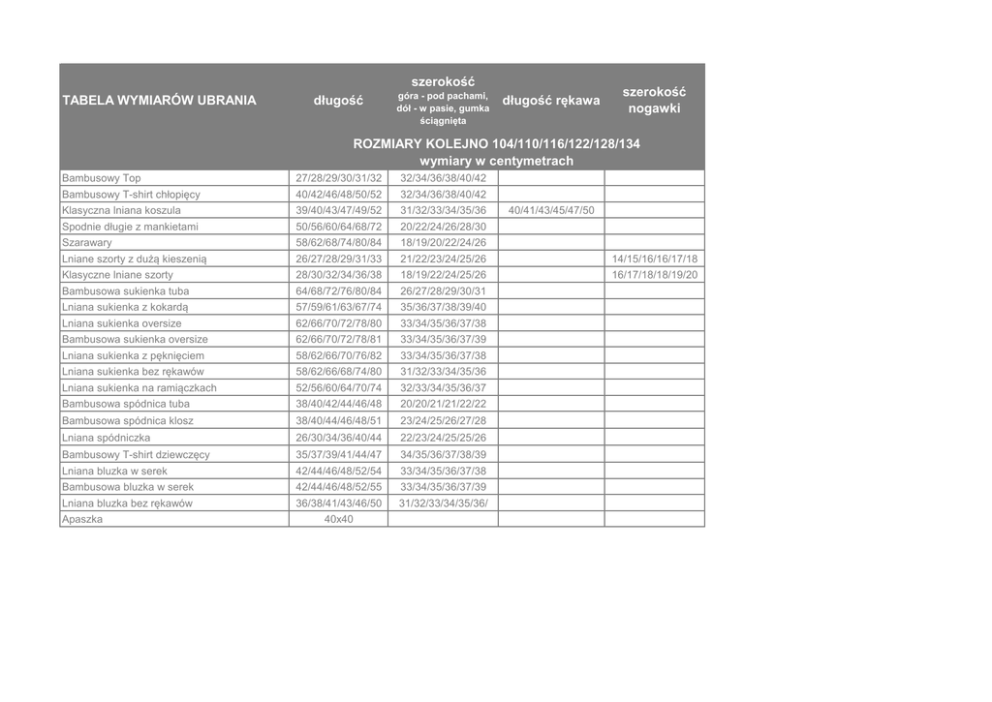
TABELA WYMIARÓW UBRANIA długość szerokość

Transkrypt

TABELA WYMIARÓW UBRANIA długość szerokość
szerokość
TABELA WYMIARÓW UBRANIA
długość
góra - pod pachami,
dół - w pasie, gumka
ściągnięta
długość rękawa
szerokość
nogawki
ROZMIARY KOLEJNO 104/110/116/122/128/134
wymiary w centymetrach
Bambusowy Top
27/28/29/30/31/32
32/34/36/38/40/42
Bambusowy T-shirt chłopięcy
40/42/46/48/50/52
32/34/36/38/40/42
Klasyczna lniana koszula
39/40/43/47/49/52
31/32/33/34/35/36
Spodnie długie z mankietami
50/56/60/64/68/72
20/22/24/26/28/30
Szarawary
58/62/68/74/80/84
18/19/20/22/24/26
Lniane szorty z dużą kieszenią
26/27/28/29/31/33
21/22/23/24/25/26
14/15/16/16/17/18
Klasyczne lniane szorty
28/30/32/34/36/38
18/19/22/24/25/26
16/17/18/18/19/20
Bambusowa sukienka tuba
64/68/72/76/80/84
26/27/28/29/30/31
Lniana sukienka z kokardą
57/59/61/63/67/74
35/36/37/38/39/40
Lniana sukienka oversize
62/66/70/72/78/80
33/34/35/36/37/38
Bambusowa sukienka oversize
62/66/70/72/78/81
33/34/35/36/37/39
Lniana sukienka z pęknięciem
58/62/66/70/76/82
33/34/35/36/37/38
Lniana sukienka bez rękawów
58/62/66/68/74/80
31/32/33/34/35/36
Lniana sukienka na ramiączkach
52/56/60/64/70/74
32/33/34/35/36/37
Bambusowa spódnica tuba
38/40/42/44/46/48
20/20/21/21/22/22
Bambusowa spódnica klosz
38/40/44/46/48/51
23/24/25/26/27/28
Lniana spódniczka
26/30/34/36/40/44
22/23/24/25/25/26
Bambusowy T-shirt dziewczęcy
35/37/39/41/44/47
34/35/36/37/38/39
Lniana bluzka w serek
42/44/46/48/52/54
33/34/35/36/37/38
Bambusowa bluzka w serek
42/44/46/48/52/55
33/34/35/36/37/39
Lniana bluzka bez rękawów
36/38/41/43/46/50
31/32/33/34/35/36/
Apaszka
40x40
40/41/43/45/47/50