deklaracja zgodności nr

Transkrypt

deklaracja zgodności nr
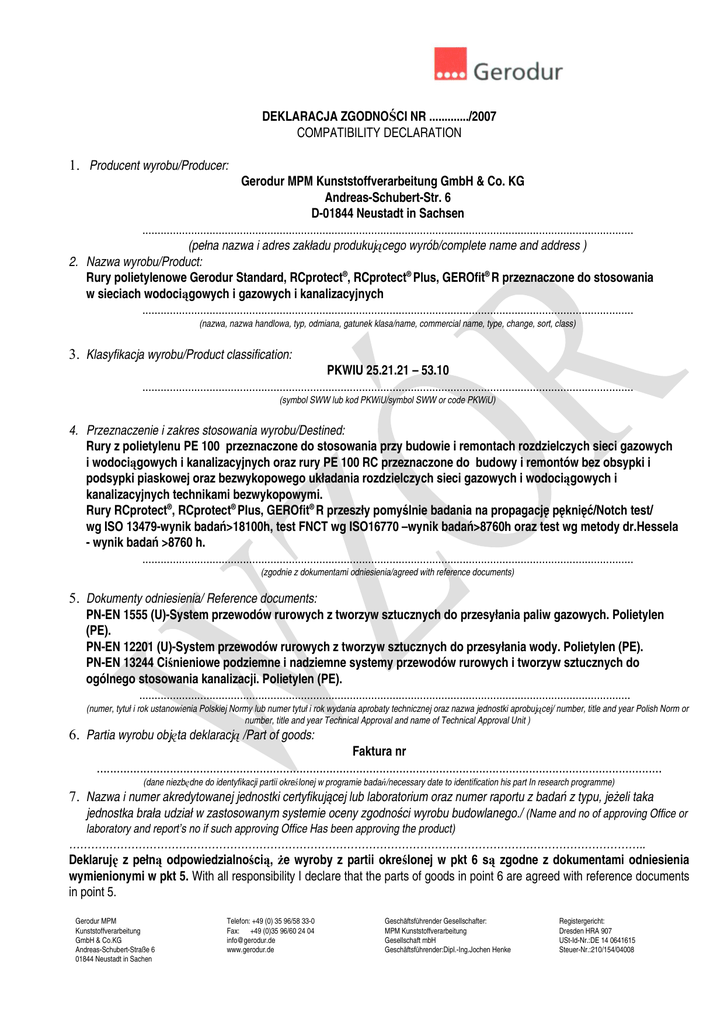
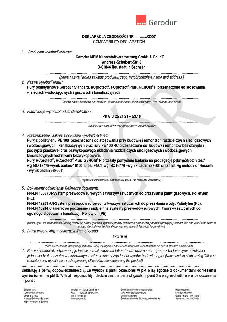
DEKLARACJA ZGODNOŚCI NR ............./2007
COMPATIBILITY DECLARATION
1. Producent wyrobu/Producer:
Gerodur MPM Kunststoffverarbeitung GmbH & Co. KG
Andreas-Schubert-Str. 6
D-01844 Neustadt in Sachsen
.................................................................................................................................................................
(pełna nazwa i adres zakładu produkującego wyrób/complete name and address )
2. Nazwa wyrobu/Product:
Rury polietylenowe Gerodur Standard, RCprotect®, RCprotect® Plus, GEROfit® R przeznaczone do stosowania
w sieciach wodociągowych i gazowych i kanalizacyjnych
.................................................................................................................................................................
(nazwa, nazwa handlowa, typ, odmiana, gatunek klasa/name, commercial name, type, change, sort, class)
3. Klasyfikacja wyrobu/Product classification:
PKWIU 25.21.21 – 53.10
.................................................................................................................................................................
(symbol SWW lub kod PKWiU/symbol SWW or code PKWiU)
4. Przeznaczenie i zakres stosowania wyrobu/Destined:
Rury z polietylenu PE 100 przeznaczone do stosowania przy budowie i remontach rozdzielczych sieci gazowych
i wodociągowych i kanalizacyjnych oraz rury PE 100 RC przeznaczone do budowy i remontów bez obsypki i
podsypki piaskowej oraz bezwykopowego układania rozdzielczych sieci gazowych i wodociągowych i
kanalizacyjnych technikami bezwykopowymi.
Rury RCprotect®, RCprotect® Plus, GEROfit® R przeszły pomyślnie badania na propagację pęknięć/Notch test/
wg ISO 13479-wynik badań>18100h, test FNCT wg ISO16770 –wynik badań>8760h oraz test wg metody dr.Hessela
- wynik badań >8760 h.
.................................................................................................................................................................
(zgodnie z dokumentami odniesienia/agreed with reference documents)
5. Dokumenty odniesienia/ Reference documents:
PN-EN 1555 (U)-System przewodów rurowych z tworzyw sztucznych do przesyłania paliw gazowych. Polietylen
(PE).
PN-EN 12201 (U)-System przewodów rurowych z tworzyw sztucznych do przesyłania wody. Polietylen (PE).
PN-EN 13244 Ciśnieniowe podziemne i nadziemne systemy przewodów rurowych i tworzyw sztucznych do
ogólnego stosowania kanalizacji. Polietylen (PE).
.................................................................................................................................................................
(numer, tytuł i rok ustanowienia Polskiej Normy lub numer tytuł i rok wydania aprobaty technicznej oraz nazwa jednostki aprobującej/ number, title and year Polish Norm or
number, title and year Technical Approval and name of Technical Approval Unit )
6. Partia wyrobu objęta deklaracją /Part of goods:
Faktura nr
..........................................................................................................................................................................
(dane niezbędne do identyfikacji partii określonej w programie badań/necessary date to identification his part In research programme)
7. Nazwa i numer akredytowanej jednostki certyfikującej lub laboratorium oraz numer raportu z badań z typu, jeżeli taka
jednostka brała udział w zastosowanym systemie oceny zgodności wyrobu budowlanego./ (Name and no of approving Office or
laboratory and report’s no if such approving Office Has been approving the product)
…………………………………………………………………………………………………………………………………………..
Deklaruję z pełną odpowiedzialnością, że wyroby z partii określonej w pkt 6 są zgodne z dokumentami odniesienia
wymienionymi w pkt 5. With all responsibility I declare that the parts of goods in point 6 are agreed with reference documents
in point 5.
Gerodur MPM
Kunststoffverarbeitung
GmbH & Co.KG
Andreas-Schubert-Straße 6
01844 Neustadt in Sachen
Telefon: +49 (0) 35 96/58 33-0
Fax: +49 (0)35 96/60 24 04
[email protected]
www.gerodur.de
Geschäftsführender Gesellschafter:
MPM Kunststoffverarbeitung
Gesellschaft mbH
Geschäftsführender:Dipl.-Ing.Jochen Henke
Registergericht:
Dresden HRA 907
USt-Id-Nr.:DE 14 0641615
Steuer-Nr.:210/154/04008
..........................................................
(miejsce i data wystawienia/place and date of issue)
Gerodur MPM
Kunststoffverarbeitung
GmbH & Co.KG
Andreas-Schubert-Straße 6
01844 Neustadt in Sachen
Telefon: +49 (0) 35 96/58 33-0
Fax: +49 (0)35 96/60 24 04
[email protected]
www.gerodur.de
.........................................................
(imię, nazwisko i podpis osoby upoważnionej/signature)
Geschäftsführender Gesellschafter:
MPM Kunststoffverarbeitung
Gesellschaft mbH
Geschäftsführender:Dipl.-Ing.Jochen Henke
Registergericht:
Dresden HRA 907
USt-Id-Nr.:DE 14 0641615
Steuer-Nr.:210/154/04008