Zawiadomienie

Transkrypt

Zawiadomienie
Program Współpracy Transgranicznej Rzeczpospolita Polska - Republika Słowacka 2007-2013
Program cezhraničnej spolupráce Poľská republika – Slovenská republika 2007-2013
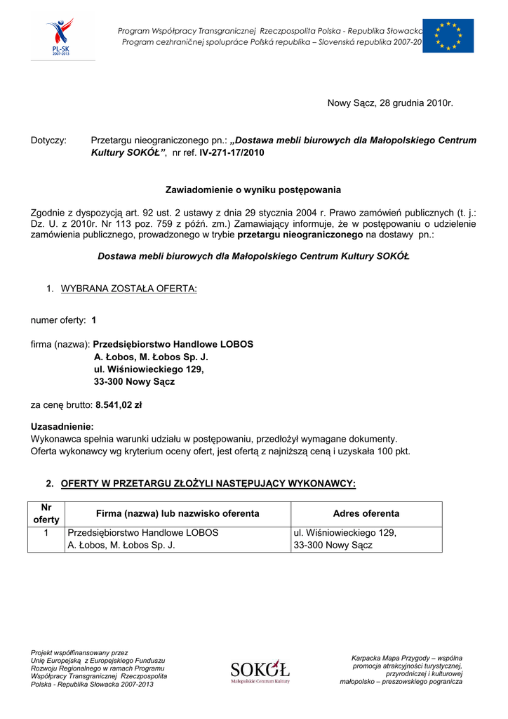
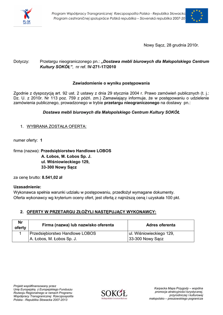
Nowy Sącz, 28 grudnia 2010r.
Dotyczy:
Przetargu nieograniczonego pn.: „Dostawa mebli biurowych dla Małopolskiego Centrum
Kultury SOKÓŁ”, nr ref. IV-271-17/2010
Zawiadomienie o wyniku postępowania
Zgodnie z dyspozycją art. 92 ust. 2 ustawy z dnia 29 stycznia 2004 r. Prawo zamówień publicznych (t. j.:
Dz. U. z 2010r. Nr 113 poz. 759 z późń. zm.) Zamawiający informuje, Ŝe w postępowaniu o udzielenie
zamówienia publicznego, prowadzonego w trybie przetargu nieograniczonego na dostawy pn.:
Dostawa mebli biurowych dla Małopolskiego Centrum Kultury SOKÓŁ
1. WYBRANA ZOSTAŁA OFERTA:
numer oferty: 1
firma (nazwa): Przedsiębiorstwo Handlowe LOBOS
A. Łobos, M. Łobos Sp. J.
ul. Wiśniowieckiego 129,
33-300 Nowy Sącz
za cenę brutto: 8.541,02 zł
Uzasadnienie:
Wykonawca spełnia warunki udziału w postępowaniu, przedłoŜył wymagane dokumenty.
Oferta wykonawcy wg kryterium oceny ofert, jest ofertą z najniŜszą ceną i uzyskała 100 pkt.
2. OFERTY W PRZETARGU ZŁOśYLI NASTĘPUJĄCY WYKONAWCY:
Nr
Firma (nazwa) lub nazwisko oferenta
oferty
1
Przedsiębiorstwo Handlowe LOBOS
A. Łobos, M. Łobos Sp. J.
Projekt współfinansowany przez
Unię Europejską z Europejskiego Funduszu
Rozwoju Regionalnego w ramach Programu
Współpracy Transgranicznej Rzeczpospolita
Polska - Republika Słowacka 2007-2013
Adres oferenta
ul. Wiśniowieckiego 129,
33-300 Nowy Sącz
Karpacka Mapa Przygody – wspólna
promocja atrakcyjności turystycznej,
przyrodniczej i kulturowej
małopolsko – preszowskiego pogranicza
Program Współpracy Transgranicznej Rzeczpospolita Polska - Republika Słowacka 2007-2013
Program cezhraničnej spolupráce Poľská republika – Slovenská republika 2007-2013
3. PUNKTACJA OFERT DLA KRYTERIUM OKREŚLONEGO W SIWZ PRZEDSTAWIA SIĘ
NASTĘPUJĄCO:
Nr
oferty
1
Cena oferty
8.541,02 zł brutto
Liczba punktów w kryterium
Cena
-
-
Razem
100,00
-
100,00
-
Z powaŜaniem
Projekt współfinansowany przez
Unię Europejską z Europejskiego Funduszu
Rozwoju Regionalnego w ramach Programu
Współpracy Transgranicznej Rzeczpospolita
Polska - Republika Słowacka 2007-2013
Karpacka Mapa Przygody – wspólna
promocja atrakcyjności turystycznej,
przyrodniczej i kulturowej
małopolsko – preszowskiego pogranicza