zadania was 1

Transkrypt

zadania was 1
PF ćwiczenia - grupa J-5 seria I
1. Stacja radarowa wysłała sygnał pod kątem ψ do poziomu i po czasie t1 odebrała echo odbite od samolotu. Po
czasie T od momentu wysłania pierwszego sygnału wysłano drugi sygnał pod kątem φ do poziomu i odebrano
echo po czasie t2 . Zakładając, że samolot leci ruchem jednostajnym prostoliniowym na stałej wysokości w
kierunku stacji, oraz że ψ < φ < π 2 , znaleźć wysokość h, prędkość samolotu v i odległość r0 samolotu od stacji w
momencie wysłania pierwszego sygnału. Dana jest prędkość światła w próżni c.
1
c ( t cosψ − t2 cos φ )
ct1
ct2
t
2
Odp.:
;=
=
h =
sinψ
sin φ ; v = 2 1 1
r0 1 c 2 sin 2 ψ + ( c cosψ + v ) .
T − 2 ( t1 − t2 )
2
2
2
2. Poziom wody w studni obniża się ze stałą nieznaną prędkością v1 . Po wrzuceniu do studni kamyka po czasie t1
usłyszano plusk. Po czasie T od wrzucenia 1. kamyka ( T < t1 ) wrzucono 2. kamyk i po czasie t2 usłyszano plusk.
Zakładając, że prędkość dźwięku w powietrzu jest dużo większa niż prędkość obniżania się lustra wody ( v >> v1 )
znaleźć prędkość v1 oraz odległość hT lustra wody w momencie upuszczenia 2. kamyka.
v  g ( t2 − t1 ) − v 2 + 2 gvt2 + v 2 + 2 gvt1 
 2

 ; h = v v + gt − v 2 + 2 gvt − v  v + 2 gvt1 − v − T  .
Odp.: v1 = 
T
1
1
1


g
g
gT + v 2 + 2 gvt2 − v 2 + 2 gvt1


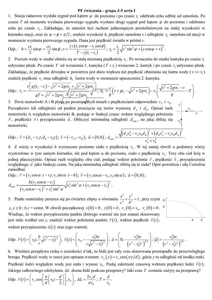
3. Dwie motorówki A i B płyną po prostopadłych torach z prędkościami odpowiednio v A i vB .
Początkowo ich odległości od punktu przecięcia się torów wynoszą d A i d B . Opisać ruch
motorówki A względem motorówki B, podając w funkcji czasu: wektor względnego położenia



r , prędkości v i przyspieszenia a . Obliczyć minimalną odległość d min , na jaką zbliżą się
motorówki.
)
(



Odp.: r =
( d A − vAt , d B − vBt ) ; v =−
( vA , −vB ) ; a = ( 0, 0 ) ; d min =
(d v
2
A B
− v AvB d B ) + ( d B v A2 − v AvB d A )
2
2
.
v A2 + vB2
4. Z wieży o wysokości h wyrzucono poziomo ciało z prędkością v1 . W tej samej chwili u podstawy wieży
wystrzelono w tym samym kierunku, ale pod kątem α do poziomu, ciało z prędkością v2 . Tory obu ciał leżą w


jednej płaszczyźnie. Opisać ruch względny obu ciał, podając wektor położenia r , prędkości v , przyspieszenia

względnego a jako funkcje czasu. Na jaką minimalną odległość zbliżą się te ciała? Opór powietrza i siłę Coriolisa
zaniedbać.



=
r ( v2 cos α ⋅ t − v1t , v2 sin α ⋅ t =
− h ) ; v ( v2 cos α − v1 , v2 sin α ) ; a = ( 0, 0 ) ;
Odp.:
d min
h ( v2 cos α − v1 )
( v2 cos α − v1 )
2
v22 sin 2 α + ( v2 cos α − v1 ) .
2
+ v sin α
2
2
2
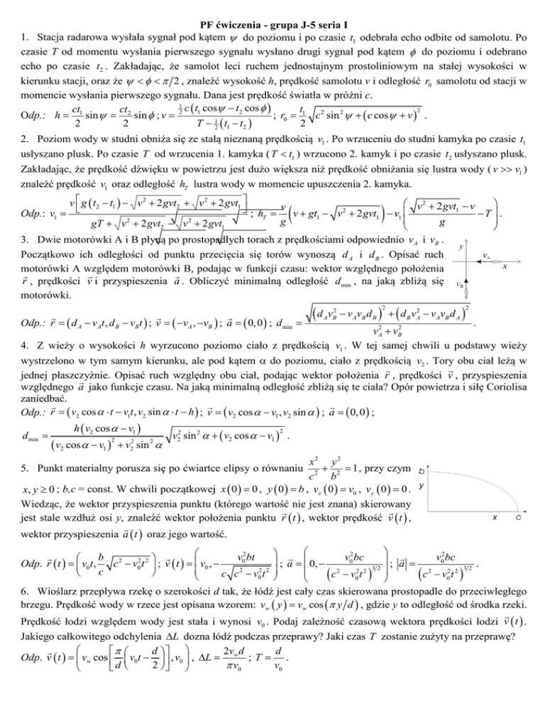
x2 y 2
1 , przy czym
+
=
c2 b2
x, y ≥ 0 ; b,c = const. W chwili początkowej x ( 0 ) = 0 , y ( 0 ) = b , vx ( 0 ) = v0 , v y ( 0 ) = 0 .
Wiedząc, że wektor przyspieszenia punktu (którego wartość nie jest znana) skierowany


jest stale wzdłuż osi y, znaleźć wektor położenia punktu r ( t ) , wektor prędkość v ( t ) ,

wektor przyspieszenia a ( t ) oraz jego wartość.
5. Punkt materialny porusza się po ćwiartce elipsy o równaniu


  
v02bt
v02bc
v02bc


b 2 2 2 





Odp.
; a =
.
a
0, −
=
r ( t )  v0t ,
c − v0 t  ; v =
( t )  v0 , − 2 2 2  ; =
2
2 2 32 
2
2 2 32

c


c
c
−
v
t
c
−
v
t
c
−
v
t
(
)
(
)
0
0
0




6. Wioślarz przepływa rzekę o szerokości d tak, że łódź jest cały czas skierowana prostopadle do przeciwległego
brzegu. Prędkość wody w rzece jest opisana wzorem: vw ( y ) = vw cos (π y d ) , gdzie y to odległość od środka rzeki.

Prędkość łodzi względem wody jest stała i wynosi v0 . Podaj zależność czasową wektora prędkości łodzi v ( t ) .
Jakiego całkowitego odchylenia ∆L dozna łódź podczas przeprawy? Jaki czas T zostanie zużyty na przeprawę?


2v d
π 
d  
d
=
Odp. v ( t )  vw cos   v0t −   , v0  , ∆L = w ; T = .
2  
v0
π v0
d 
