Zestawienie tabelaryczne punktacji ofert dla Zadania A i B

Transkrypt

Zestawienie tabelaryczne punktacji ofert dla Zadania A i B
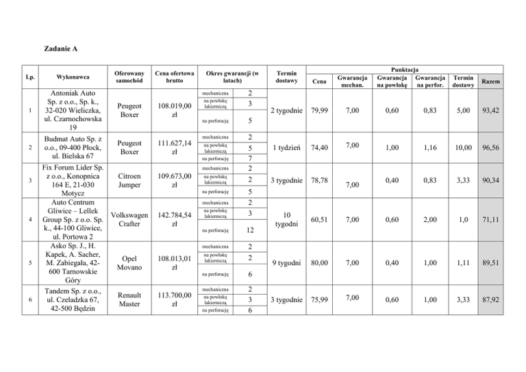
Zadanie A
Oferowany
samochód
Lp.
Wykonawca
1
Antoniak Auto
Sp. z o.o., Sp. k.,
32-020 Wieliczka,
ul. Czarnochowska
19
Peugeot
Boxer
Budmat Auto Sp. z
o.o., 09-400 Płock,
ul. Bielska 67
Peugeot
Boxer
2
3
4
5
6
Fix Forum Lider Sp.
z o.o., Konopnica
Citroen
164 E, 21-030
Jumper
Motycz
Auto Centrum
Gliwice – Lellek
Volkswagen
Group Sp. z o.o. Sp.
Crafter
k., 44-100 Gliwice,
ul. Portowa 2
Asko Sp. J., H.
Kapek, A. Sacher,
Opel
M. Zabiegała, 42Movano
600 Tarnowskie
Góry
Tandem Sp. z o.o.,
Renault
ul. Czeladzka 67,
Master
42-500 Będzin
Cena ofertowa
brutto
108.019,00
zł
111.627,14
zł
Okres gwarancji (w
latach)
mechaniczna
na powłokę
lakierniczą
2
3
na perforację
5
mechaniczna
2
5
7
2
2
na powłokę
lakierniczą
na perforację
mechaniczna
109.673,00
zł
na powłokę
lakierniczą
na powłokę
lakierniczą
5
2
3
na perforację
12
mechaniczna
na powłokę
lakierniczą
2
2
na perforację
6
mechaniczna
2
3
6
na perforację
mechaniczna
142.784,54
zł
108.013,01
zł
113.700,00
zł
na powłokę
lakierniczą
na perforację
Punktacja
Gwarancja Gwarancja
na powłokę
na perfor.
Termin
dostawy
Cena
Gwarancja
mechan.
2 tygodnie
79,99
7,00
0,60
1 tydzień
74,40
7,00
3 tygodnie
78,78
10
tygodni
60,51
9 tygodni
3 tygodnie
Termin
dostawy
Razem
0,83
5,00
93,42
1,00
1,16
10,00
96,56
0,40
0,83
3,33
90,34
7,00
0,60
2,00
1,0
71,11
80,00
7,00
0,40
1,00
1,11
89,51
75,99
7,00
0,60
1,00
3,33
87,92
7,00
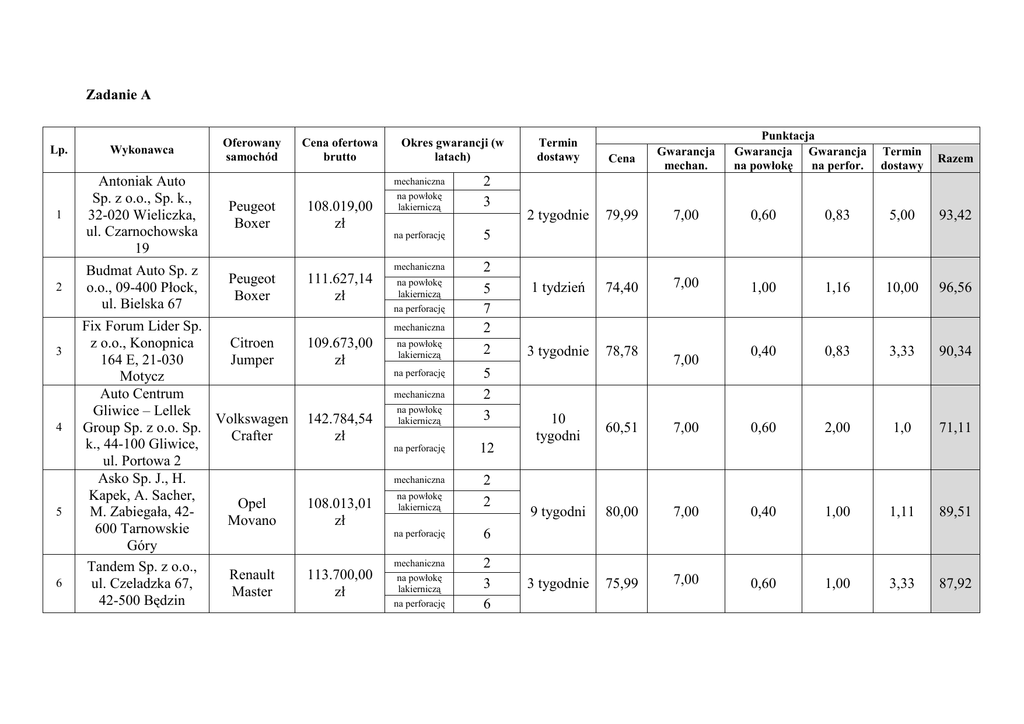
Zadanie B
Oferowany
samochód
Lp.
Wykonawca
1
Auto Centrum
Gliwice – Lellek
Group Sp. z o.o.
Sp. k., 44-100
Gliwice, ul.
Portowa 2
Volkswagen
Caddy
Tandem Sp. z o.o.,
ul. Czeladzka 67,
42-500 Będzin
Dacia
Doker
2
Cena
ofertowa
brutto
Okres gwarancji (w
latach)
mechaniczna
na powłokę
lakierniczą
58.110,00 zł
Punktacja
Gwarancja Gwaranc
na
ja na
powłokę
rerfor.
Cena
Gwarancja
mechan.
10
tygodni
59,29
2,80
1,00
8
tygodni
80,00
7,00
0,66
Termin
dostawy
Razem
2,00
8,00
73,09
1,00
10,00
98,66
2
3
78.403,38 zł
na perforację
12
mechaniczna
5
2
6
na powłokę
lakierniczą
na perforację
Termin
dostawy