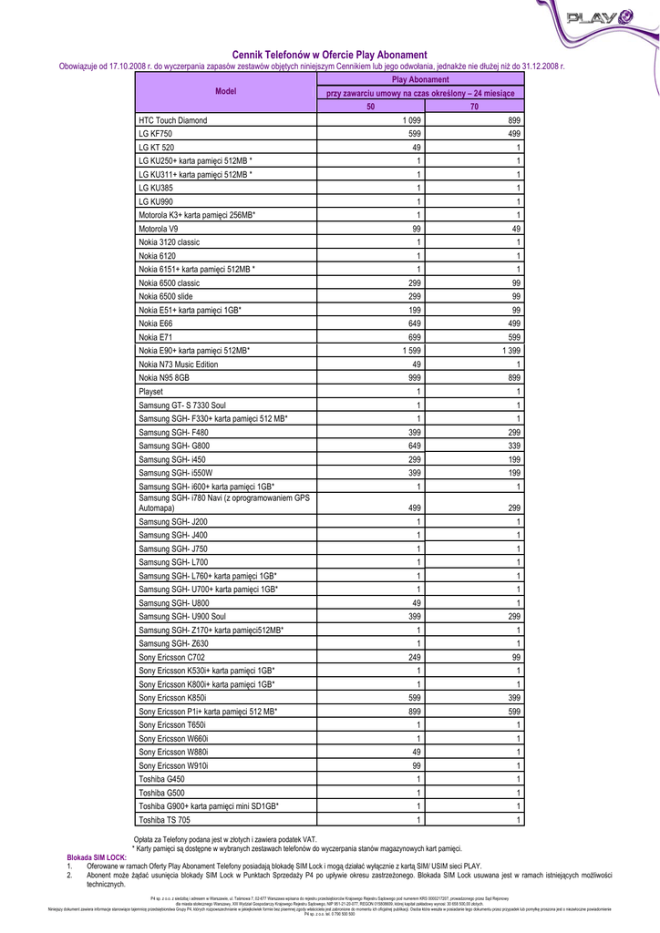
cennik telefonów w ofercie Play abonament

Transkrypt

cennik telefonów w ofercie Play abonament
Cennik Telefonów w Ofercie Play Abonament
Obowiązuje od 17.10.2008 r. do wyczerpania zapasów zestawów objętych niniejszym Cennikiem lub jego odwołania, jednakże nie dłużej niż do 31.12.2008 r.
Play Abonament
Model
przy zawarciu umowy na czas określony – 24 miesiące
50
HTC Touch Diamond
70
1 099
899
LG KF750
599
499
LG KT 520
49
1
LG KU250+ karta pamięci 512MB *
1
1
LG KU311+ karta pamięci 512MB *
1
1
LG KU385
1
1
LG KU990
1
1
Motorola K3+ karta pamięci 256MB*
1
1
99
49
Nokia 3120 classic
1
1
Nokia 6120
1
1
Nokia 6151+ karta pamięci 512MB *
1
1
299
99
Nokia 6500 slide
299
99
Nokia E51+ karta pamięci 1GB*
199
99
Nokia E66
649
499
Motorola V9
Nokia 6500 classic
Nokia E71
Nokia E90+ karta pamięci 512MB*
Nokia N73 Music Edition
Nokia N95 8GB
699
599
1 599
1 399
49
1
999
899
Playset
1
1
Samsung GT- S 7330 Soul
1
1
Samsung SGH- F330+ karta pamięci 512 MB*
1
1
Samsung SGH- F480
399
299
Samsung SGH- G800
649
339
Samsung SGH- i450
299
199
Samsung SGH- i550W
399
199
1
1
Samsung SGH- i600+ karta pamięci 1GB*
Samsung SGH- i780 Navi (z oprogramowaniem GPS
Automapa)
499
299
Samsung SGH- J200
1
1
Samsung SGH- J400
1
1
Samsung SGH- J750
1
1
Samsung SGH- L700
1
1
Samsung SGH- L760+ karta pamięci 1GB*
1
1
Samsung SGH- U700+ karta pamięci 1GB*
1
1
Samsung SGH- U800
Samsung SGH- U900 Soul
Samsung SGH- Z170+ karta pamięci512MB*
Samsung SGH- Z630
49
1
399
299
1
1
1
1
249
99
Sony Ericsson K530i+ karta pamięci 1GB*
1
1
Sony Ericsson K800i+ karta pamięci 1GB*
1
1
Sony Ericsson K850i
599
399
Sony Ericsson P1i+ karta pamięci 512 MB*
Sony Ericsson C702
899
599
Sony Ericsson T650i
1
1
Sony Ericsson W660i
1
1
Sony Ericsson W880i
49
1
Sony Ericsson W910i
99
1
Toshiba G450
1
1
Toshiba G500
1
1
Toshiba G900+ karta pamięci mini SD1GB*
1
1
Toshiba TS 705
1
1
Opłata za Telefony podana jest w złotych i zawiera podatek VAT.
* Karty pamięci są dostępne w wybranych zestawach telefonów do wyczerpania stanów magazynowych kart pamięci.
Blokada SIM LOCK:
1.
Oferowane w ramach Oferty Play Abonament Telefony posiadają blokadę SIM Lock i mogą działać wyłącznie z kartą SIM/ USIM sieci PLAY.
2.
Abonent może żądać usunięcia blokady SIM Lock w Punktach Sprzedaży P4 po upływie okresu zastrzeżonego. Blokada SIM Lock usuwana jest w ramach istniejących możliwości
technicznych.
P4 sp. z o.o. z siedzibą i adresem w Warszawie, ul. Taśmowa 7, 02-677 Warszawa wpisana do rejestru przedsiębiorców Krajowego Rejestru Sądowego pod numerem KRS 0000217207, prowadzonego przez Sąd Rejonowy
dla miasta stołecznego Warszawy, XIII Wydział Gospodarczy Krajowego Rejestru Sądowego, NIP 951-21-20-077, REGON 015808609, której kapitał zakładowy wynosi: 30 658 500,00 złotych.
Niniejszy dokument zawiera informacje stanowiące tajemnicę przedsiębiorstwa Grupy P4, których rozpowszechnianie w jakiejkolwiek formie bez pisemnej zgody właściciela jest zabronione do momentu ich oficjalnej publikacji. Osoba która weszła w posiadanie tego dokumentu przez przypadek lub pomyłkę proszona jest o niezwłoczne powiadomienie
P4 sp. z o.o. tel. 0 790 500 500
3.
W przypadku usunięcia blokady SIM Lock poza Punktem Sprzedaży P4 w sposób nie uzgodniony z P4 Abonent może stracić prawo do bezpłatnej obsługi serwisowej Telefonu w ramach
gwarancji, rękojmi lub uprawnień z tytułu niezgodności z umową, jeżeli wada / niezgodność z umową powstała na skutek usunięcia blokady SIM Lock.
Promocyjne ceny Telefonów:
1.
Przy zawieraniu Umowy w ramach Oferty Play Abonament, Abonent ma możliwość zakupu Telefonu na warunkach cenowych określonych w niniejszym Cenniku Telefonów.
2.
P4 zastrzega, iż dostępność poszczególnych modeli Telefonów uzależniona jest od aktualnych stanów magazynowych Punktów Sprzedaży P4.
P4 sp. z o.o. z siedzibą i adresem w Warszawie, ul. Taśmowa 7, 02-677 Warszawa wpisana do rejestru przedsiębiorców Krajowego Rejestru Sądowego pod numerem KRS 0000217207, prowadzonego przez Sąd Rejonowy
dla miasta stołecznego Warszawy, XIII Wydział Gospodarczy Krajowego Rejestru Sądowego, NIP 951-21-20-077, REGON 015808609, której kapitał zakładowy wynosi: 30 658 500,00 złotych.
Niniejszy dokument zawiera informacje stanowiące tajemnicę przedsiębiorstwa Grupy P4, których rozpowszechnianie w jakiejkolwiek formie bez pisemnej zgody właściciela jest zabronione do momentu ich oficjalnej publikacji. Osoba która weszła w posiadanie tego dokumentu przez przypadek lub pomyłkę proszona jest o niezwłoczne powiadomienie
P4 sp. z o.o. tel. 0 790 500 500