opis nieruchomości

Transkrypt

opis nieruchomości
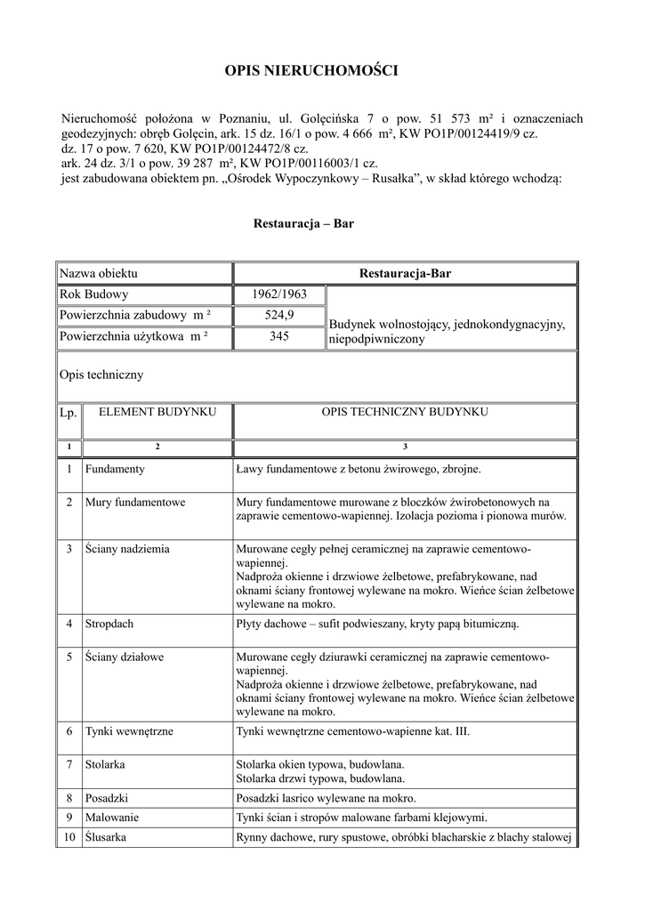
OPIS NIERUCHOMOŚCI
Nieruchomość położona w Poznaniu, ul. Golęcińska 7 o pow. 51 573 m² i oznaczeniach
geodezyjnych: obręb Golęcin, ark. 15 dz. 16/1 o pow. 4 666 m², KW PO1P/00124419/9 cz.
dz. 17 o pow. 7 620, KW PO1P/00124472/8 cz.
ark. 24 dz. 3/1 o pow. 39 287 m², KW PO1P/00116003/1 cz.
jest zabudowana obiektem pn. „Ośrodek Wypoczynkowy – Rusałka”, w skład którego wchodzą:
Restauracja – Bar
Nazwa obiektu
Restauracja-Bar
Rok Budowy
1962/1963
Powierzchnia zabudowy m ²
524,9
Powierzchnia użytkowa m ²
345
Budynek wolnostojący, jednokondygnacyjny,
niepodpiwniczony
Opis techniczny
Lp.
ELEMENT BUDYNKU
OPIS TECHNICZNY BUDYNKU
1
2
3
1
Fundamenty
Ławy fundamentowe z betonu żwirowego, zbrojne.
2
Mury fundamentowe
Mury fundamentowe murowane z bloczków żwirobetonowych na
zaprawie cementowo-wapiennej. Izolacja pozioma i pionowa murów.
3
Ściany nadziemia
Murowane cegły pełnej ceramicznej na zaprawie cementowowapiennej.
Nadproża okienne i drzwiowe żelbetowe, prefabrykowane, nad
oknami ściany frontowej wylewane na mokro. Wieńce ścian żelbetowe
wylewane na mokro.
4
Stropdach
Płyty dachowe – sufit podwieszany, kryty papą bitumiczną.
5
Ściany działowe
Murowane cegły dziurawki ceramicznej na zaprawie cementowowapiennej.
Nadproża okienne i drzwiowe żelbetowe, prefabrykowane, nad
oknami ściany frontowej wylewane na mokro. Wieńce ścian żelbetowe
wylewane na mokro.
6
Tynki wewnętrzne
Tynki wewnętrzne cementowo-wapienne kat. III.
7
Stolarka
Stolarka okien typowa, budowlana.
Stolarka drzwi typowa, budowlana.
8
Posadzki
Posadzki lasrico wylewane na mokro.
9
Malowanie
Tynki ścian i stropów malowane farbami klejowymi.
10 Ślusarka
Rynny dachowe, rury spustowe, obróbki blacharskie z blachy stalowej
ocynkowanej.
11 Instalacje
Instalacja elektryczna – siła i światło, wodociągowa, kanalizacyjna.
12 Elewacja
Budynek tynkowany tynkiem cementowo-wapiennym prostym,
malowanym farbami emulsyjnymi.
13 Inne
Od frontu budynku taras ziemny – mur oporowy z betonu żwirowego
tynkowany tynkiem cementowo-wapiennym. Posadzka tarasu z
kamienia łamanego. Schody na taras betonowe.
Budynek Sanitarny
Nazwa obiektu
Budynek Sanitarny
Rok Budowy
1962/1963
Powierzchnia zabudowy m ²
107,6
Powierzchnia użytkowa m ²
91,4
Budynek wolnostojący, jednokondygnacyjny,
niepodpiwniczony
Opis techniczny
Lp.
ELEMENT BUDYNKU
OPIS TECHNICZNY BUDYNKU
1
2
3
1
Fundamenty
Ławy fundamentowe z betonu żwirowego, zbrojne.
2
Mury fundamentowe
Mury fundamentowe murowane z bloczków żwirobetonowych na
zaprawie cementowo-wapiennej. Izolacja pozioma i pionowa murów.
3
Ściany nadziemia
Murowane cegły pełnej ceramicznej na zaprawie cementowowapiennej.
Nadproża okienne i drzwiowe żelbetowe, prefabrykowane. Wieńce
ścian żelbetowe wylewane na mokro.
4
Stropdach
Płyty żelbetowe, prefabrykowane, kryte papą.
5
Ściany działowe
Murowane cegły dziurawki ceramicznej na zaprawie cementowowapiennej.
6
Tynki wewnętrzne
Tynki wewnętrzne cementowo-wapienne kat. III.
7
Stolarka
Stolarka okien typowa, budowlana.
Stolarka drzwi typowa, budowlana.
8
Posadzki
Posadzka cementowa zatarta na gładko, w części płytki lasrico, w
części ceramiczne.
9
Malowanie
10 Instalacje
Instalacja elektryczna, wodociągowa, kanalizacyjna.
11 Elewacja
Budynek tynkowany tynkiem cementowo-wapiennym prostym kat.
III.
Parking
Nazwa obiektu
Rok Budowy
Powierzchnia m ²
UTWARDZENIE TERENU - Parking
1962/1963
Nawierzchnia żużlowa.
4666
Ponadto, w skład ośrodka wchodzi boisko do gry w piłkę plażową siatkową.