spawania acetylen butelkę

Transkrypt

spawania acetylen butelkę
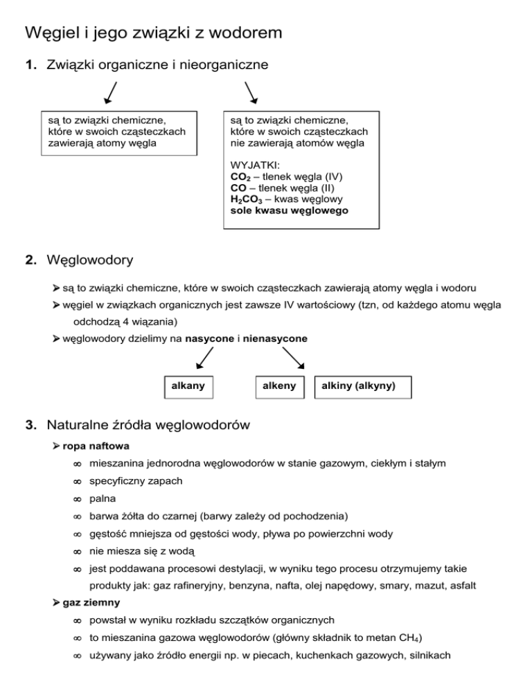
Węgiel i jego związki z wodorem
1. Związki organiczne i nieorganiczne
są to związki chemiczne,
które w swoich cząsteczkach
zawierają atomy węgla
są to związki chemiczne,
które w swoich cząsteczkach
nie zawierają atomów węgla
WYJATKI:
CO2 – tlenek węgla (IV)
CO – tlenek węgla (II)
H2CO3 – kwas węglowy
sole kwasu węglowego
2. Węglowodory
są to związki chemiczne, które w swoich cząsteczkach zawierają atomy węgla i wodoru
węgiel w związkach organicznych jest zawsze IV wartościowy (tzn, od kaŜdego atomu węgla
odchodzą 4 wiązania)
węglowodory dzielimy na nasycone i nienasycone
alkany
alkeny
alkiny (alkyny)
3. Naturalne źródła węglowodorów
ropa naftowa
•
mieszanina jednorodna węglowodorów w stanie gazowym, ciekłym i stałym
•
specyficzny zapach
•
palna
•
barwa Ŝółta do czarnej (barwy zaleŜy od pochodzenia)
•
gęstość mniejsza od gęstości wody, pływa po powierzchni wody
•
nie miesza się z wodą
•
jest poddawana procesowi destylacji, w wyniku tego procesu otrzymujemy takie
produkty jak: gaz rafineryjny, benzyna, nafta, olej napędowy, smary, mazut, asfalt
gaz ziemny
•
powstał w wyniku rozkładu szczątków organicznych
•
to mieszanina gazowa węglowodorów (główny składnik to metan CH4)
•
uŜywany jako źródło energii np. w piecach, kuchenkach gazowych, silnikach
węgle kopalne
•
to np. węgiel kamienny, węgiel brunatny
•
termiczny rozkład węgla kamiennego prowadzi do otrzymania gazu koksowniczego
4. Alkany
węglowodory nasycone
posiadają wiązania pojedyncze pomiędzy atomami węgla
nazwy pochodzą od liczebników greckich z dodana końcówka – an np. metan, butan
wzór ogólny
CnH2n+2, n – liczba atomów węgla
szereg homologiczny alkanów – kaŜdy następny węglowodór ma o jedna grupę -CH2- więcej
od poprzedniego
+ CH2
+ CH2
CH4
5. Alkeny
C2H6
+ CH2
C3H8
C4H10
węglowodory nienasycone
posiadają jedno wiązania podwójne pomiędzy atomami węgla
nazwy pochodzą od alkanów z dodaną końcówką – en np. eten, buten
wzór ogólny
CnH2n, n – liczba atomów węgla
szereg homologiczny alkenów – kaŜdy następny węglowodór ma o jedna grupę -CH2- więcej
od poprzedniego
+CH2
6. Alkyny (alkiny)
C2H4
+CH2
C3H6
+CH2
C4H8
C5H10
węglowodory nienasycone
posiadają jedno wiązania potrójne pomiędzy atomami węgla
nazwy pochodzą od alkanów z dodaną końcówką – in lub –yn np. etin (etyn)
wzór ogólny
CnH2n-2, n – liczba atomów węgla
szereg homologiczny alkinów – kaŜdy następny węglowodór ma o jedna grupę -CH2- więcej
od poprzedniego
+CH2
C2H2
+CH2
C3H4
+CH2
C4H6
C5H8
Alkany
Liczba atomów
nazwa
węgla
Wzór
sumaryczny
Wzór strukturalny
Wzór półstrukturalny
Model cząsteczki
H
1
metan
CH4
H
C
CH4
H
H
2
3
4
5
etan
propan
butan
pentan
C2H6
C3H8
C4H10
C5H12
H
H
H
H
H
H
C
C
H
H
H
H
H
C
C
C
H
H
H
H
H
C
CH3 – CH3
H
H
CH3 – CH2 – CH3
H
H
CH3 – CH2 – CH2 – CH3
C
C
C
H
H
H
H
H
H
H
H
H
C
C
C
C
C
H
H
H
H
H
zapis skrócony:
H
CH3 – (CH2)2 – CH3
CH3 – CH2 – CH2 – CH2 – CH3
H
zapis skrócony:
CH3 – (CH2)3 – CH3
6
heksan
C6H14
itd.
itd.
itd.
7
heptan
C7H16
itd.
itd.
itd.
8
oktan
C8H18
itd.
itd.
itd.
9
nonan
C9H20
itd.
itd.
itd.
10
dekan
C10H22
itd.
itd.
itd.
Alkeny
Liczba
nazwa
atomów węgla
Wzór
sumaryczny
Wzór strukturalny
H
2
eten
H
H
H
propen
C
C3H6
H
C
C
H
H
buten
C
C4H8
H
H
C
C
C
H
H
H
H
C
H
H
5
penten
C
C5H10
H
H
H
H
4
CH2 = CH2
C
H
3
Model cząsteczki
H
C
C2H4
Wzór półstrukturalny
CH2 = CH – CH3
H
CH2 = CH – CH2 – CH3
H
H
CH2 = CH – CH2 – CH2 – CH3
C
C
C
H
H
H
H
Zapis skrócony:
CH2 = CH – (CH2)2 – CH3
6
heksen
C6H12
itd.
itd.
itd.
7
hepten
C7H14
itd.
itd.
itd.
8
okten
C8H16
itd.
itd.
itd.
9
nonen
C9H18
itd.
itd.
itd.
10
deken
C10H20
itd.
itd.
itd.
Alkyny (alkiny)
Liczba
atomów
węgla
2
nazwa
Wzór
sumaryczny
etyn
C2H2
Wzór strukturalny
H
C
C
Wzór półstrukturalny
H
Model cząsteczki
CH ≡ CH
H
3
propyn
C3H4
H
C
C
C
CH ≡ C − CH3
H
H
4
5
butyn
pentyn
C4H6
C5H8
H
H
C
C
C
C
H
H
C
C
H
H
H
H
H
H
C
C
C
H
H
H
CH ≡ C − CH2 − CH3
CH ≡ C − CH2 − CH2 − CH3
H Zapis skrócony:
CH ≡ C − (CH2 )2 − CH3
6
heksyn
C6H10
itd.
itd.
itd.
7
heptyn
C7H12
itd.
itd.
itd.
8
oktyn
C8H14
itd.
itd.
itd.
9
nonyn
C9H16
itd.
itd.
itd.
10
dekyn
C10H18
itd.
itd.
itd.
7. Właściwości i zastosowanie alkanów.
wraz z wydłuŜaniem się łańcucha węglowego:
CH4
C2H6
•
C3H8
C4H10
C5H12
C6H14
C7H16
itd.
zmienia się stan skupienia alkanów
1 – 4 atomów węgla
gazy
5 – 16 atomów węgla
ciecze
n > 16 atomów węgla
ciała stałe
•
zmniejsza się lotność
•
zmniejsza się palność
wszystkie alkany mają gęstość mniejszą od gęstości wody i nie rozpuszczają się w niej
zastosowanie alkanów:
•
metan - występuje w gazie ziemnym stosowanym w kuchenkach, junkersach
•
propan – kosmetyki w formie aerozoli
•
mieszanina propanu i butanu – butle turystyczne
•
butan – zapalniczki
•
benzyna, olej napędowy i nafta ( to mieszaniny alkanów w stanie ciekłym) – silniki
8. Właściwości alkenów i alkinów
nierozpuszczalne w wodzie
wraz z wydłuŜaniem się łańcucha węglowego:
•
zmienia się stan skupienia
•
zmniejsza się palność
•
zmniejsza się lotność
ulegają reakcjom przyłączania i polimeryzacji
9. Charakterystyka – METANU
wzór sumaryczny
wzór strukturalny
model cząsteczki
H
CH 4
H
C
H
H
Właściwości i występowanie:
•
główny składnik gazu ziemnego (90%)
•
powstaje na bagnach – gaz błotny
•
występuje w kopalniach węgla kamiennego – gaz kopalniany
•
gaz
•
bezbarwny
•
bezwonny (jest nawaniany, Ŝeby moŜna go było wykryć)
•
tworzy mieszaninę wybuchową z powietrzem
•
nierozpuszczalny w wodzie
•
palny, ulega 3 reakcjom spalania
I. Spalanie całkowite – (bezpieczne) zachodzi przy nieograniczonym dostępie tlenu
CH 4 + 2O 2 → CO 2 + 2 H 2 O
metan
tlenek węgla (IV)
II. Spalanie niecałkowite trujące – dostęp tlenu jest ograniczony
2CH 4 + 3O2 → 2CO + 4 H 2O
metan
tlenek węgla (II)
III. Spalanie niecałkowite – dostęp tlenu jest ograniczony
2CH 4 + 2O2 → 2C + 4 H 2O
metan
węgiel
10. Charakterystyka – ETENU (Etylen)
wzór sumaryczny
wzór strukturalny
H
C2 H 4
H
C
H
C
wzór półstrukturalny
model cząsteczki
CH 2 = CH 2
H
otrzymywanie etenu (etylenu)
Obserwacja: Wydziela się bezbarwny gaz,
folia
polietylenowa
o charakterystycznym zapachu,
nierozpuszczalny w wodzie.
woda
Wniosek: ten gaz to eten (etylen)
zastosowanie etenu (etylenu)
•
produkcja tworzywa sztucznego – polietylenu (z polietylenu wytwarza się reklamówki, butelki i
folie plastikowe)
•
regulacja wzrostu upraw np. pomidorów, bananów
Właściwości:
I. Spalanie całkowite
•
alken
•
gaz
•
bezbarwny
•
charakterystyczny zapachy
•
nierozpuszczalny w wodzie
•
palny
•
ulega 3 reakcjom spalania
•
ulega reakcji przyłączania (addycji),
C2 H 4 + 3O2 → 2CO2 + 2 H 2O
które polega na rozerwaniu jednego z
II. Spalanie niecałkowite trujące
C2 H 4 + 2O2 → 2CO + 2H 2O
III. Spalanie niecałkowite
2C2 H 4 + 2O2 → 4C + 4H 2O
wiązań i przyłączeniu atomów
przykłady reakcji przyłączania na kolejnej stronie
przykład 1
2 – di
H
H
C
+ Br – Br H
C
H
H
eten
brom
H
H
C
C
Br
Br
3 – tri
H
4 – tetra
dibromoetan
C2H4 + Br2 C2H4Br2
Podobny przebieg ma reakcja
z innymi substancjami:
przykład 2
Cl2, I2, Br2, F2, H2
H
H
C
+ H – Cl H
C
H
H
chlorowodór
eten
H
H
C
C
Cl
H
HCl, HI, HBr, HF
H
chloroetan
C2H4 + HCl C2H5Cl
•
ulega reakcji polimeryzacja (wiązanie podwójne ulega rozerwaniu, a cząsteczki etenu łączą
się w długie łańcuchy)
H
H
H
C
C
H
H
monomer
H
H
n C
C
H
H
etylen
C
+
H
H
H
C
C
+
H
H
monomer
p,T
katalizator
H
C
H
+ ….
p,T
katalizator
monomer
H
H
C
C
H
H
polietylen
….
H
H H
H
H
H
C
C C
C
C
C
H
H H
H
H
H
polimer
n – liczba cząsteczek związku chemicznego
(monomerów)
n
….
11. Charakterystyka – ETYNU (acetylen)
wzór sumaryczny
wzór strukturalny
wzór półstrukturalny
CH ≡ CH
H −C ≡ C − H
C2 H 2
model cząsteczki
otrzymywanie etynu (acetylenu)
Obserwacja: Wydziela się bezbarwny gaz,
bezwonny, nierozpuszczalny w wodzie.
woda
+ etanol
+ fenoloftaleina
Pojawia się malinowe zabarwienie.
Wniosek: ten gaz to etyn (acetylen).
woda
węglik wapnia
Zabarwienie malinowe świadczy o odczynie
zasadowego spowodowanym pojawieniem się
wodorotlenku wapnia.
CaC 2 + 2 H 2 O → Ca (OH ) 2 + C 2 H 2
węglik wapnia
(karbid)
Właściwości:
alkyn
•
gaz
•
bezbarwny
•
bezwonny
•
nierozpuszczalny w wodzie
•
palny
•
ulega 3 reakcjom spalania
•
ulega reakcji przyłączania (addycji)
C
2C2 H 2 + O2 → 4C + 2H 2O
przykład 2
H + Br – Br H
C
C
H
C
C
H + 2Br – Br H
Br
etyn
etyn
(acetylen)
2C2 H 2 + 3O2 → 4CO + 2 H 2O
H
C
wodorotlenek
wapnia
2C2 H2 + 5O2 → 4CO2 + 2H 2O
•
przykład 1
H
woda
brom
C2H2 + Br2 C2H2Br2
Br
dibromoeten
etyn
brom
C2H2 + 2Br2 C2H2Br4
Br
Br
C
C
H
Br Br
tetrabromoetyn
•
ulega reakcji polimeryzacji (wiązanie potrójne ulega rozerwaniu, a cząsteczki etynu łączą się
w długie łańcuchy)
p,T
katalizator
n
H
C
C
H
acetylen
H
H
C
C
H
H
n – liczba cząsteczek związku chemicznego
(monomerów)
n
poliacetylen
zastosowanie etynu (acetylenu)
•
produkcja tworzyw sztucznych
•
palniki acetylenowo – tlenowe (temperatura płomienia acetylenu jest bardzo wysoka około
3000OC, dlatego gaz ten stosuje się do cięcia i spawania metali