Ogłoszenie o wyniku postępowania

Transkrypt

Ogłoszenie o wyniku postępowania
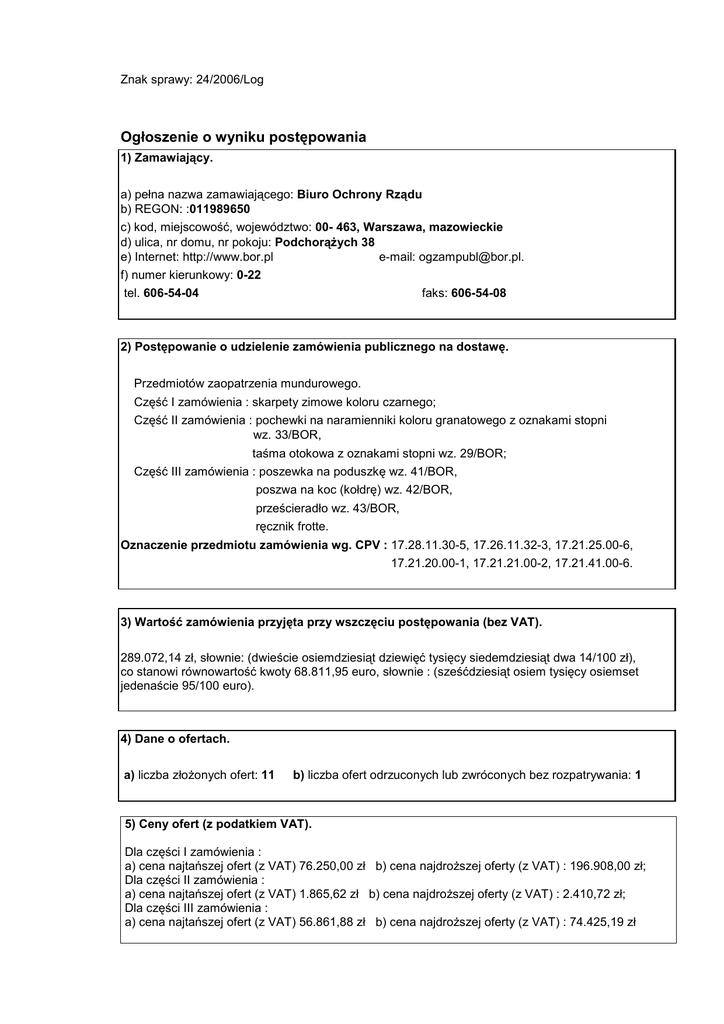
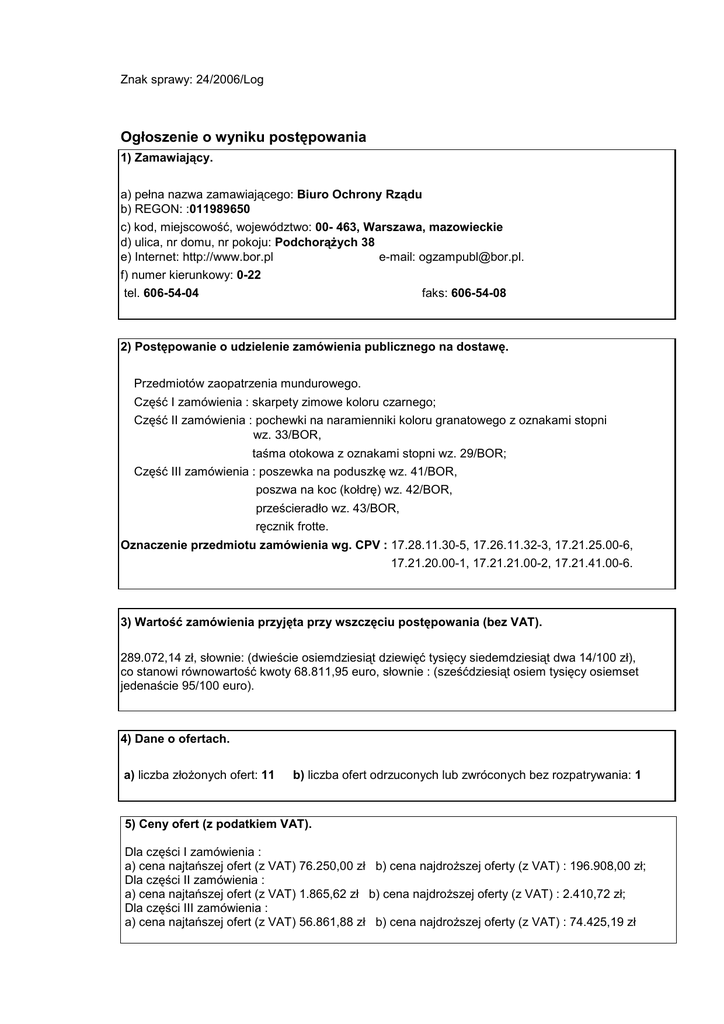
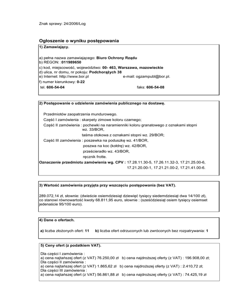
Znak sprawy: 24/2006/Log
Ogłoszenie o wyniku postępowania
1) Zamawiający.
a) pełna nazwa zamawiającego: Biuro Ochrony Rządu
b) REGON: :011989650
c) kod, miejscowość, województwo: 00- 463, Warszawa, mazowieckie
d) ulica, nr domu, nr pokoju: PodchorąŜych 38
e) Internet: http://www.bor.pl
e-mail: [email protected].
f) numer kierunkowy: 0-22
tel. 606-54-04
faks: 606-54-08
2) Postępowanie o udzielenie zamówienia publicznego na dostawę.
Przedmiotów zaopatrzenia mundurowego.
Część I zamówienia : skarpety zimowe koloru czarnego;
Część II zamówienia : pochewki na naramienniki koloru granatowego z oznakami stopni
wz. 33/BOR,
taśma otokowa z oznakami stopni wz. 29/BOR;
Część III zamówienia : poszewka na poduszkę wz. 41/BOR,
poszwa na koc (kołdrę) wz. 42/BOR,
prześcieradło wz. 43/BOR,
ręcznik frotte.
Oznaczenie przedmiotu zamówienia wg. CPV : 17.28.11.30-5, 17.26.11.32-3, 17.21.25.00-6,
17.21.20.00-1, 17.21.21.00-2, 17.21.41.00-6.
3) Wartość zamówienia przyjęta przy wszczęciu postępowania (bez VAT).
289.072,14 zł, słownie: (dwieście osiemdziesiąt dziewięć tysięcy siedemdziesiąt dwa 14/100 zł),
co stanowi równowartość kwoty 68.811,95 euro, słownie : (sześćdziesiąt osiem tysięcy osiemset
jedenaście 95/100 euro).
4) Dane o ofertach.
a) liczba złoŜonych ofert: 11
b) liczba ofert odrzuconych lub zwróconych bez rozpatrywania: 1
5) Ceny ofert (z podatkiem VAT).
Dla części I zamówienia :
a) cena najtańszej ofert (z VAT) 76.250,00 zł b) cena najdroŜszej oferty (z VAT) : 196.908,00 zł;
Dla części II zamówienia :
a) cena najtańszej ofert (z VAT) 1.865,62 zł b) cena najdroŜszej oferty (z VAT) : 2.410,72 zł;
Dla części III zamówienia :
a) cena najtańszej ofert (z VAT) 56.861,88 zł b) cena najdroŜszej oferty (z VAT) : 74.425,19 zł
6) Wybrano następująca ofertę.
Dla części I zamówienia :
a) firma : „ASTOP” a. A. Jaworowscy Sp. jawna;
b) REGON : 05222295;
c) kod, miejscowość, województwo : 15-157 Białystok, podlaskie;
d) ulica, nr domu : Rycerska 28;
e) internet :
e-mail :
f) numer telefonu kierunkowy : 0-85
telefon : 676 23 85
faks : 676 23 85.
Dla części II zamówienia :
a) firma : Zakład Produkcyjno Usługowy „GALEX”;
b) REGON : 090513034;
c) kod, miejscowość, województwo : 85-449 Bydgoszcz, kujawsko-pomorskie;
d) ulica, nr domu : Pelikanowa 15;
e) internet :
e-mail :
f) numer telefonu kierunkowy : 0-52
telefon : 372 35 66
faks : 372 35 66.
Dla części III zamówienia :
a) firma : „BIK MODA” Kinga Roratowska;
b) REGON : 012479499;
c) kod, miejscowość, województwo : 01-864 Warszawa, mazowieckie;
d) ulica, nr domu : Kochanowskiego 1;
e) internet :
e-mail :
f) numer telefonu kierunkowy : 0-22
telefon : 633 37 29
faks : 633 37 30.
7) Cena wybranej oferty (z podatkiem VAT).
Dla części I zamówienia :
76.250,00 zł, słownie : (siedemdziesiąt sześć tysięcy dwieście pięćdziesiąt złotych).
Dla części II zamówienia :
1.865,62 zł, słownie : (jeden tysiąc osiemset sześćdziesiąt pięć 62/100 złotych).
Dla części III zamówienia :
56.861,88 zł, słownie : (pięćdziesiąt sześć tysięcy osiemset sześćdziesiąt jeden 88/100 złotych).