składanie reklamacji - uszkodzenie pojemnika

Transkrypt

składanie reklamacji - uszkodzenie pojemnika
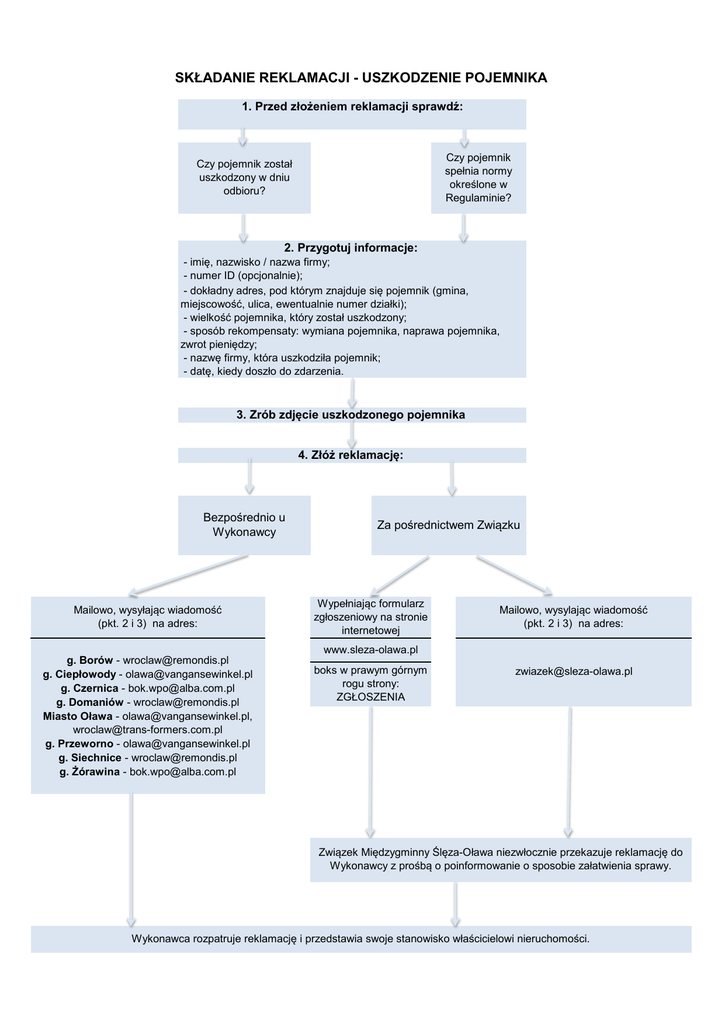
SKŁADANIE REKLAMACJI - USZKODZENIE POJEMNIKA
1. Przed złożeniem reklamacji sprawdź:
Czy pojemnik
spełnia normy
określone w
Regulaminie?
Czy pojemnik został
uszkodzony w dniu
odbioru?
2. Przygotuj informacje:
- imię, nazwisko / nazwa firmy;
- numer ID (opcjonalnie);
- dokładny adres, pod którym znajduje się pojemnik (gmina,
miejscowość, ulica, ewentualnie numer działki);
- wielkość pojemnika, który został uszkodzony;
- sposób rekompensaty: wymiana pojemnika, naprawa pojemnika,
zwrot pieniędzy;
- nazwę firmy, która uszkodziła pojemnik;
- datę, kiedy doszło do zdarzenia.
3. Zrób zdjęcie uszkodzonego pojemnika
4. Złóż reklamację:
Bezpośrednio u
Wykonawcy
Mailowo, wysyłając wiadomość
(pkt. 2 i 3) na adres:
g. Borów - [email protected]
g. Ciepłowody - [email protected]
g. Czernica - [email protected]
g. Domaniów - [email protected]
Miasto Oława - [email protected],
[email protected]
g. Przeworno - [email protected]
g. Siechnice - [email protected]
g. Żórawina - [email protected]
Za pośrednictwem Związku
Wypełniając formularz
zgłoszeniowy na stronie
internetowej
Mailowo, wysylając wiadomość
(pkt. 2 i 3) na adres:
www.sleza-olawa.pl
boks w prawym górnym
rogu strony:
ZGŁOSZENIA
[email protected]
Związek Międzygminny Ślęza-Oława niezwłocznie przekazuje reklamację do
Wykonawcy z prośbą o poinformowanie o sposobie załatwienia sprawy.
Wykonawca rozpatruje reklamację i przedstawia swoje stanowisko właścicielowi nieruchomości.