wykład II: Niezawodność elementów i systemów

Transkrypt

wykład II: Niezawodność elementów i systemów
II. Niezawodność elementów i systemów (J. Paska)
Pojęcia podstawowe
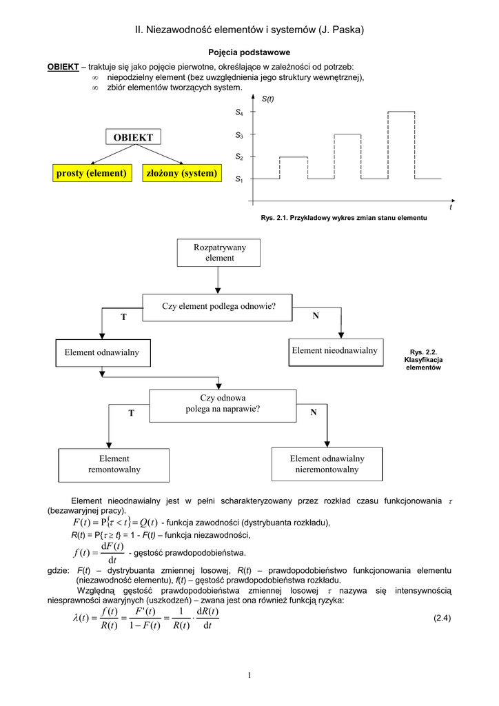
OBIEKT – traktuje się jako pojęcie pierwotne, określające w zależności od potrzeb:
• niepodzielny element (bez uwzględnienia jego struktury wewnętrznej),
• zbiór elementów tworzących system.
S(t)
S4
S3
OBIEKT
S2
złożony (system)
prosty
prosty (element)
(element)
S1
t
Rys. 2.1. Przykładowy wykres zmian stanu elementu
Rozpatrywany
element
Czy element podlega odnowie?
N
T
Element nieodnawialny
Element odnawialny
T
Czy odnowa
polega na naprawie?
Rys. 2.2.
Klasyfikacja
elementów
N
Element odnawialny
nieremontowalny
Element
remontowalny
Element nieodnawialny jest w pełni scharakteryzowany przez rozkład czasu funkcjonowania τ
(bezawaryjnej pracy).
F (t ) = P{τ < t} = Q (t ) - funkcja zawodności (dystrybuanta rozkładu),
R(t) = P{τ ≥ t} = 1 - F(t) – funkcja niezawodności,
f (t ) =
dF (t )
- gęstość prawdopodobieństwa.
dt
gdzie: F(t) – dystrybuanta zmiennej losowej, R(t) – prawdopodobieństwo funkcjonowania elementu
(niezawodność elementu), f(t) – gęstość prawdopodobieństwa rozkładu.
Względną gęstość prawdopodobieństwa zmiennej losowej τ nazywa się intensywnością
niesprawności awaryjnych (uszkodzeń) – zwana jest ona również funkcją ryzyka:
λ (t ) =
f (t )
F ' (t )
1 dR(t )
=
=
⋅
R(t ) 1 − F (t ) R(t ) dt
(2.4)
1
II. Niezawodność elementów i systemów (J. Paska)
λ (t )
Rys. 2.3. Typowy
przebieg funkcji
intensywności
uszkodzeń: I – okres
eksploatacji wstępnej
(oswajania,
dojrzewania), II – okres
normalnej (właściwej)
eksploatacji, III – okres
starzenia się obiektu
I
II
III
0
t
Poza powyższymi charakterystykami (wskaźnikami) niezawodności elementu nieodnawialnego (R(t),
λ(t)) są podawane:
•
Skumulowana intensywność niesprawności awaryjnych (uszkodzeń), zwana też skumulowaną funkcją
ryzyka
t
Λ(t ) = ∫ λ (t )dt
(2.5)
0
Zachodzi związek
 t

R (t ) = R (0) exp  − ∫ λ (t )dt  = R (0) exp[− Λ(t )]
 0

(2.6)
Najczęściej zakłada się, że w chwili rozpoczęcia eksploatacji t = 0 element jest w stanie zdatności,
czyli że R(0) = 1. Wtedy
R (t ) = exp[− Λ(t )], Λ(t ) = − ln R (t )
(2.7)
• Średnia wartość funkcji ryzyka (intensywności uszkodzeń) w przedziale [0, t]
λ (t ) =
•
Λ(t )
t
(2.8)
Pozostały oczekiwany czas poprawnej pracy (do uszkodzenia)
t
∞
1
r (t ) =
R(t )dt =
R(t ) ∫t
E[τ ] − ∫ R(t )dt
0
(2.9)
R(t )
gdzie E[τ] jest oczekiwanym czasem funkcjonowania (poprawnej pracy) do uszkodzenia.
Pozostały oczekiwany czas poprawnej pracy lepiej charakteryzuje niezawodność elementu od
oczekiwanego czasu funkcjonowania E[τ]. Dla t = 0: r(t) = r(0) = E[τ], zaś dla t > 0: r(t) ma zwykle przebieg
malejący, gdyż w rzeczywistych urządzeniach zachodzą procesy starzeniowe.
Element odnawialny ma w ogólnym przypadku cztery stany podstawowe: funkcjonowania, remontu
awaryjnego, remontu profilaktycznego, rezerwy.
Jeśli pominie się stany remontu profilaktycznego i rezerwy to modelem procesu eksploatacji elementu
odnawialnego jest proces odnowy o skończonym nie zerowym czasie odnowy (rys. 2.4).
Rys. 2.4.
Przykład
procesu
odnowy z
niezerowym
czasem
odnowy
T1
t0
T3
T2
t2
t1
t3
Θ1
t4
t5
t
Θ2
Ciąg t1, t3, ... , t2k+1, ... tworzą chwile kolejnych uszkodzeń, natomiast ciąg t2, t4, ... , t2k, ... chwile
odnowień.
Są tu również dwa ciągi zmiennych losowych T1, T2, ... , Tk, ... oraz Θ1, Θ2, ... , Θk, ... określające
czasy funkcjonowania (pracy) i czasy odnowy. Ciągi te tworzą dwa strumienie zdarzeń: strumień
niesprawności (uszkodzeń) i strumień odnów.
2
II. Niezawodność elementów i systemów (J. Paska)
Rzeczywisty proces odnowy można zatem analizować za pomocą dwóch procesów losowych:
o {N ( t ), t ≥ 0} , wyrażającego liczbę uszkodzeń w przedziale czasowym [0, t];
o
{m(t ), t ≥ 0} , wyrażającego liczbę odnowień w przedziale czasowym [0, t].
Gdy zmienne losowe Tk mają ten sam rozkład o parametrach E[T] i
σT
oraz zmienne losowe Θk o
parametrach E[Θ] i σΘ (strumienie rekurentne), wówczas wskaźnikiem niezawodności elementu, którego
modelem niezawodnościowym procesu eksploatacji jest rzeczywisty proces odnowy z niezerowym czasem
odnowy jest współczynnik gotowości.
Definiuje się go jako prawdopodobieństwo, że w chwili t obiekt znajduje się w stanie funkcjonowania
(zdatności)
∞
i
 i
K (t ) = ∑ P ∑ (Tk + Θk ) < t < ∑ (Tk + Θk ) +Ti +1 }
i =1  k = 0
k =0
(2.15)
Gdy wartość t jest dostatecznie duża można posługiwać się asymptotycznym współczynnikiem gotowości
K = lim K (t ) =
t →∞
E[T ]
E[T ] + E[Θ]
(2.16)
Dla przypadku, gdy czas funkcjonowania i czas odnowy mają rozkłady wykładnicze, mamy:
K = lim
t →∞
µ + λ exp[−( µ + λ )t ]
µ
=
µ +λ
µ +λ
(2.17)
gdzie: µ - intensywność odnowy, λ - intensywność uszkodzeń.
Rozkłady zmiennych losowych stosowane w modelach niezawodnościowych elementów i systemów
2
1,8
1,6
1,4
r(t)
1,2
lambda
1
Rys. 2.5. Przebiegi funkcji R(t), λ (t),
Λ(t) i r(t)
w przypadku rozkładu EXP(b)
Lambda
0,8
R(t)
0,6
0,4
0,2
0
t
0
0,5
1
1,5
2
2,5
3
3,5
4
4,5
5
2
1,8
Rys. 2.6. Przebiegi funkcji
R(t), Λ (t) i λ (t) w przypadku
rozkładu WEI(b, v),
przy b = 1 i parametrze
kształtu v > 1 (v = 2,5) i v < 1
(v = 0,5)
1,6
lambda, n = 2,5
1,4
Lambda, n = 2,5
R(t), n = 2,5
1,2
lambda, n = 0,5
1
Lambda, n = 0,5
0,8
R(t), n = 0,5
0,6
0,4
0,2
0
t /b
0
0,2
0,4
0,6
0,8
3
1
1,2
1,4
1,6
1,8
2
II. Niezawodność elementów i systemów (J. Paska)
Tablica 2.1. Charakterystyki najczęściej stosowanych rozkładów
Rozkład
Wykładniczy EXP(b)
T ∈ 〈0, +∞), b > 0
Weibulla WEI(b, ν)
T ∈ 〈0, +∞), b > 0, ν >
0
Wartości
najmniejszych
MIV(b0, t0)
b0 > 0, t0 ≥ 0
R (t)
exp(− t / b )
λ (t)
Λ (t)
r (t)
1/ b
t /b
b
exp(-(t/b)ν )
ν
(t / b )ν −1
b
(t / b )ν
exp[- exp((t - t 0 )/b0 )]
1
exp((t − t 0 ) / b0 )
b0
exp((t − t 0 ) / b0 )
Potęgowy POW (b, δ)
T ∈ 〈0, b), b > 0, δ > 0
1−
Γ ( p, t / b )
Γ( p )
(t / b )
t −µ 
0,5 − Φ

 σ 
Logarytmo – normalny
LNOR(µ1, σ1)
T ∈ 〈0, +∞),µ1 ≥ 0, σ1 >
0
 ln(t ) − µ1 

0,5 − Φ
 σ1

Γ(p) – funkcja gamma Eulera:
Γ( p ) = ∫ x
p −1
exp(− (t / b )){ b [Γ( p ) − Γ( p, t / b )]}
−1
p −1
t −µ  
 t − µ  
ϕ
 σ 0,5 − Φ
 
 σ  
 σ  
 ln(t ) − µ1  
 σ1t
ϕ
 σ1
 
−1

 ln(t ) − µ1  
 
0,5 − Φ
σ
1

 

1
2Π
exp(−
]
− ln (1 − Γ( p, t / b ) / Γ( p ))
1

 δ
+
(t / b)δ +1 − (t / b) 

δ + 1 δ + 1

b [ p − (t / b ) +
∞
∑ Γ( p + i + 1, t / b) / Γ( p + i + 1)] ×
i =0

 t − µ 
− ln 0,5 − Φ

 σ 

−1

 ln (t ) − µ 1 

− ln 0,5 − Φ
 σ1


x
exp(− x)dx ; Γ(p, x) – niekompletna (niepełna) funkcja gamma Eulera: Γ( p, x) = ∫ t p −1 exp(−t )dt ;
0
ϕ ( x) =
δ
b [1 − (t / b)δ ]−1
[1 − Γ( p, t / b) / Γ( p )]−1
Normalny NOR(µ, σ)
µ ≥ 0, σ > 0
∞
[
]
iν +1
∞


ν (t / b)
Γ(1 + 1 / ν) − b∑ (−1)

i!(iν + 1) 
i =0

− ln 1 − (t / b )
δ
(t / b) δ −1 [1 − (t / b) δ ] −1
b
1 - (t/b) δ
Gamma GAM(b, p)
T ∈ 〈0, +∞), b > 0, p >
0
ϕ(⋅) – funkcja Gaussa:
[
b exp − (t / b) ν
0
2
x
x
) , Φ(⋅) – całka Laplace’a: Φ ( x) = ∫ ϕ ( z )dz
2
0
4
II. Niezawodność elementów i systemów (J. Paska)
Procesy losowe i strumienie zdarzeń jako modele niezawodnościowe
Proces losowy jest to rodzina zmiennych losowych określonych na wspólnej przestrzeni
probabilistycznej (V, F, P), przyporządkowanych poszczególnym elementom pewnego zbioru T. Zbiór T
może być interpretowany jako zbiór chwil i wówczas dla procesu losowego używa się także określenia
proces stochastyczny.
Można zatem proces losowy określić jako mierzalną ze względu na ciało F – funkcję:
X :V ×T → S ⊂ R
(2.36)
Zbiór S wartości przyjmowanych przez proces nazywa się zbiorem stanów procesu, sam zaś proces zapisuje
się zwykle w postaci: {X (t ), t ∈ T }
Tablica 2.2. Klasyfikacja procesów losowych
Zbiór stanów S
Co najwyżej przeliczalny (dyskretny)
Przedział (ciągły)
Co najwyżej przeliczalny (dyskretny)
Łańcuch losowy
Ciąg (szereg) losowy
Punktowy proces losowy
Przedział (ciągły)
Proces losowy z czasem ciągłym
(o dyskretnej przestrzeni stanów)
Zbiór T
Opis procesu losowego może polegać na podaniu dystrybuant:
Ft ( x) = P[ X (t ) < x], x ∈ R, t ∈ T
(2.37)
charakteryzujących rozkład prawdopodobieństwa w poszczególnych chwilach zbioru T. Dystrybuanty te nie
zawierają jednak wyczerpującej informacji o procesie.
Procesy stacjonarne (w węższym sensie lub ściśle stacjonarne) są to takie procesy, których
charakterystyki probabilistyczne nie zmieniają się przy zmianie punktu odniesienia na osi czasu. Inaczej
mówiąc, (bezwarunkowe) prawdopodobieństwo, że X(t) < y, jest takie samo jak prawdopodobieństwo, że X(t
+ τ) < y dla każdego τ
P{X (t ) < y} = P{X (t + τ ) < y}
(2.40)
Proces jest stacjonarny w szerszym sensie lub słabo stacjonarny, gdy ma stałą wartość oczekiwaną, a
jego funkcja korelacyjna zależy wyłącznie od różnicy argumentów:
m(t ) = m = const.
(2.41)
K (t1 , t2 ) = k (t2 − t1 ) = k (τ ),τ = t2 − t1
(2.42)
Proces stochastyczny nazywamy ergodycznym, jeżeli wszystkie jego realizacje są „typowe” w tym
*
sensie, że znajomość pojedynczej realizacji X (t) na nieskończonym (w praktyce dostatecznie długim)
odcinku czasowym pozwala wyznaczać rozkład prawdopodobieństwa w innym, hipotetycznie identycznym
procesie X(t) w myśl zależności:
P{X (τ ) < y} = lim
T →∞
1
{
µ{τ i } : X ∗ (t ) < y}
T
(2.43)
gdzie: µ{τi} - łączna długość odcinków czasowych z przedziału [0, T], kiedy było X (t) < y.
Wyobraźmy sobie, że informacja I, jaką mamy o przebiegu procesu X(t), składa się z informacji I*, że
w chwili t0 było X(t0) = x, oraz z informacji I** dotyczącej tego, co się działo w chwilach wcześniejszych od t0.
Jeżeli przy posiadaniu informacji I* informacje I** są zbędne dla wyznaczenia rozkładu zmiennej losowej X(t0
+ τ) dla chwil późniejszych (τ > 0), to proces nazywamy procesem Markowa.
Tak więc mamy:
*
P{X (t0 + τ ) < y}I * i I * *} = P{X (t 0 + τ ) < y I *}= P{X (t0 + τ ) < y X (t 0 ) = x}
Bardziej
(2.45)
sformalizowana definicja procesu Markowa jest następująca. Proces losowy
nazywa się procesem Markowa, gdy dla dowolnego skończonego ciągu chwil
{X (t0 + τ ), t ∈ T }
t1 < t2 < ... < tn (t1, t2, ... , tn∈T) i dowolnych liczb rzeczywistych x1, x2, ..., x n zachodzi równość:
P[ X (t n ) < t n X (t n −1 ) = x n −1 , X (t n − 2 ) = x n − 2 ,..., X (t1 ) = x1 ] =
= P[ X (t n ) = x n X (t n −1 ) = x n −1 ]
(2.46)
Zależność powyższa oznacza, że warunkowy rozkład prawdopodobieństwa zmiennej losowej X(tn)
zależy wyłącznie od rozkładu prawdopodobieństwa jednej ze zmiennych losowych X(tn-1). Właściwości
procesu Markowa w chwili tn nie zależą od wartości, jakie proces przyjmował w chwilach t1, t2, ..., tn-2. Proces
Markowa jest więc w pełni scharakteryzowany przez dystrybuantę warunkową:
F(s, t, x, y) = P[X(t) < xX(s) = y], s < t
(2.47)
albo też łączną dystrybuantę wektora losowego (X(s), X(t)) wraz z dystrybuantą „początkową”
F(s, y) = P[X(s) < y].
5
II. Niezawodność elementów i systemów (J. Paska)
W analizie procesów Markowa zasadniczą rolę odgrywa funkcja zwana prawdopodobieństwem
przejścia, która jest określona dla dowolnych chwil s i t (s < t; s, t ∈T) oraz dla dowolnej liczby rzeczywistej y
i dowolnego zbioru borelowskiego B, w następujący sposób:
P(s, t, B, y) = P[X(t)∈BX(s) = y]
(2.48)
Proces Markowa {X (t ), t ∈ T } jest jednorodny, gdy dla dowolnych s, t ∈ T (s < t)
prawdopodobieństwa przejścia zależą tylko od różnicy t – s = τ, tzn.:
(2.49)
P(s, t, B, y) = P(τ, B, y)
W zastosowaniach praktycznych, w szczególności w zagadnieniach niezawodnościowych,
najistotniejszą rolę odgrywają punktowe procesy Markowa określone na przedziale T = [t0, ∞] z przestrzenią
stanów S = {0, 1, 2, ...}. Realizacje punktowego procesu Markowa są funkcjami przedziałami stałymi, a ich
wykresy są liniami schodkowymi.
Dla punktowego procesu Markowa, prawdopodobieństwa przejścia
pij(s, t) = P[X(t) = jX(s) = i], t ≥ s, i,j = 0, 1, 2, ...
(2.50)
spełniają związki:
pij ( s, t ) =
∞
∑ pik ( s, t1 ) p kj (t1 , t 2 ), ( s < t1 < t )
(2.51)
k =0
zwane równaniami Smoluchowskiego – Chapmana – Kołmogorowa.
Ponadto dla każdego i (i = 0, 1, 2, ...) zachodzi równość:
∞
∑ p ( s, t ) = 1
(2.52)
ij
j =0
Wprowadzając funkcje λij (t ) zwane intensywnościami przejścia procesu
λ ij (t ) = lim
∆t →0
1
pij (t , t + ∆t ), i, j = 0, 1, 2, ..., i ≠ j
∆t
(2.53)
uzyskuje się układ równań różniczkowych o zmiennych współczynnikach:
∧ dP
i
i∈S
dt
przy czym:
= λii (t ) Pi (t ) + ∑ λ ji (t ) Pj (t )
(2.54)
j∈S
i≠ j
λii (t ) = −∑ λij (t ) .
j ∈S
i≠ j
gdzie: Pi(t) – prawdopodobieństwo bezwarunkowe przebywania procesu w chwili t w stanie i,
λij(t) - intensywność przejścia procesu w chwili t ze stanu i do stanu j.
Gdy proces Markowa jest jednorodny, to intensywności przejścia procesu są niezależne od czasu
λij(t) = λij = const., i ≠ j i uzyskuje się układ równań różniczkowych o stałych współczynnikach:
∧
i∈S
dPi (t )
= λ ii Pi (t ) + ∑ λ ji Pj (t )
dt
j∈S
(2.55)
i≠ j
dla rozwiązania którego jest potrzebna znajomość prawdopodobieństw początkowych Pi(0), i∈S.
Układ powyższy można zapisać w postaci wektorowej, jako:
d
P (t ) = ΛP (t )
dt
(2.56)
przy czym: P(t) = [P1(t), P2(t), ..., Pm(t)]m ×1
 m
 − ∑ λ j1
 j =2
 λ
21
Λ= 

 .

 λ m1

λ12
m
− ∑ λ j2
j =1
j≠2
.
λm 2
 gdzie: P(t) - wektor kolumnowy prawdopodobieństw
przebywania procesu w poszczególnych

stanach, Λ - macierz intensywności przejść, m = card

S – liczność zbioru S (liczba stanów procesu).

...
λ2m 


.
.
m −1

... − ∑ λ jm 
j =1

...
λ1m
Macierz intensywności przejść jest macierzą kwadratową. Nosi ona nazwę macierzy guasi –
stochastycznej. Dla jej każdej kolumny jest spełniona zależność:
6
∧ ∑ λ ji
j∈S j =1
=0
(2.57)
II. Niezawodność elementów i systemów (J. Paska)
Układ równań Kołmogorowa ma rozwiązanie postaci
P (t ) = P (0) exp( Λt )
gdzie
a
P(0)
jest
wektorem
exp( Λt ) = 0 + Λt + Λ2
kolumnowym
prawdopodobieństw
początkowych
(2.58)
stanów procesu,
2
t
+ ... .
2
Jeśli obliczenie wartości powyższego rozwinięcia macierzowego jest złożone można posłużyć się
przekształceniem Laplace’a. Wyjściowe równanie macierzowe przyjmuje postać
sP(s) - P(0) = ΛP(s)
(2.59)
-1
(2.60)
lub P(s) = [s1 - Λ] P(0)
gdzie: 1 - macierz jedynkowa o wymiarach m×m.
Poszukiwany wektor prawdopodobieństw oblicza się za pomocą odwrotnego przekształcenia
-1
-1
Laplace’a. P(t) = L [s1 - Λ] P(0)
(2.61)
-1
gdzie: L - operator przekształcenia odwrotnego.
W wielu zastosowaniach praktycznych mają znaczenie tylko wartości asymptotyczne
prawdopodobieństw, tj. wartości P(t) przy t → ∞. Jeśli przyjąć, że wartości te w ogóle istnieją (proces jest
ergodyczny) to równania różniczkowe przekształcają się w równania algebraiczne. Zatem dla procesów o
skończonej liczbie stanów i niezerowej macierzy intensywności przejść istnieją graniczne (stacjonarne)
prawdopodobieństwa stanów i mogą być one obliczone jako rozwiązania układu równań liniowych:
0 = ΠΛ
(2.62)
gdzie: Π - wektor kolumnowy granicznych (stacjonarnych) prawdopodobieństw stanów procesu.
Dla wykluczenia nieoznaczności układu należy wziąć pod uwagę m - 1 równań i uzupełnić je
m
równaniem:
∑ Pi
i =1
=1
(2.63)
Na podstawie grafu stanów i przejść tworzy się układ równań różniczkowych korzystając z
następującej reguły mnemotechnicznej:
„pochodna
dPi (t )
dla stanu „i” jest równa sumie algebraicznej członów tworzonych przez iloczyn
dt
prawdopodobieństwa tego stanu, z którego gałąź (łuk) wychodzi oraz intensywności przejścia
odpowiadającej danej gałęzi. Liczba członów sumy jest równa liczbie gałęzi skierowanych łączących stan
„i” z innymi węzłami grafu. Jeżeli gałąź (łuk) jest skierowana do stanu „i” to człon ma znak plus, zaś w
przypadku odwrotnym znak minus”.
Zastosowanie reguły najlepiej zilustruje przykład. Niech S = {1, 2, 3, 4} (rys. 2.9).
Układ równań Kołmogorowa przyjmie wówczas postać:
λ14
λ41
4
λ34
1
λ21
λ24
λ42
λ43
3
2
dP1 (t )
= −λ14 P1 (t ) + λ 21 P2 (t ) + λ 41 P4 (t )
dt
dP2 (t )
= −(λ 21 + λ 24 ) P2 (t ) + λ32 P3 (t ) + λ 42 P4 (t )
dt
dP3 (t )
= −( λ34 + λ32 ) P3 (t ) + λ43 P4 (t )
dt
dP4 (t )
= λ14 P1 (t ) + λ 24 P2 (t ) + λ34 P3 (t ) − (λ 41 + λ 42 + λ 43 ) P4 (t )
dt
λ32
Rys. 2.9. Graf stanów i przejść obiektu 4-stanowego
zaś zapis macierzowy jest następujący:
− λ 14
 P1 (t ) 
 P (t )

d
2
, Λ =  0
P (t ) = ΛP (t ) , P (t ) = 
 P3 (t ) 
 0
dt



 P4 (t )
 λ 14
λ 21
0
λ 41


− (λ 21 + λ 24 )
λ 32
λ 42


0
− (λ 34 + λ 32 )
λ 43

λ 24
λ 34
− (λ 41 + λ 42 + λ 43 )
Coraz szersze zastosowanie w badaniach niezawodności znajdują procesy półmarkowskie (semi –
Markowa). Stanowią one uogólnienie łańcuchów i jednorodnych procesów Markowa. W procesach
7
II. Niezawodność elementów i systemów (J. Paska)
półmarkowskich nie jest wymagane założenie co do postaci rozkładów prawdopodobieństw czasów
przebywania w poszczególnych stanach. Jeżeli założyć, że w danym momencie czasu proces znajdował się
w jednym ze stanów, np. Si, to dalsza ewolucja procesu jest następująca: w losowej chwili Θ0 układ
przechodzi skokowo do nowego stanu, np. Sj. Czas Θ0 przebywania w stanie Si do przejścia w stan Sj jest
zmienną losową o dowolnym rozkładzie opisanym przez dystrybuantę Gij(t); przejście ze stanu i do stanu j
zachodzi z prawdopodobieństwem pij > 0 (przy czym
∑p
ij
= 1 ), jeżeli ze stanu j nastąpi przejście do stanu
j
k to czas przebywania w stanie j, Θ1 jest zmienną losową o dowolnym rozkładzie opisanym dystrybuantą
Gjk(t), itd. Przejście ze stanu i do stanu j w procesie semi – Markowa następuje zatem jakby w dwóch
etapach: w pierwszym zostaje określony losowy moment przejścia a w drugim skokowe przejście z jednego
stanu w drugi (jak w łańcuchu Markowa).
Pojęciem, na które dość często napotyka się w teorii niezawodności jest pojęcie strumienia zdarzeń.
Strumień zdarzeń jest szczególnym punktowym procesem losowym {N(t)}, t∈T}, którego przestrzeń stanów
stanowi zbiór liczb naturalnych i liczba zero. Jest on określony przez chwile ti, w których obserwuje się
zdarzenia, i liczby ni wspólnie pojawiających się zdarzeń.
Zdarzenia tworzące strumień zdarzeń mogą być, w ogólnym przypadku, różne. Najczęściej jednak
rozpatruje się strumienie jednorodnych zdarzeń. W teorii niezawodności rozpatruje się zatem strumienie
niesprawności i strumienie odnów.
Struktury niezawodnościowe systemów
Jeżeli niezawodność elementów wyznacza jednoznacznie niezawodność systemu, można mówić, że
określona jest struktura niezawodnościowa systemu. Struktura niezawodnościowa systemu przedstawia
zatem sposób wzajemnych powiązań elementów określających zależność uszkodzeń systemu od uszkodzeń
jego elementów.
Strukturę niezawodnościową danego systemu (obiektu złożonego) opisuje się tzw. funkcją strukturalną
systemu. W odniesieniu do systemów dwustanowych w sensie niezawodności, składających się z n
elementów, funkcję strukturalną określa się jako funkcję Φ X (t ) wektora zerojedynkowego X(t) stanu
systemu przy założeniu, że stan systemu jest w pełni określony przez stany jego elementów xi(t), tj.:
Φ X (t ) = Φ x1 (t ), x 2 (t ), K , x n (t )
(2.73)
[
gdzie:
]
[ ] [
]
[xi (t )], i = 1, 2, ..., n - funkcja binarna określająca stan i-tego elementu; przyjmuje wartość l, gdy
element jest zdatny, oraz 0, gdy element jest niezdatny.
Z kolei funkcja Φ X (t ) przyjmuje wartość l, gdy system jest zdatny i 0, gdy system jest niezdatny.
Struktury niezawodnościowe spotykane w praktyce można podzielić na:
a) podstawowe, tj. szeregowe, równoległe i progowe;
szeregowe
Mówimy, że system ma szeregową strukturę niezawodnościową, jeżeli niesprawność dowolnego
elementu powoduje niesprawność całego systemu. Z definicji struktury szeregowej wynika, że obiekt jest
sprawny wtedy i tylko wtedy, kiedy wszystkie jego elementy są sprawne.
[
]
1
Rys. 2.10. Szeregowa struktura niezawodnościowa
2
n
Jeżeli uszkodzenia poszczególnych elementów systemu są zdarzeniami niezależnymi, to
prawdopodobieństwo, że wszystkie elementy będą nieuszkodzone (czyli, że system jest zdatny) – funkcja
niezawodności systemu, jest równe iloczynowi współczynników (prawdopodobieństw) zdatności wszystkich
elementów:
Rs (t ) = P(T ≥ t ) = P (T1 ≥ t , T2 ≥ t , ..., Tn ≥ t ) =
= P(T1 ≥ t )P(T2 ≥ t )...P(Tn ≥ t ) =
n
∏
i =1
Ri (t ) =
n
(2.74)
∏ [1 − F (t )]
i
i =1
gdzie: Ri(t) – funkcja niezawodności i-tego elementu systemu, Fi(t) – dystrybuanta czasu poprawnej pracy
(Ti) i-tego elementu.
Z kolei, dystrybuanta czasu poprawnej pracy (funkcja zawodności) systemu o szeregowej strukturze
niezawodnościowej) - współczynnik zawodności – jest określona wzorem:
n
n
i =1
i =1
Q s (t ) = Fs (t ) = P(T < t ) = 1 − Rs (t ) = 1 − ∏ Ri (t ) = 1 − ∏ [1 − Fi (t )]
Z zależności (2.74) oraz (2.6) wynika, że:
8
(2.75)
II. Niezawodność elementów i systemów (J. Paska)
 t

 n t

exp − ∫ Λs (τ )dτ  = exp − ∑ ∫ λi (τ )dτ 
 0

 i =1 0

(2.76)
gdzie: Λs(t) – funkcja intensywności uszkodzeń systemu, λi(t) – funkcja intensywności uszkodzeń i-tego
elementu systemu.
n
I dalej, że:
Λs (t ) = λ1 (t ) + λ2 (t ) + ... + λn (t ) = ∑ λi (t )
(2.77)
i =1
co oznacza, że intensywność uszkodzeń systemu o strukturze szeregowej jest równa sumie intensywności
uszkodzeń wszystkich elementów systemu.
równoległe i progowe
W przypadku struktury równoległej w sensie niezawodności cały obiekt jest zdatny, gdy przynajmniej
jeden jego element jest zdatny. Natomiast w wypadku struktury progowej obiekt jest zdatny, jeżeli przynajmniej kilka jego elementów jest zdatnych.
System ma równoległą strukturę niezawodnościową, jeżeli zdatność dowolnego elementu tego
systemu powoduje zdatność całego systemu. Z równoległą strukturą połączenia elementów w systemie
mamy do czynienia wtedy, gdy wszystkie elementy wykonują to samo zadanie. Z definicji struktury
równoległej wynika, że system jest sprawny wtedy i tylko wtedy, kiedy co najmniej jeden z jego elementów
jest sprawny.
W systemie o równoległej strukturze niezawodnościowej dla prawidłowej pracy tego systemu
wymagane jest prawidłowe działanie tylko jednego elementu. Zatem zależności na Rs i Qs będą następujące
(dla elementów niezależnych):
n
n

R
(
t
)
=
1
−
F
(
t
)
=
1
−
Qi ( t ) = 1 − Q s ( t )
∏
∏
i
 s

i =1
i =1

n
n
Q (t ) = F (t ) =
F
(
t
)
=
Qi ( t )
∏
∏
s
i
 s
i =1
i =1
a)
b)
(2.78)
1
1
2
2
k-1
n
Rys. 2.11. Równoległa struktura
niezawodnościowa (a)
i progowa struktura
niezawodnościowa (b)
k
k+1
n
System ma progową strukturę niezawodnościową oznaczoną jako „k z n”, jeżeli w celu zapewnienia
jego zdatności musi być zdatnych co najmniej k spośród n jego elementów.
W przypadku, gdy w n–elementowym systemie o strukturze progowej występują elementy o różnych
charakterystykach niezawodnościowych trudno jest przedstawić jednoznaczne i proste formuły na Rs i Qs
systemu.
Ogólna zależność na prawdopodobieństwo poprawnej pracy systemu o strukturze progowej, przy
założeniu że czasy poprawnej pracy jego elementów są niezależnymi zmiennymi losowymi, jest następująca:
Rs (t ) = P(T ≥ t ) =
m
∑
j =1
R j (t ) =
m
∑P
j
(T ≥ t )
(2.79)
j =1
9
II. Niezawodność elementów i systemów (J. Paska)
j
gdzie: R (t) – prawdopodobieństwo poprawnej pracy odniesione do j-tej kombinacji zdatnych elementów
dającej zdatność systemu, m – liczba kombinacji zdatnych elementów dających zdatność systemu
(liczba stanów zdatności systemu).
Prawdopodobieństwo poprawnej pracy dowolnej j-tej kombinacji zdatnych elementów dającej
zdatność systemu można wyznaczyć jako:
R j (t ) = ∏ [Ri (t )] i [1 − Ri (t )]
n
(1− ei )
e
(2.80)
i =1
gdzie: ei – wskaźnik przyjmujący wartość 1, gdy element występujący w j-tej kombinacji elementów jest
zdatny lub 0, gdy jest niezdatny.
W przypadku gdy wszystkie elementy systemu o strukturze progowej mają identyczne charakterystyki
niezawodnościowe, Ri(t) = R(t), to wykorzystując wzór dwumianowy Bernoulliego uzyskuje się następujące
zależności:
n

n
i
n −i
=
R
(
t
)
  [R(t )] [1 − R(t )]
∑
 s
i =k  i 


n
Q = 1 − R = 1 −  n  [R(t )]i [1 − R (t )]n −i
∑
s
 
 s
i =k  i 

(2.81)
gdzie: k – minimalna wymagana liczba zdatnych elementów systemu,
 n
n!
  =
- liczba kombinacji po i elementów.
 i  i!(n − i )!
b) Struktury mieszane otrzymane przez szeregowe, równoległe lub progowe połączenie
podsystemów o strukturach podstawowych.
Najczęściej spotykanymi strukturami mieszanymi są: struktura równoległo-szeregowa (rys. 2.12) i
struktura szeregowo-równoległa (rys. 2.13).
Rys. 2.12. Równoległo–szeregowa struktura
niezawodnościowa
1
2
n1
1
2
n2
1
2
nk
Dystrybuanta czasu poprawnej pracy systemu o równoległo-szeregowej strukturze niezawodnościowej
ma postać:
nu
k


Q s (t ) = Fs (t ) = ∏ 1 − ∏ Ru ,i (t )
u =1 
i =1

(2.82)
gdzie: Ru,i(t) – funkcja niezawodności i-tego elementu w u-tym podsystemie szeregowym,
k – liczba podsystemów szeregowych, nu – liczba elementów w u-tym podsystemie szeregowym.
1
1
1
2
2
2
n1
n2
nk
Rys. 2.13. Szeregowo–równoległa
struktura niezawodnościowa
Dla systemu o szeregowo-równoległej strukturze niezawodnościowej zachodzi zależność:
nr
k


Rs (t ) = ∏ 1 − ∏ Fr ,i (t )
r =1 
i =1

(2.83)
gdzie: Fr,i(t) – dystrybuanta czasu poprawnej pracy i-tego elementu w r-tym podsystemie równoległym,
k – liczba podsystemów równoległych, nr – liczba elementów w r-tym podsystemie równoległym.
10
II. Niezawodność elementów i systemów (J. Paska)
c) Struktury złożone, których nie można utworzyć przez szeregowe, równoległe lub progowe
połączenie schematów struktur podstawowych, np. struktura mostkowa.
Różne struktury niezawodnościowe systemu, o tej samej liczbie identycznych, niezależnych
elementów, skutkują różnym poziomem niezawodności systemu.
Ogólne zasady budowy modelu niezawodnościowego
Rodzaj struktury niezawodnościowej systemu (obiektu złożonego) zależy od:
a) struktury funkcjonalnej obiektu, tzn. od sposobu konstrukcyjnego połączenia elementów i od
wzajemnego oddziaływania tych elementów na siebie;
b) zadania, jakie ma dany obiekt wykonać.
W związku z powyższym podstawą tworzenia struktur niezawodnościowych są odpowiednie schematy
technologiczne obiektów złożonych. Ze względu na specyfikę problemu oraz różnice w rozwiązaniach
projektowych różnych obiektów należy określać strukturę niezawodnościową indywidualnie dla każdego
analizowanego obiektu.
Strukturę niezawodnościową analizowanego obiektu można przedstawić między innymi w postaci
stabelaryzowanej lub analitycznej, np. przez funkcję strukturalną systemu. Jednak najprostszym i najbardziej
obrazowym sposobem przedstawienia struktury niezawodnościowej obiektu jest sposób graficzny. W tym
wypadku struktura niezawodnościowa jest pokazana jako graf lub też jako schemat blokowy niezawodności
lub po prostu schemat niezawodnościowy obiektu.
Ze względu na specyfikę problemu oraz różnice w rozwiązaniach projektowych różnych systemów (np.
zasilania obiektów) należy określać strukturę niezawodnościową indywidualnie dla każdego analizowanego
systemu. Tworzenie schematu niezawodnościowego powinno zawierać:
analizę schematu topologicznego funkcjonowania systemu;
wyróżnienie w systemie elementów, których niezawodność ma wpływ na niezawodność systemu;
odwzorowanie wyróżnionych elementów w postaci bloków;
graficzne odwzorowanie zależności między stanami niezawodnościowymi elementów, a stanem
niezawodnościowym systemu.
W celu ułatwienia graficznego odwzorowania struktury niezawodnościowej systemu można
wykorzystać następujące wskazówki:
1)
elementy niepowtarzalne przedstawia się w postaci oddzielnych i różnych bloków,
2)
elementy powtarzalne przedstawia się w postaci jednego typu bloku;
3)
jeżeli niesprawność danego elementu powoduje niezdatność całego systemu, to element ten
wchodzi w skład podsystemu o szeregowej strukturze niezawodnościowej;
4)
jeżeli niesprawność systemu jest spowodowana jednoczesną niezdatnością kilku elementów, to
elementy te wchodzą w skład podsystemu o równoległej strukturze niezawodnościowej.
Wyróżnienia elementów w badanym systemie dokonuje się w procesie dekompozycji. Dekompozycja
systemu polega na stopniowym podziale obiektu na mniejsze części (podsystemy), które z kolei dzieli się na
podsystemy prostsze. Na danym stopniu podziału wyróżnione podsystemy traktuje się jako niepodzielne
elementy. Podział jest wykonywany ze względu na funkcje (wg kryteriów technologicznych), jakie pełni dany
podsystem podczas realizacji zadania obiektu. Dekompozycji dokonuje się do takiego stopnia szczegółowości, jaki narzuca cel i zakres oceny niezawodności analizowanego systemu. Oznacza to, iż z punktu
widzenia potrzeb oceny niezawodności dalszy podział na elementy nie jest celowy.
W niektórych wypadkach struktura funkcjonalna obiektu złożonego odpowiada wprost jego strukturze
niezawodnościowej. W większości wypadków jednak tak nie jest. Związane jest to z wpływem postawionego
zadania, które ma wykonać obiekt, na jego strukturę niezawodnościową.
Model procesu eksploatacji systemu jako podstawa modelu niezawodnościowego
Obiekty elektroenergetyczne typu „układy (systemy)” są rozpatrywane jako systemy,
w których wyodrębnia się zbiory urządzeń oraz relacji topologicznych i eksploatacyjnych między nimi.
Relacje eksploatacyjne są określone jako oddziaływania stanów eksploatacyjnych jednego
urządzenia na stany innych urządzeń.
Relacje topologiczne między urządzeniami rzeczywistymi są określone jako bezpośrednie
połączenia geometryczne (elektryczne) elementów.
Układ (system) będziemy więc dalej rozumieć jako zbiór elementów obliczeniowych (dalej elementów)
oraz relacji eksploatacyjnych między nimi. Proces eksploatacji systemu zaś będzie opisany przez zbiór
stanów jego eksploatacji oraz relacji eksploatacyjnych między nimi. Zależy on od procesów eksploatacyjnych
elementów składowych oraz relacji eksploatacyjnych między elementami.
Należy tu rozróżnić relacje eksploatacyjne między stanami określone jako bezpośrednie przejście
między dwoma stanami eksploatacyjnymi oraz relacje eksploatacyjne między elementami, określone jako
oddziaływanie stanów jednego elementu na stany innych.
Zbiory relacji eksploatacyjnych między elementami w systemie mogą być określone przez uogólnione
pojęcia konfiguracji lub struktury.
11
II. Niezawodność elementów i systemów (J. Paska)
Konfigurację relacji w systemie stanowi konkretny zbiór relacji eksploatacyjnych nie zmieniających
się w rozpatrywanym okresie czasu.
Strukturę relacji w systemie stanowi uogólniony (zagregowany) uporządkowany zbiór relacji.
Struktura relacji zawiera zbiory wszystkich możliwych konfiguracji. Wielorakość konfiguracji jest cechą
obiektów złożonych (systemów).
Współzależność stanów eksploatacji elementów wynika ze współzależności ich odpowiedników
fizycznych, relacji topologicznych między elementami, wyposażenia układu w urządzenia komutacyjne, SPZ,
SZR oraz przyjętej strategii remontowej.
Stany eksploatacyjne systemu otrzymuje się przez agregację możliwych stanów elementów. Określa
to operator przekształcający przestrzeń stanów elementów w stany podstawowe systemu:
HS : SEM → SU
(2.92)
gdzie: SEM – zbiór możliwych stanów elementów, SU – zbiór stanów systemu (układu),
HS – operator przekształcający, określony przez poziom oddziaływania elementu na wielkości
charakteryzujące system (moc generowana przez elektrownię, moc przesyłana za pośrednictwem
układu sieciowego itp.).
SEM = S 1 × S 2 × K × S i × K × S n
(2.93)
i
gdzie: S – zbiór stanów i – tego elementu, n – liczba elementów w systemie.
Model procesu eksploatacji systemu, traktowanego jako zbiór elementów, jest określony przez zbiór
procesów eksploatacyjnych {Pfi(t)} elementów ze zbioru U oraz zbiór relacji eksploatacyjnych EU między
elementami:
U = {U i , i = 1, n}
(2.94)
EU : SEM → SEM
(2.95)
Proces eksploatacji systemu można zilustrować za pomocą poniższego ciągu kołowego:
〈Ut0, SEMt0〉
〈Rt(3k+1) 〉
EU
〈Ut(3k+3), SEMt(3k+3)〉
〈Ut(3k+1), SEMt(3k+1) 〉
RU
〈Ut(3k+2), SEMt(3k+2) 〉
EU
k = 0, 1, 2, 3 …
W chwili t0 należy znać zbiór elementów Ut0 oraz zbiory ich stanów eksploatacyjnych SEMt0. Dla
elementów z Ut0 określa się za pomocą EU konfigurację relacji eksploatacyjnych między elementami. W
wyniku otrzymuje się zbiory Ut(3k+1) oraz SEMt(3k+1). Najczęściej różnią się one od zbiorów określonych w
momencie t0 (np. stany awarii elementów do remontów awaryjnych).
RU określa odwzorowanie remontowe (stanowiące podzbiór EU), które przy strategii remontów
profilaktycznych Rt(3k+1) powoduje przejście do podzbiorów Ut(3k+2) oraz SEMt(3k+2). Odwzorowanie EU
przekształca te zbiory w zbiory Ut(3k+3) oraz SEMt(3k+3). Dalej proces powtarza się przy zmiennym k.
Każdy element ze zbioru U, w danej chwili, może znajdować się w jednym ze stanów należących do
i
zbioru S . Część ze stanów eksploatacyjnych elementu może oddziaływać na stany pozostałych elementów.
Oznaczając przez relację eksploatacyjną j-tego stanu i-tego elementu oddziaływującego na stany ktego elementu, otrzymuje się:
eu ik ( j ) : S j → S k
(2.96)
Zatem odwzorowanie EU jest zbiorem funkcji eksploatacyjnych:
∧ EU
i , k∈1, n
{
}
= eu ik ( j )
(2.97)
k ≠i
j∈SEM
Strategia remontów profilaktycznych Rt(3k+1) jest określona przez rodzaj remontów planowych oraz
momenty rozpoczęcia i zakończenia każdego remontu planowego dla elementów. Rodzaj remontów wynika
z ustaleń praktyki eksploatacyjnej. Ogólnie mogą to być remonty kapitalne i bieżące. Momenty rozpoczęcia i
zakończenia remontów zaś mogą być losowe albo zdeterminowane (losowa bądź deterministyczna strategia
remontowa).
12