Wyniki egzaminu z Inżynierii Finansowej - E-SGH

Transkrypt

Wyniki egzaminu z Inżynierii Finansowej - E-SGH
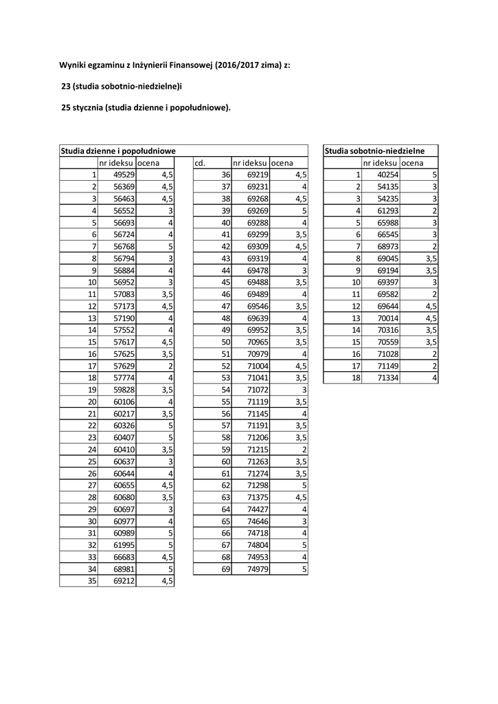
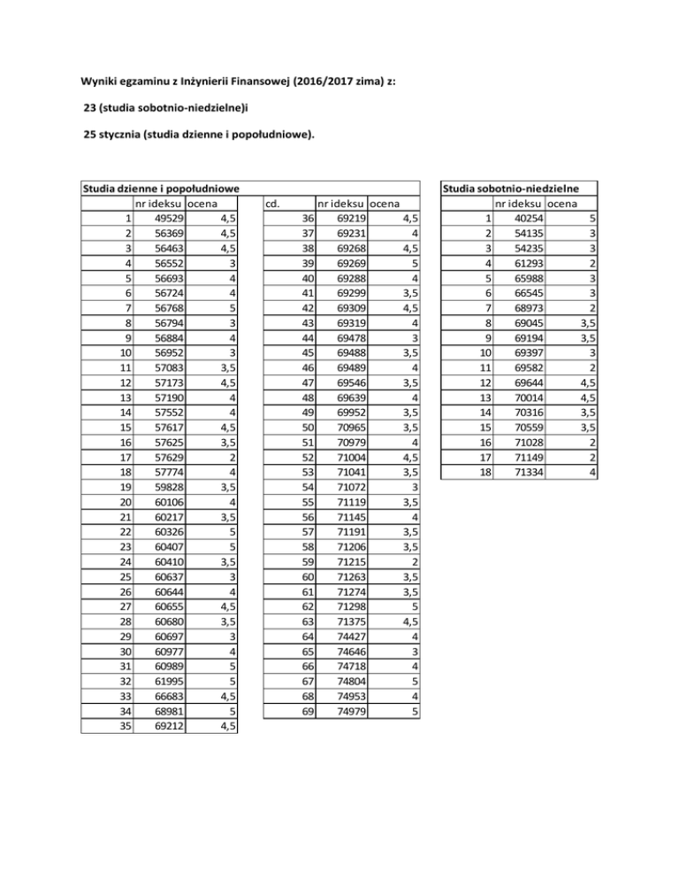
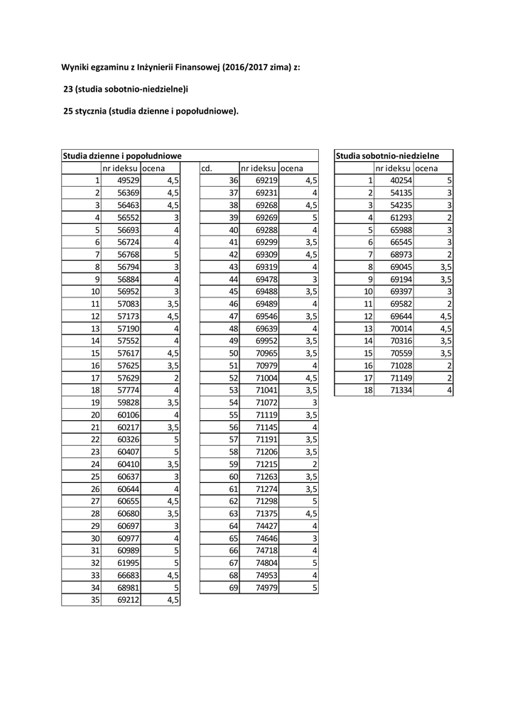
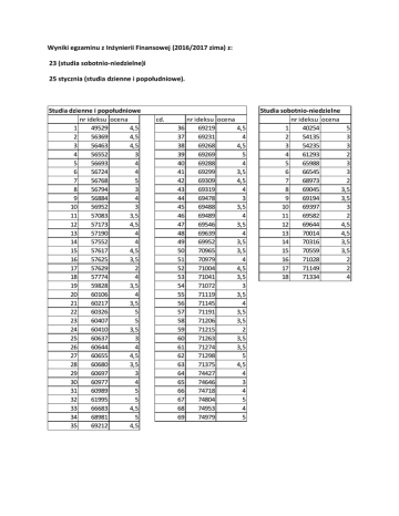
Wyniki egzaminu z Inżynierii Finansowej (2016/2017 zima) z:
23 (studia sobotnio-niedzielne)i
25 stycznia (studia dzienne i popołudniowe).
Studia dzienne i popołudniowe
nr ideksu ocena
1
49529
4,5
2
56369
4,5
3
56463
4,5
4
56552
3
5
56693
4
6
56724
4
7
56768
5
8
56794
3
9
56884
4
10
56952
3
11
57083
3,5
12
57173
4,5
13
57190
4
14
57552
4
15
57617
4,5
16
57625
3,5
17
57629
2
18
57774
4
19
59828
3,5
20
60106
4
21
60217
3,5
22
60326
5
23
60407
5
24
60410
3,5
25
60637
3
26
60644
4
27
60655
4,5
28
60680
3,5
29
60697
3
30
60977
4
31
60989
5
32
61995
5
33
66683
4,5
34
68981
5
35
69212
4,5
cd.
nr ideksu ocena
36
69219
4,5
37
69231
4
38
69268
4,5
39
69269
5
40
69288
4
41
69299
3,5
42
69309
4,5
43
69319
4
44
69478
3
45
69488
3,5
46
69489
4
47
69546
3,5
48
69639
4
49
69952
3,5
50
70965
3,5
51
70979
4
52
71004
4,5
53
71041
3,5
54
71072
3
55
71119
3,5
56
71145
4
57
71191
3,5
58
71206
3,5
59
71215
2
60
71263
3,5
61
71274
3,5
62
71298
5
63
71375
4,5
64
74427
4
65
74646
3
66
74718
4
67
74804
5
68
74953
4
69
74979
5
Studia sobotnio-niedzielne
nr ideksu ocena
1
40254
5
2
54135
3
3
54235
3
4
61293
2
5
65988
3
6
66545
3
7
68973
2
8
69045
3,5
9
69194
3,5
10
69397
3
11
69582
2
12
69644
4,5
13
70014
4,5
14
70316
3,5
15
70559
3,5
16
71028
2
17
71149
2
18
71334
4