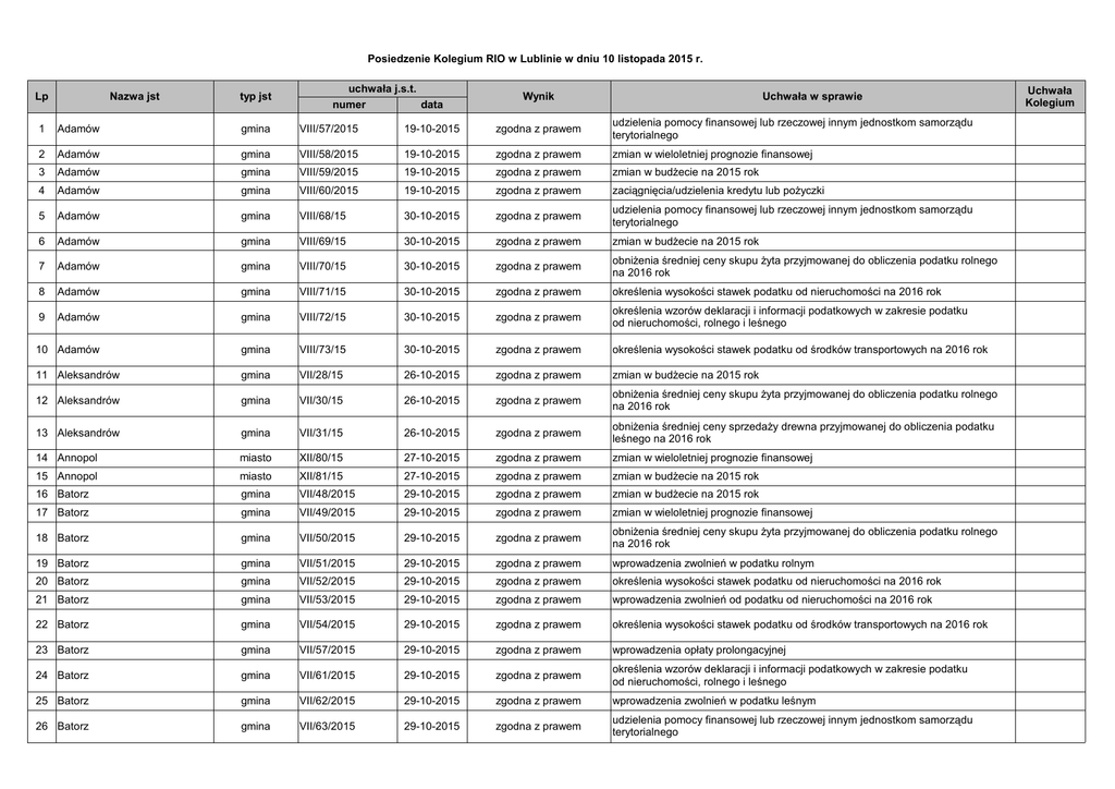
Posiedzenie Kolegium RIO w Lublinie w dniu 10 listopada 2015 r

Transkrypt

Posiedzenie Kolegium RIO w Lublinie w dniu 10 listopada 2015 r
Posiedzenie Kolegium RIO w Lublinie w dniu 10 listopada 2015 r.
Lp
Nazwa jst
typ jst
uchwała j.s.t.
numer
data
Wynik
Uchwała w sprawie
1
Adamów
gmina
VIII/57/2015
19-10-2015
zgodna z prawem
udzielenia pomocy finansowej lub rzeczowej innym jednostkom samorządu
terytorialnego
2
Adamów
gmina
VIII/58/2015
19-10-2015
zgodna z prawem
zmian w wieloletniej prognozie finansowej
3
Adamów
gmina
VIII/59/2015
19-10-2015
zgodna z prawem
zmian w budżecie na 2015 rok
4
Adamów
gmina
VIII/60/2015
19-10-2015
zgodna z prawem
zaciągnięcia/udzielenia kredytu lub pożyczki
5
Adamów
gmina
VIII/68/15
30-10-2015
zgodna z prawem
udzielenia pomocy finansowej lub rzeczowej innym jednostkom samorządu
terytorialnego
6
Adamów
gmina
VIII/69/15
30-10-2015
zgodna z prawem
zmian w budżecie na 2015 rok
7
Adamów
gmina
VIII/70/15
30-10-2015
zgodna z prawem
obniżenia średniej ceny skupu żyta przyjmowanej do obliczenia podatku rolnego
na 2016 rok
8
Adamów
gmina
VIII/71/15
30-10-2015
zgodna z prawem
określenia wysokości stawek podatku od nieruchomości na 2016 rok
9
Adamów
gmina
VIII/72/15
30-10-2015
zgodna z prawem
określenia wzorów deklaracji i informacji podatkowych w zakresie podatku
od nieruchomości, rolnego i leśnego
10 Adamów
gmina
VIII/73/15
30-10-2015
zgodna z prawem
określenia wysokości stawek podatku od środków transportowych na 2016 rok
11 Aleksandrów
gmina
VII/28/15
26-10-2015
zgodna z prawem
zmian w budżecie na 2015 rok
12 Aleksandrów
gmina
VII/30/15
26-10-2015
zgodna z prawem
obniżenia średniej ceny skupu żyta przyjmowanej do obliczenia podatku rolnego
na 2016 rok
13 Aleksandrów
gmina
VII/31/15
26-10-2015
zgodna z prawem
obniżenia średniej ceny sprzedaży drewna przyjmowanej do obliczenia podatku
leśnego na 2016 rok
14 Annopol
miasto
XII/80/15
27-10-2015
zgodna z prawem
zmian w wieloletniej prognozie finansowej
15 Annopol
miasto
XII/81/15
27-10-2015
zgodna z prawem
zmian w budżecie na 2015 rok
16 Batorz
gmina
VII/48/2015
29-10-2015
zgodna z prawem
zmian w budżecie na 2015 rok
17 Batorz
gmina
VII/49/2015
29-10-2015
zgodna z prawem
zmian w wieloletniej prognozie finansowej
18 Batorz
gmina
VII/50/2015
29-10-2015
zgodna z prawem
obniżenia średniej ceny skupu żyta przyjmowanej do obliczenia podatku rolnego
na 2016 rok
19 Batorz
gmina
VII/51/2015
29-10-2015
zgodna z prawem
wprowadzenia zwolnień w podatku rolnym
20 Batorz
gmina
VII/52/2015
29-10-2015
zgodna z prawem
określenia wysokości stawek podatku od nieruchomości na 2016 rok
21 Batorz
gmina
VII/53/2015
29-10-2015
zgodna z prawem
wprowadzenia zwolnień od podatku od nieruchomości na 2016 rok
22 Batorz
gmina
VII/54/2015
29-10-2015
zgodna z prawem
określenia wysokości stawek podatku od środków transportowych na 2016 rok
23 Batorz
gmina
VII/57/2015
29-10-2015
zgodna z prawem
wprowadzenia opłaty prolongacyjnej
24 Batorz
gmina
VII/61/2015
29-10-2015
zgodna z prawem
określenia wzorów deklaracji i informacji podatkowych w zakresie podatku
od nieruchomości, rolnego i leśnego
25 Batorz
gmina
VII/62/2015
29-10-2015
zgodna z prawem
wprowadzenia zwolnień w podatku leśnym
26 Batorz
gmina
VII/63/2015
29-10-2015
zgodna z prawem
udzielenia pomocy finansowej lub rzeczowej innym jednostkom samorządu
terytorialnego
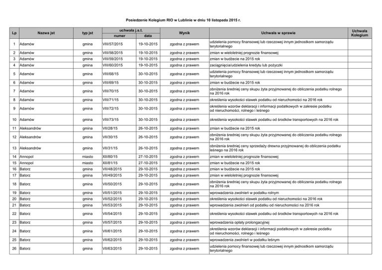
Uchwała
Kolegium
27 bialski
powiat
XIV/68/2015
26-10-2015
zgodna z prawem
zmian w budżecie na 2015 rok
28 Biała Podlaska
gmina
X/64/2015
23-10-2015
zgodna z prawem
zmian w wieloletniej prognozie finansowej
29 Biała Podlaska
gmina
X/65/2015
23-10-2015
zgodna z prawem
zmian w budżecie na 2015 rok
30 Białopole
gmina
XI/43/15
26-10-2015
zgodna z prawem
udzielenia dotacji w 2015 r. na prace konserwatorskie, restauratorskie lub roboty
budowlane w kościele p.w. Wniebowzięcia NMP w Buśnie
31 Białopole
gmina
XI/46/15
26-10-2015
zgodna z prawem
wyboru metody ustalenia opłaty za gospodarowanie odpadami komunalnymi oraz
ustalenia wysokości tej opłaty
32 Biłgoraj
miasto
X/71/15
28-10-2015
zgodna z prawem
udzielenia pomocy finansowej lub rzeczowej innym jednostkom samorządu
terytorialnego
33 Biłgoraj
miasto
X/72/15
28-10-2015
zgodna z prawem
zabezpieczenia środków finansowych w budżecie roku 2016 na realizację zadań
realizowanych w ramach Programu Rozwoju Gminnej i Powiatowej Infrastruktury
Drogowej na lata 2016-2019
34 Biłgoraj
miasto
X/73/15
28-10-2015
zgodna z prawem
udzielenia pomocy finansowej lub rzeczowej innym jednostkom samorządu
terytorialnego
35 Biłgoraj
miasto
X/74/15
28-10-2015
zgodna z prawem
udzielenia pomocy finansowej lub rzeczowej innym jednostkom samorządu
terytorialnego
36 Biłgoraj
miasto
X/75/15
28-10-2015
zgodna z prawem
obniżenia średniej ceny skupu żyta przyjmowanej do obliczenia podatku rolnego
na 2016 rok
37 biłgorajski
powiat
XII/80/2015
29-10-2015
zgodna z prawem
zmian w budżecie na 2015 rok
38 Biszcza
gmina
IX/49/2015
29-10-2015
zgodna z prawem
określenia wysokości stawek podatku od nieruchomości na 2016 rok
39 Biszcza
gmina
IX/50/2015
29-10-2015
zgodna z prawem
określenia wysokości stawek podatku od środków transportowych na 2016 rok
40 Biszcza
gmina
IX/51/2015
29-10-2015
zgodna z prawem
określenia wzorów deklaracji i informacji podatkowych w zakresie podatku
od nieruchomości, rolnego i leśnego
41 Biszcza
gmina
IX/54/2015
29-10-2015
zgodna z prawem
zaciągnięcia/udzielenia kredytu lub pożyczki
42 Biszcza
gmina
IX/55/2015
29-10-2015
zgodna z prawem
zmian w budżecie na 2015 rok
43 Biszcza
gmina
IX/56/2015
29-10-2015
zgodna z prawem
zmian w wieloletniej prognozie finansowej
44 Borzechów
gmina
VIII/55/15
22-10-2015
zgodna z prawem
zmian w budżecie na 2015 rok
45 Borzechów
gmina
VIII/56/15
22-10-2015
zgodna z prawem
udzielenia pomocy finansowej lub rzeczowej innym jednostkom samorządu
terytorialnego
46 Chełm
gmina
XII/96/2015
27-10-2015
zgodna z prawem
zmian w budżecie na 2015 rok
47 Chełm
gmina
XII/97/2015
27-10-2015
zgodna z prawem
udzielenia pomocy finansowej lub rzeczowej innym jednostkom samorządu
terytorialnego
48 Chełm
powiat grodzki XII/113/15
29-10-2015
zgodna z prawem
udzielenia pomocy finansowej lub rzeczowej innym jednostkom samorządu
terytorialnego
49 Chełm
powiat grodzki XII/114/15
29-10-2015
zgodna z prawem
udzielenia pomocy finansowej lub rzeczowej innym jednostkom samorządu
terytorialnego
50 Chełm
powiat grodzki XII/115/15
29-10-2015
zgodna z prawem
zmian w budżecie na 2015 rok
51 Chełm
powiat grodzki XII/116/15
29-10-2015
zgodna z prawem
zmian w wieloletniej prognozie finansowej
52 chełmski
powiat
IX/74/2015
27-10-2015
zgodna z prawem
zmian w budżecie na 2015 rok
53 chełmski
powiat
IX/76/2015
27-10-2015
zgodna z prawem
udzielenia pomocy finansowej lub rzeczowej innym jednostkom samorządu
terytorialnego
54 chełmski
powiat
IX/77/2015
27-10-2015
zgodna z prawem
udzielenia pomocy finansowej lub rzeczowej innym jednostkom samorządu
terytorialnego
55 chełmski
powiat
IX/78/2015
27-10-2015
zgodna z prawem
udzielenia pomocy finansowej lub rzeczowej innym jednostkom samorządu
terytorialnego
56 chełmski
powiat
IX/79/2015
27-10-2015
zgodna z prawem
udzielenia pomocy finansowej lub rzeczowej innym jednostkom samorządu
terytorialnego
57 chełmski
powiat
IX/80/2015
27-10-2015
zgodna z prawem
udzielenia pomocy finansowej lub rzeczowej innym jednostkom samorządu
terytorialnego
58 chełmski
powiat
IX/81/2015
27-10-2015
zgodna z prawem
udzielenia pomocy finansowej lub rzeczowej innym jednostkom samorządu
terytorialnego
59 chełmski
powiat
IX/82/2015
27-10-2015
zgodna z prawem
udzielenia pomocy finansowej lub rzeczowej innym jednostkom samorządu
terytorialnego
60 chełmski
powiat
IX/83/2015
27-10-2015
zgodna z prawem
udzielenia pomocy finansowej lub rzeczowej innym jednostkom samorządu
terytorialnego
61 chełmski
powiat
IX/84/2015
27-10-2015
zgodna z prawem
udzielenia pomocy finansowej lub rzeczowej innym jednostkom samorządu
terytorialnego
zgodna z prawem
uchylenia uchwały Rady Powiatu w Chełmie w sprawie uznania za celowe
przystąpienie Powiatu Chełmskiego do realizacji projektu „Poprawa
bezpieczeństwa ruchu drogowego w rejonie oddziaływania drogi krajowej Nr 12
oraz drogi wojewódzkiej Nr 812 - przebudowa drogi powiatowej Nr 1719L
współfinansowanego ze środków programu rozwoju gminnej i powiatowej
infrastruktury drogowej na lata 2016-2020”
62 chełmski
powiat
IX/85/2015
27-10-2015
63 chełmski
powiat
IX/86/2015
27-10-2015
zgodna z prawem
uznania za celowe przystąpienie Powiatu Chełmskiego do realizacji projektu
„Poprawa bezpieczeństwa ruchu drogowego w rejonie oddziaływania drogi
krajowej Nr 12 oraz drogi wojewódzkiej Nr 812 - przebudowa drogi powiatowej Nr
1719L współfinansowanego ze środków programu rozwoju gminnej i powiatowej
infrastruktury drogowej na lata 2016-2020”
64 chełmski
powiat
IX/87/2015
27-10-2015
zgodna z prawem
udzielenia pomocy finansowej lub rzeczowej innym jednostkom samorządu
terytorialnego
65 chełmski
powiat
IX/89/2015
27-10-2015
zgodna z prawem
udzielenia pomocy finansowej lub rzeczowej innym jednostkom samorządu
terytorialnego
66 chełmski
powiat
IX/90/2015
27-10-2015
zgodna z prawem
udzielenia pomocy finansowej lub rzeczowej innym jednostkom samorządu
terytorialnego
67 chełmski
powiat
IX/91/2015
27-10-2015
zgodna z prawem
udzielenia pomocy finansowej lub rzeczowej innym jednostkom samorządu
terytorialnego
68 chełmski
powiat
IX/92/2015
27-10-2015
zgodna z prawem
udzielenia pomocy finansowej lub rzeczowej innym jednostkom samorządu
terytorialnego
69 Chodel
gmina
XIII/52/2015
23-10-2015
zgodna z prawem
wyrażenia intencji partycypacji w kosztach przebudowy drogi powiatowej w 2016
roku
70 Chodel
gmina
XIII/53/2015
23-10-2015
zgodna z prawem
udzielenia pomocy finansowej lub rzeczowej innym jednostkom samorządu
terytorialnego
71 Chodel
gmina
XIII/54/2015
23-10-2015
zgodna z prawem
zmian w budżecie na 2015 rok
72 Cyców
gmina
VII/60/15
30-10-2015
zgodna z prawem
określenia stawek opłaty od psów
73 Cyców
gmina
VII/61/15
30-10-2015
zgodna z prawem
określenia wysokości stawek podatku od środków transportowych na 2016 rok
74 Cyców
gmina
VII/62/15
30-10-2015
zgodna z prawem
obniżenia średniej ceny skupu żyta przyjmowanej do obliczenia podatku rolnego
na 2016 rok
75 Cyców
gmina
VII/63/15
30-10-2015
zgodna z prawem
wprowadzenia zwolnień od podatku od nieruchomości na 2016 rok
76 Czemierniki
gmina
X/46/2015
15-10-2015
zgodna z prawem
zmian w budżecie na 2015 rok
77 Czemierniki
gmina
X/47/2015
15-10-2015
zgodna z prawem
zmian w wieloletniej prognozie finansowej
78 Dęblin
miasto
XIV/90/15
29-10-2015
zgodna z prawem
zmian w budżecie na 2015 rok
79 Dęblin
miasto
XIV/91/15
29-10-2015
zgodna z prawem
określenia wysokości rocznych stawek podatku od środków transportowych
80 Dęblin
miasto
XIV/92/15
29-10-2015
zgodna z prawem
wzorów deklaracji i informacji podatkowych
81 Dęblin
miasto
XIV/93/15
29-10-2015
zgodna z prawem
zabezpieczenia środków finansowych na zakup samochodu ratowniczo-gaśniczego
82 Dęblin
miasto
XIV/94/15
29-10-2015
zgodna z prawem
opłaty targowej
83 Dębowa Kłoda
gmina
XI/59/2015
27-10-2015
zgodna z prawem
zmian w budżecie na 2015 rok
84 Dębowa Kłoda
gmina
XI/60/2015
27-10-2015
zgodna z prawem
zmian w wieloletniej prognozie finansowej
85 Dorohusk
gmina
XIV/59/2015
27-10-2015
zgodna z prawem
udzielenia pomocy finansowej lub rzeczowej innym jednostkom samorządu
terytorialnego
86 Dorohusk
gmina
XIV/60/2015
27-10-2015
zgodna z prawem
udzielenia pomocy finansowej lub rzeczowej innym jednostkom samorządu
terytorialnego
87 Dorohusk
gmina
XIV/61/2015
27-10-2015
zgodna z prawem
uznania za celowe przystąpienie Gminy Dorohusk do realizacji projektu „Poprawa
bezpieczeństwa ruchu drogowego w miejscowości Brzeźno, Dorohusk, Dorohusk
Osada, Świerże, Zanowinie na terenie gminy Dorohusk w ramach „Programu
wieloletniego pod nazwą „Program rozwoju gminnej i powiatowej infrastruktury
drogowej na lata 2016-2019”
88 Dorohusk
gmina
XIV/62/2015
27-10-2015
zgodna z prawem
zmian w budżecie na 2015 rok
89 Fajsławice
gmina
XI/31/2015
25-09-2015
zgodna z prawem
zmian w budżecie na 2015 rok
90 Fajsławice
gmina
XI/32/2015
25-09-2015
zgodna z prawem
udzielenia pomocy finansowej lub rzeczowej innym jednostkom samorządu
terytorialnego
91 Fajsławice
gmina
XII/34/2015
16-10-2015
zgodna z prawem
zmian w budżecie na 2015 rok
92 Fajsławice
gmina
XII/35/2015
16-10-2015
zgodna z prawem
zmian w wieloletniej prognozie finansowej
93 Fajsławice
gmina
XII/37/2015
16-10-2015
zgodna z prawem
udzielenia pomocy finansowej lub rzeczowej innym jednostkom samorządu
terytorialnego
94 Firlej
gmina
XII/61/2015
19-10-2015
zgodna z prawem
zmian w budżecie na 2015 rok
95 Goraj
gmina
XI/61/15
19-10-2015
zgodna z prawem
wyboru metody ustalenia opłaty za gospodarowanie odpadami komunalnymi oraz
ustalenia wysokości tej opłaty
96 Goraj
gmina
XI/62/15
19-10-2015
zgodna z prawem
określenia terminu, częstotliwości i trybu uiszczania opłaty za gospodarowanie
odpadami komunalnymi
97 Goraj
gmina
XI/63/15
19-10-2015
zgodna z prawem
określenia wzoru deklaracji o wysokości opłaty za gospodarowanie odpadami
komunalnymi składanej przez właściciela nieruchomości oraz warunków i trybu
składania deklaracji za pomocą środków komunikacji elektronicznej
98 Goraj
gmina
XI/64/15
19-10-2015
zgodna z prawem
zmian w wieloletniej prognozie finansowej
99 Goraj
gmina
XI/65/15
19-10-2015
zgodna z prawem
zmian w budżecie na 2015 rok
100 Gorzków
gmina
X/43/2015
26-10-2015
zgodna z prawem
zmian w budżecie na 2015 rok
101 Hanna
gmina
X/51/2015
30-10-2015
zgodna z prawem
obniżenia średniej ceny skupu żyta przyjmowanej do obliczenia podatku rolnego
na 2016 rok
102 Hanna
gmina
X/52/2015
30-10-2015
zgodna z prawem
obniżenia średniej ceny sprzedaży drewna przyjmowanej do obliczenia podatku
leśnego na 2016 rok
103 Hanna
gmina
X/53/2015
30-10-2015
zgodna z prawem
określenia wysokości stawek podatku od nieruchomości na 2016 rok
104 Hanna
gmina
X/54/2015
30-10-2015
zgodna z prawem
wprowadzenia zwolnień od podatku od nieruchomości na 2016 rok
105 Hanna
gmina
X/55/2015
30-10-2015
zgodna z prawem
określenia wysokości stawek podatku od środków transportowych na 2016 rok
106 Hanna
gmina
X/56/2015
30-10-2015
zgodna z prawem
określenia wzorów deklaracji i informacji podatkowych w zakresie podatku
od nieruchomości, rolnego i leśnego
107 Hańsk
gmina
VIII/57/15
30-10-2015
zgodna z prawem
zmian w budżecie na 2015 rok
108 Hańsk
gmina
VIII/58/15
30-10-2015
zgodna z prawem
zmian w wieloletniej prognozie finansowej
109 Hrubieszów
gmina
XII/59/2015
20-10-2015
zgodna z prawem
zmian w budżecie na 2015 rok
110 Hrubieszów
gmina
XII/60/2015
20-10-2015
wszczęcie postępowania
nadzorczego
111 Jabłonna
gmina
XII/72/15
29-10-2015
zgodna z prawem
zabezpieczenia środków na realizację zadania w ramach programu rozwoju
infrastruktury drogowej na lata 2016-2019
112 Jabłonna
gmina
XII/74/15
29-10-2015
zgodna z prawem
zmian w wieloletniej prognozie finansowej
113 Jabłonna
gmina
XII/75/15
29-10-2015
zgodna z prawem
zmian w budżecie na 2015 rok
114 Janów Lubelski
gmina
XIV/83/15
23-10-2015
zgodna z prawem
zarządzenia poboru podatku od nieruchomości, rolnego i leśnego od osób
fizycznych w drodze inkasa, określenia inkasentów i wysokości wynagrodzenia za
inkaso
115 Janów Lubelski
gmina
XIV/84/15
23-10-2015
zgodna z prawem
udzielenia pomocy finansowej lub rzeczowej innym jednostkom samorządu
terytorialnego
116 Janów Lubelski
gmina
XIV/85/15
23-10-2015
zgodna z prawem
emisji obligacji komunalnych
117 Janów Lubelski
gmina
XIV/86/15
23-10-2015
zgodna z prawem
zmian w wieloletniej prognozie finansowej
118 Janów Lubelski
gmina
XIV/87/15
23-10-2015
zgodna z prawem
zmian w budżecie na 2015 rok
119 Janów Podlaski
gmina
VII/56/2015
23-10-2015
zgodna z prawem
udzielenia pomocy finansowej lub rzeczowej innym jednostkom samorządu
terytorialnego
120 Janów Podlaski
gmina
VII/57/2015
23-10-2015
zgodna z prawem
udzielenia pomocy finansowej lub rzeczowej innym jednostkom samorządu
terytorialnego
121 Janów Podlaski
gmina
VII/58/2015
23-10-2015
zgodna z prawem
udzielenia pomocy finansowej lub rzeczowej innym jednostkom samorządu
terytorialnego
122 Janów Podlaski
gmina
VII/60/2015
23-10-2015
zgodna z prawem
zmian w wieloletniej prognozie finansowej
123 Janów Podlaski
gmina
VII/61/2015
23-10-2015
zgodna z prawem
zmian w budżecie na 2015 rok
124 Jarczów
gmina
IX/45/15
20-10-2015
zgodna z prawem
zmian w wieloletniej prognozie finansowej
125 Jarczów
gmina
IX/46/15
20-10-2015
zgodna z prawem
zmian w budżecie na 2015 rok
126 Jastków
gmina
XIII/77/2015
23-10-2015
zgodna z prawem
zmian w budżecie na 2015 rok
127 Józefów nad Wisłą
gmina
VIII/51/2015
15-10-2015
zgodna z prawem
zmian w budżecie na 2015 rok
128 Kamionka
gmina
IX/45/2015
3-11-2015
zgodna z prawem
określenia wysokości stawek podatku od nieruchomości na 2016 rok
129 Kamionka
gmina
IX/46/2015
3-11-2015
zgodna z prawem
obniżenia średniej ceny skupu żyta przyjmowanej do obliczenia podatku rolnego
na 2016 rok
ustalenia trybu udzielania i rozliczania dotacji dla publicznych podmiotów
oświatowych oraz zakresu i trybu kontroli prawidłowości ich wykorzystania
145/2015
130 Kamionka
gmina
IX/47/2015
3-11-2015
zgodna z prawem
obniżenia średniej ceny sprzedaży drewna przyjmowanej do obliczenia podatku
leśnego na 2016 rok
131 Kamionka
gmina
IX/48/2015
3-11-2015
zgodna z prawem
określenia wzorów deklaracji i informacji podatkowych w zakresie podatku
od nieruchomości, rolnego i leśnego
132 Kamionka
gmina
IX/49/2015
3-11-2015
zgodna z prawem
określenia wysokości stawek podatku od środków transportowych na 2016 rok
133 Kamionka
gmina
IX/50/2015
3-11-2015
zgodna z prawem
wprowadzenia opłaty targowej i określenia zasad ustalania i poboru oraz terminów
płatności, wysokości stawek opłaty, zarządzenia jej poboru w drodze inkasa oraz
określenia inkasenta opłaty targowej
134 Kazimierz Dolny
miasto i gmina XI/76/15
28-10-2015
zgodna z prawem
zmian w wieloletniej prognozie finansowej
135 Kazimierz Dolny
miasto i gmina XI/77/15
28-10-2015
zgodna z prawem
zmian w budżecie na 2015 rok
136 Komarów Osada
gmina
X/58/15
28-10-2015
zgodna z prawem
zmian w budżecie na 2015 rok
137 Komarów Osada
gmina
X/59/15
28-10-2015
zgodna z prawem
zmian w wieloletniej prognozie finansowej
138 Komarów Osada
gmina
X/60/15
28-10-2015
zgodna z prawem
zaciągnięcia/udzielenia kredytu lub pożyczki
139 Konopnica
gmina
XIII/83/2015
30-10-2015
zgodna z prawem
udzielenia pomocy finansowej lub rzeczowej innym jednostkom samorządu
terytorialnego
140 Konopnica
gmina
XIII/84/2015
30-10-2015
zgodna z prawem
obniżenia średniej ceny skupu żyta przyjmowanej do obliczenia podatku rolnego
na 2016 rok
141 Konopnica
gmina
XIII/85/2015
30-10-2015
zgodna z prawem
określenia wysokości rocznych stawek podatku od środków transportowych
142 Końskowola
gmina
XVI/76/15
28-10-2015
zgodna z prawem
udzielania dotacji celowych na przedsięwzięcia związane z ochroną wód
143 Końskowola
gmina
XVI/77/15
28-10-2015
zgodna z prawem
określenia wysokości rocznych stawek podatku od środków transportowych
144 Krasnobród
miasto i gmina X/62/2015
28-10-2015
zgodna z prawem
zmian w budżecie na 2015 rok
145 Krasnobród
miasto i gmina X/63/2015
28-10-2015
zgodna z prawem
udzielenia pomocy finansowej lub rzeczowej innym jednostkom samorządu
terytorialnego
146 Krasnystaw
gmina
IX/53/2015
14-10-2015
zgodna z prawem
udzielenia pomocy finansowej lub rzeczowej innym jednostkom samorządu
terytorialnego
147 Krasnystaw
gmina
IX/54/2015
14-10-2015
zgodna z prawem
udzielenia pomocy finansowej lub rzeczowej innym jednostkom samorządu
terytorialnego
148 Krasnystaw
gmina
IX/55/2015
14-10-2015
zgodna z prawem
zmian w budżecie na 2015 rok
149 Krasnystaw
gmina
IX/56/2015
14-10-2015
zgodna z prawem
zmian w wieloletniej prognozie finansowej
150 Krasnystaw
gmina
IX/57/2015
14-10-2015
zgodna z prawem
udzielenia pomocy finansowej lub rzeczowej innym jednostkom samorządu
terytorialnego
151 Kraśnik
gmina
XI/54/2015
23-10-2015
zgodna z prawem
zmian w budżecie na 2015 rok
152 Kraśnik
gmina
XI/55/2015
23-10-2015
zgodna z prawem
zmian w wieloletniej prognozie finansowej
153 Kraśnik
miasto
XVIII/96/2015
29-10-2015
zgodna z prawem
zmian w budżecie na 2015 rok
154 Kraśnik
miasto
XVIII/97/2015
29-10-2015
zgodna z prawem
zmian w wieloletniej prognozie finansowej
155 Krzczonów
gmina
VIII/50/15
28-10-2015
zgodna z prawem
zmian w wieloletniej prognozie finansowej
156 Krzczonów
gmina
VIII/51/15
28-10-2015
zgodna z prawem
zmian w budżecie na 2015 rok
157 Krzywda
gmina
XII/55/2015
29-10-2015
zgodna z prawem
zmian w wieloletniej prognozie finansowej
158 Krzywda
gmina
XII/56/2015
29-10-2015
zgodna z prawem
zmian w budżecie na 2015 rok
159 Kurów
gmina
VIII/66/2015
19-10-2015
zgodna z prawem
zmian w wieloletniej prognozie finansowej
160 Kurów
gmina
VIII/67/2015
19-10-2015
zgodna z prawem
zmian w budżecie na 2015 rok
161 Leśna Podlaska
gmina
XI/44/2015
30-10-2015
zgodna z prawem
zmian w wieloletniej prognozie finansowej
162 Leśna Podlaska
gmina
XI/45/2015
30-10-2015
zgodna z prawem
zmian w budżecie na 2015 rok
163 Lubartów
gmina
X/67/2015
28-10-2015
zgodna z prawem
określenia zasad udzielania dotacji spółkom wodnym, trybu postępowania przy
udzielaniu dotacji i sposobie ich rozliczania
164 Lubartów
miasto
XI/62/2015
20-10-2015
zgodna z prawem
udzielenia pomocy finansowej lub rzeczowej innym jednostkom samorządu
terytorialnego
165 lubelski
powiat
XIII/92/2015
27-10-2015
zgodna z prawem
udzielenia pomocy finansowej lub rzeczowej innym jednostkom samorządu
terytorialnego
166 lubelski
powiat
XIII/93/2015
27-10-2015
zgodna z prawem
zmian w budżecie na 2015 rok
powiat
167 lubelski
XIII/94/2015
27-10-2015
zgodna z prawem
zmian w wieloletniej prognozie finansowej
168 Lublin
powiat grodzki 263/X/2015
22-10-2015
zgodna z prawem
zmian w budżecie na 2015 rok
169 Lublin
powiat grodzki 264/X/2015
22-10-2015
zgodna z prawem
zmian w wieloletniej prognozie finansowej
170 Lublin
powiat grodzki 265/X/2015
22-10-2015
zgodna z prawem
wprowadzenia opłaty targowej i określenia zasad ustalania i poboru oraz terminów
płatności, wysokości stawek opłaty, zarządzenia jej poboru w drodze inkasa oraz
określenia inkasenta opłaty targowej
171 Lublin
powiat grodzki 270/X/2015
22-10-2015
zgodna z prawem
zatwierdzenia do realizacji oraz zabezpieczenia środków finansowych w budżecie
na lata 2015-2017 na realizację projektu pt. "Be healthy, Be Natural, Be Smart
(Bądź zdrowy, bądź naturalny, bądź mądry)"
172 Lublin
powiat grodzki 271/X/2015
22-10-2015
zgodna z prawem
zatwierdzenia do realizacji oraz zabezpieczenia środków finansowych w budżecie
na lata 2015-2018 na realizację projektu pt. "MICA - Mechanical Industrial
Collaborative Assignments"
173 Lublin
powiat grodzki 272/X/2015
22-10-2015
zgodna z prawem
zatwierdzenia do realizacji oraz zabezpieczenia środków finansowych w budżecie
na lata 2015-2017 na realizację projektu pt. "Pierwszy cel Europy 2020: Walka z
bezrobociem"
174 Lublin
powiat grodzki 273/X/2015
22-10-2015
zgodna z prawem
zatwierdzenia do realizacji oraz zabezpieczenia środków finansowych w budżecie
na lata 2015-2016 oraz wyrażenia zgody na partnerstwo w ramach projektu pt.
"Creating a Good Local Economy through procurement"
175 Lublin
powiat grodzki 274/X/2015
22-10-2015
zgodna z prawem
zatwierdzenia do realizacji oraz zabezpieczenia środków finansowych w budżecie
na lata 2015-2016 oraz wyrażenia zgody na partnerstwo w ramach projektu pt.
"2nd Chance"
176 Lublin
powiat grodzki 275/X/2015
22-10-2015
zgodna z prawem
zatwierdzenia do realizacji oraz zabezpieczenia środków finansowych w budżecie
na lata 2015-2016 na realizację projektu pt. "Myśl, oszczędzaj, inwestuj"
177 Lublin
powiat grodzki 83/9/2015
30-09-2015
umorzenie postępowania
nadzorczego
zmian w budżecie na 2015 rok
178 Lubycza Królewska
gmina
XII/51/2015
29-10-2015
zgodna z prawem
zmian w wieloletniej prognozie finansowej
179 Lubycza Królewska
gmina
XII/52/2015
29-10-2015
zgodna z prawem
zmian w budżecie na 2015 rok
180 Lubycza Królewska
gmina
XII/53/2015
29-10-2015
zgodna z prawem
obniżenia średniej ceny skupu żyta przyjmowanej do obliczenia podatku rolnego
na 2016 rok
181 Lubycza Królewska
gmina
XII/54/2015
29-10-2015
zgodna z prawem
wprowadzenia zwolnień w podatku rolnym
182 Lubycza Królewska
gmina
XII/55/2015
29-10-2015
zgodna z prawem
wprowadzenia zwolnień od podatku od nieruchomości na 2016 rok (uchylająca)
140/2015
183 Lubycza Królewska
gmina
XII/56/2015
29-10-2015
zgodna z prawem
określenia wysokości stawek podatku od środków transportowych na 2016 rok
184 Lubycza Królewska
gmina
XII/57/2015
29-10-2015
zgodna z prawem
wprowadzenia zwolnień od podatku od środków transportowych (uchylająca)
185 Lubycza Królewska
gmina
XII/58/2015
29-10-2015
zgodna z prawem
poboru podatku w drodze inkasa
186 Lubycza Królewska
gmina
XII/61/2015
29-10-2015
zgodna z prawem
udzielenia pomocy finansowej lub rzeczowej innym jednostkom samorządu
terytorialnego
187 Łaszczów
miasto i gmina X/46/2015
23-10-2015
zgodna z prawem
zmian w wieloletniej prognozie finansowej
188 Łaszczów
miasto i gmina X/47/2015
23-10-2015
zgodna z prawem
zmian w budżecie na 2015 rok
189 Łaziska
gmina
X/38/2015
16-10-2015
zgodna z prawem
zmian w wieloletniej prognozie finansowej
190 Łaziska
gmina
X/39/2015
16-10-2015
zgodna z prawem
zmian w budżecie na 2015 rok
191 Łaziska
gmina
X/41/2015
16-10-2015
zgodna z prawem
udzielenia pomocy finansowej lub rzeczowej innym jednostkom samorządu
terytorialnego
192 łęczyński
powiat
XI/69/2015
26-10-2015
zgodna z prawem
zmian w wieloletniej prognozie finansowej
193 łęczyński
powiat
XI/70/2015
26-10-2015
zgodna z prawem
zmian w budżecie na 2015 rok
194 Łopiennik Górny
gmina
X/52/2015
27-10-2015
zgodna z prawem
udzielenia pomocy finansowej lub rzeczowej innym jednostkom samorządu
terytorialnego
195 łukowski
powiat
IX/83/2015
30-10-2015
zgodna z prawem
zaciągnięcia/udzielenia kredytu lub pożyczki
196 łukowski
powiat
IX/84/2015
30-10-2015
zgodna z prawem
zmian w budżecie na 2015 rok
197 łukowski
powiat
IX/85/2015
30-10-2015
zgodna z prawem
zmian w wieloletniej prognozie finansowej
198 Łuków
gmina
XIV/109/2015
30-10-2015
zgodna z prawem
zmian w budżecie na 2015 rok
199 Łuków
gmina
XIV/110/2015
30-10-2015
zgodna z prawem
zmian w wieloletniej prognozie finansowej
200 Łuków
miasto
XII/100/2015
29-10-2015
zgodna z prawem
wprowadzenia opłaty targowej i określenia zasad ustalania i poboru oraz terminów
płatności, wysokości stawek opłaty, zarządzenia jej poboru w drodze inkasa oraz
określenia inkasenta opłaty targowej
201 Łuków
miasto
XII/101/2015
29-10-2015
zgodna z prawem
zmian w budżecie na 2015 rok
202 Markuszów
gmina
VII/43/15
30-10-2015
zgodna z prawem
opłaty targowej
203 Markuszów
gmina
VII/44/15
30-10-2015
zgodna z prawem
zmian w budżecie na 2015 rok
204 Mełgiew
gmina
XI/70/15
29-10-2015
zgodna z prawem
zmian w wieloletniej prognozie finansowej
205 Mełgiew
gmina
XI/71/15
29-10-2015
zgodna z prawem
zmian w budżecie na 2015 rok
206 Mełgiew
gmina
XI/72/15
29-10-2015
zgodna z prawem
obniżenia średniej ceny skupu żyta przyjmowanej do obliczenia podatku rolnego
na 2016 rok
207 Mełgiew
gmina
XI/73/15
29-10-2015
zgodna z prawem
wprowadzenia zwolnień w podatku rolnym
208 Michów
gmina
XI/58/2015
15-10-2015
zgodna z prawem
zmian w budżecie na 2015 rok
209 Międzyrzec Podlaski
gmina
XI/86/2015
29-10-2015
zgodna z prawem
zmian w budżecie na 2015 rok
210 Międzyrzec Podlaski
gmina
XI/87/2015
29-10-2015
zgodna z prawem
zmian w wieloletniej prognozie finansowej
211 Międzyrzec Podlaski
gmina
XI/88/2015
29-10-2015
zgodna z prawem
obniżenia średniej ceny skupu żyta przyjmowanej do obliczenia podatku rolnego
na 2016 rok
212 Międzyrzec Podlaski
gmina
XI/89/2015
29-10-2015
zgodna z prawem
wprowadzenia opłaty targowej i określenia zasad ustalania i poboru oraz terminów
płatności, wysokości stawek opłaty, zarządzenia jej poboru w drodze inkasa oraz
określenia inkasenta opłaty targowej
213 Międzyrzec Podlaski
gmina
XI/90/2015
29-10-2015
zgodna z prawem
określenia wysokości stawek podatku od środków transportowych na 2016 rok
214 Międzyrzec Podlaski
miasto
XIII/83/2015
27-10-2015
zgodna z prawem
zmian w budżecie na 2015 rok
215 Międzyrzec Podlaski
miasto
XIII/84/2015
27-10-2015
zgodna z prawem
zmian w wieloletniej prognozie finansowej
216 Nałęczów
miasto
XI/64/15
29-10-2015
zgodna z prawem
zmian w budżecie na 2015 rok
217 Nałęczów
miasto
XI/73/15
29-10-2015
zgodna z prawem
udzielenia pomocy finansowej lub rzeczowej innym jednostkom samorządu
terytorialnego
218 Niedrzwica Duża
gmina
X/56/15
20-10-2015
zgodna z prawem
udzielenia pomocy finansowej lub rzeczowej innym jednostkom samorządu
terytorialnego
219 Niedrzwica Duża
gmina
X/59/15
20-10-2015
zgodna z prawem
zmian w budżecie na 2015 rok
220 Niedrzwica Duża
gmina
X/60/15
20-10-2015
zgodna z prawem
zmian w wieloletniej prognozie finansowej
221 Niemce
gmina
XII/100/15
16-10-2015
zgodna z prawem
zmian w budżecie na 2015 rok
222 Niemce
gmina
XII/101/15
16-10-2015
zgodna z prawem
zmian w wieloletniej prognozie finansowej
223 Niemce
gmina
XII/106/15
16-10-2015
zgodna z prawem
udzielenia pomocy finansowej lub rzeczowej innym jednostkom samorządu
terytorialnego
gmina
XIII/43/2015
224 Nowodwór
27-10-2015
zgodna z prawem
zmian w budżecie na 2015 rok
225 Opole lubelskie
miasto i gmina X/69/2015
20-10-2015
zgodna z prawem
zmian w wieloletniej prognozie finansowej
226 Opole lubelskie
miasto i gmina X/70/2015
20-10-2015
zgodna z prawem
zmian w budżecie na 2015 rok
227 opolski
powiat
X/72/2015
26-10-2015
zgodna z prawem
zmian w budżecie na 2015 rok
228 opolski
powiat
X/75/2015
26-10-2015
zgodna z prawem
udzielenia pomocy finansowej lub rzeczowej innym jednostkom samorządu
terytorialnego
229 Ostrów Lubelski
miasto
XI/75/15
29-10-2015
zgodna z prawem
zmian w budżecie na 2015 rok
230 Ostrówek
gmina
X/49/2015
20-10-2015
zgodna z prawem
zmian w budżecie na 2015 rok
231 Ostrówek
gmina
X/50/2015
20-10-2015
zgodna z prawem
zmian w wieloletniej prognozie finansowej
232 Parczew
miasto
XIII/87/2015
22-10-2015
zgodna z prawem
zmian w budżecie na 2015 rok
233 parczewski
powiat
XII/71/2015
20-10-2015
zgodna z prawem
udzielenia pomocy finansowej lub rzeczowej innym jednostkom samorządu
terytorialnego
234 parczewski
powiat
XII/72/2015
20-10-2015
zgodna z prawem
zmian w budżecie na 2015 rok
powiat
XII/73/2015
235 parczewski
20-10-2015
zgodna z prawem
zmian w wieloletniej prognozie finansowej
236 Poniatowa
miasto i gmina X/74/15
23-10-2015
zgodna z prawem
zmian w wieloletniej prognozie finansowej
237 Poniatowa
miasto i gmina X/75/15
23-10-2015
zgodna z prawem
zmian w budżecie na 2015 rok
238 Poniatowa
miasto i gmina X/76/15
23-10-2015
zgodna z prawem
wyrażenia intencji partycypacji w kosztach przebudowy drogi powiatowej w 2016
roku
239 Potok Wielki
gmina
IX/60/2015
28-10-2015
zgodna z prawem
udzielenia pomocy finansowej lub rzeczowej innym jednostkom samorządu
terytorialnego
240 Potok Wielki
gmina
IX/61/2015
28-10-2015
zgodna z prawem
zmian w wieloletniej prognozie finansowej
241 Potok Wielki
gmina
IX/62/2015
28-10-2015
zgodna z prawem
zmian w budżecie na 2015 rok
242 puławski
powiat
XI/85/15
28-10-2015
zgodna z prawem
trybu udzielania i rozliczania dotacji oświatowych
243 puławski
powiat
XI/87/15
28-10-2015
zgodna z prawem
udzielenia pomocy finansowej lub rzeczowej innym jednostkom samorządu
terytorialnego
244 puławski
powiat
XI/90/15
28-10-2015
zgodna z prawem
zmian w budżecie na 2015 rok
245 Puławy
gmina
IX/49/2015
21-10-2015
zgodna z prawem
zmian w budżecie na 2015 rok
246 Puławy
gmina
IX/50/2015
21-10-2015
zgodna z prawem
zmian w wieloletniej prognozie finansowej
247 Puławy
gmina
IX/52/2015
21-10-2015
zgodna z prawem
ustalenia trybu udzielania i rozliczania dotacji dla publicznych i niepublicznych
podmiotów oświatowych oraz zakresu i trybu kontroli prawidłowości ich pobrania i
wykorzystania
248 Radecznica
gmina
X/51/2015
16-10-2015
zgodna z prawem
zmian w budżecie na 2015 rok
249 Radecznica
gmina
X/52/2015
16-10-2015
zgodna z prawem
zmian w wieloletniej prognozie finansowej
250 Radzyń Podlaski
gmina
XV/70/2015
27-10-2015
zgodna z prawem
zmian w budżecie na 2015 rok
251 Radzyń Podlaski
gmina
XV/71/2015
27-10-2015
zgodna z prawem
zmian w wieloletniej prognozie finansowej
252 Radzyń Podlaski
miasto
XIII/70/2015
28-10-2015
zgodna z prawem
zmian w budżecie na 2015 rok
253 Radzyń Podlaski
miasto
XIII/71/2015
28-10-2015
zgodna z prawem
zmian w wieloletniej prognozie finansowej
254 radzyński
powiat
XI/46/2015
29-10-2015
zgodna z prawem
zmian w budżecie na 2015 rok
255 radzyński
powiat
XI/47/2015
29-10-2015
zgodna z prawem
zmian w wieloletniej prognozie finansowej
256 Rejowiec
gmina
VIII/47/2015
26-10-2015
zgodna z prawem
zmian w budżecie na 2015 rok
257 Rejowiec
gmina
VIII/48/2015
26-10-2015
zgodna z prawem
udzielenia pomocy finansowej lub rzeczowej innym jednostkom samorządu
terytorialnego
258 Rejowiec
gmina
VIII/49/2015
26-10-2015
zgodna z prawem
zmian w wieloletniej prognozie finansowej
259 Rejowiec Fabryczny
gmina
V/29/2015
6-03-2015
zgodna z prawem
udzielenia pomocy finansowej lub rzeczowej innym jednostkom samorządu
terytorialnego
260 Rejowiec Fabryczny
gmina
XI/68/2015
16-10-2015
zgodna z prawem
udzielenia pomocy finansowej lub rzeczowej innym jednostkom samorządu
terytorialnego
261 Rejowiec Fabryczny
gmina
XI/71/2015
16-10-2015
zgodna z prawem
wprowadzenia opłaty targowej i określenia zasad ustalania i poboru oraz terminów
płatności, wysokości stawek opłaty, zarządzenia jej poboru w drodze inkasa oraz
określenia inkasenta opłaty targowej
262 Rejowiec Fabryczny
gmina
XI/72/2015
16-10-2015
zgodna z prawem
zmian w budżecie na 2015 rok
263 Rejowiec Fabryczny
miasto
XIII/42/15
12-10-2015
zgodna z prawem
zmian w budżecie na 2015 rok
264 Rossosz
gmina
VII/42/2015
30-09-2015
zgodna z prawem
zmian w budżecie na 2015 rok
265 Rossosz
gmina
VII/43/2015
30-09-2015
zgodna z prawem
zmian w wieloletniej prognozie finansowej
266 rycki
powiat
XII/60/15
27-10-2015
zgodna z prawem
zmian w budżecie na 2015 rok
267 Ryki
miasto
XIV/78/15
12-10-2015
zgodna z prawem
zmian w budżecie na 2015 rok
268 Ryki
miasto
XIV/81/15
12-10-2015
zgodna z prawem
przystąpienia do realizacji inwestycji pod nazwą „Poprawa spójności
komunikacyjnej i zapewnienie bezpieczeństwa poprzez przebudowę gminnych
ciągów drogowych i pieszych łączących sołectwo Jarmołówka w m. Ryki z drogą
krajową Nr 17 poprzez drogę powiatową N
269 Ryki
miasto
XV/88/15
27-10-2015
zgodna z prawem
zmian w budżecie na 2015 rok
270 Ryki
miasto
XV/89/15
27-10-2015
zgodna z prawem
udzielenia pomocy finansowej lub rzeczowej innym jednostkom samorządu
terytorialnego
271 Siedliszcze
gmina
XI/65/15
27-10-2015
zgodna z prawem
udzielenia pomocy finansowej lub rzeczowej innym jednostkom samorządu
terytorialnego
272 Siedliszcze
gmina
XI/66/15
27-10-2015
zgodna z prawem
obniżenia średniej ceny skupu żyta przyjmowanej do obliczenia podatku rolnego
na 2016 rok
273 Siedliszcze
gmina
XI/67/15
27-10-2015
zgodna z prawem
określenia wysokości rocznych stawek podatku od środków transportowych
274 Siedliszcze
gmina
XI/68/15
27-10-2015
zgodna z prawem
wprowadzenia opłaty targowej i określenia zasad ustalania i poboru oraz terminów
płatności, wysokości stawek opłaty, zarządzenia jej poboru w drodze inkasa oraz
określenia inkasenta opłaty targowej
275 Siemień
gmina
VIII/39/2015
30-10-2015
zgodna z prawem
zmian w budżecie na 2015 rok
276 Siennica Różana
gmina
VIII/49/2015
19-10-2015
zgodna z prawem
udzielenia pomocy finansowej lub rzeczowej innym jednostkom samorządu
terytorialnego
277 Sitno
gmina
XIV/78/2015
29-10-2015
zgodna z prawem
zmian w budżecie na 2015 rok
278 Sitno
gmina
XIV/79/2015
29-10-2015
zgodna z prawem
zmian w wieloletniej prognozie finansowej
279 Spiczyn
gmina
VII.53.2015
28-10-2015
zgodna z prawem
zmian w budżecie na 2015 rok
280 Stary Brus
gmina
VII/30/15
29-10-2015
zgodna z prawem
udzielenia pomocy finansowej lub rzeczowej innym jednostkom samorządu
terytorialnego
281 Stary Brus
gmina
VII/31/15
29-10-2015
zgodna z prawem
zmian w wieloletniej prognozie finansowej
282 Stary Brus
gmina
VII/32/15
29-10-2015
zgodna z prawem
zmian w budżecie na 2015 rok
283 Stoczek Łukowski
gmina
XIII/74/2015
27-10-2015
zgodna z prawem
zmian w wieloletniej prognozie finansowej
284 Stoczek Łukowski
gmina
XIII/75/2015
27-10-2015
zgodna z prawem
zmian w budżecie na 2015 rok
285 Stoczek Łukowski
gmina
XIII/76/2015
27-10-2015
zgodna z prawem
zaciągnięcia zobowiązania w budżecie na 2016 rok
286 Stoczek Łukowski
miasto
X/46/2015
30-10-2015
zgodna z prawem
wprowadzenia opłaty targowej i określenia zasad ustalania i poboru oraz terminów
płatności, wysokości stawek opłaty, zarządzenia jej poboru w drodze inkasa oraz
określenia inkasenta opłaty targowej
287 Stoczek Łukowski
miasto
X/48/2015
30-10-2015
zgodna z prawem
zmian w budżecie na 2015 rok
288 Stoczek Łukowski
miasto
X/49/2015
30-10-2015
zgodna z prawem
zmian w wieloletniej prognozie finansowej
289 Strzyżewice
gmina
XII/68/15
23-10-2015
zgodna z prawem
zmian w budżecie na 2015 rok
290 Strzyżewice
gmina
XII/69/15
23-10-2015
zgodna z prawem
zmian w wieloletniej prognozie finansowej
291 Strzyżewice
gmina
XII/70/15
23-10-2015
zgodna z prawem
zaciągnięcia/udzielenia kredytu lub pożyczki
292 Strzyżewice
gmina
XII/72/15
23-10-2015
zgodna z prawem
udzielenia pomocy finansowej lub rzeczowej innym jednostkom samorządu
terytorialnego
293 Strzyżewice
gmina
XIII/74/15
6-11-2015
zgodna z prawem
obniżenia średniej ceny skupu żyta przyjmowanej do obliczenia podatku rolnego
na 2016 rok
294 Strzyżewice
gmina
XIII/75/15
6-11-2015
zgodna z prawem
określenia wysokości stawek podatku od nieruchomości na 2016 rok
295 Strzyżewice
gmina
XIII/76/15
6-11-2015
zgodna z prawem
określenia wzorów deklaracji i informacji podatkowych w zakresie podatku
od nieruchomości, rolnego i leśnego
296 Strzyżewice
gmina
XIII/77/15
6-11-2015
zgodna z prawem
określenia wysokości stawek podatku od środków transportowych na 2016 rok
297 Strzyżewice
gmina
XIII/78/15
6-11-2015
zgodna z prawem
wprowadzenia zwolnień od podatku od środków transportowych
298 Strzyżewice
gmina
XIII/80/15
6-11-2015
zgodna z prawem
zmian w budżecie na 2015 rok
299 Szczebrzeszyn
miasto
XII/71/2015
2-11-2015
zgodna z prawem
obniżenia średniej ceny skupu żyta przyjmowanej do obliczenia podatku rolnego
na 2016 rok
300 Szczebrzeszyn
miasto
XII/72/2015
2-11-2015
zgodna z prawem
określenia wysokości stawek podatku od nieruchomości na 2016 rok
301 Szczebrzeszyn
miasto
XII/73/2015
2-11-2015
zgodna z prawem
określenia wysokości stawek podatku od środków transportowych na 2016 rok
302 Szczebrzeszyn
miasto
XII/74/2015
2-11-2015
zgodna z prawem
określenia wzorów deklaracji i informacji podatkowych w zakresie podatku
od nieruchomości, rolnego i leśnego
303 Szczebrzeszyn
miasto
XII/75/2015
2-11-2015
zgodna z prawem
wprowadzenia opłaty targowej i określenia zasad ustalania i poboru oraz terminów
płatności, wysokości stawek opłaty, zarządzenia jej poboru w drodze inkasa oraz
określenia inkasenta opłaty targowej
304 świdnicki
powiat
XIII/62/2015
27-10-2015
zgodna z prawem
zmian w wieloletniej prognozie finansowej
305 świdnicki
powiat
XIII/63/2015
27-10-2015
zgodna z prawem
zmian w budżecie na 2015 rok
306 Świdnik
miasto
XIV/103/2015
29-01-2015
zgodna z prawem
udzielenia pomocy finansowej lub rzeczowej innym jednostkom samorządu
terytorialnego
307 Świdnik
miasto
XIV/110/2015
29-01-2015
zgodna z prawem
zmian w wieloletniej prognozie finansowej
308 Świdnik
miasto
XIV/111/2015
29-01-2015
zgodna z prawem
zmian w budżecie na 2015 rok
309 Tarnogród
miasto i gmina XII/64/2015
27-10-2015
zgodna z prawem
zmian w wieloletniej prognozie finansowej
310 Tarnogród
miasto i gmina XII/65/2015
27-10-2015
zgodna z prawem
zmian w budżecie na 2015 rok
311 Telatyn
gmina
VII/45/2015
16-10-2015
zgodna z prawem
udzielenia pomocy finansowej lub rzeczowej innym jednostkom samorządu
terytorialnego
312 Telatyn
gmina
VII/46/2015
16-10-2015
zgodna z prawem
udzielenia pomocy finansowej lub rzeczowej innym jednostkom samorządu
terytorialnego
313 Telatyn
gmina
VII/47/2015
16-10-2015
zgodna z prawem
zmian w budżecie na 2015 rok
314 Telatyn
gmina
VII/48/2015
16-10-2015
zgodna z prawem
zmian w wieloletniej prognozie finansowej
315 Terespol
gmina
VII/48/2015
29-10-2015
zgodna z prawem
udzielenia pomocy finansowej lub rzeczowej innym jednostkom samorządu
terytorialnego
316 Terespol
gmina
VII/52/2015
29-10-2015
zgodna z prawem
udzielenia pomocy finansowej lub rzeczowej innym jednostkom samorządu
terytorialnego
317 tomaszowski
powiat
X/100/2015
16-10-2015
zgodna z prawem
udzielenia pomocy finansowej lub rzeczowej innym jednostkom samorządu
terytorialnego
318 tomaszowski
powiat
X/101/2015
16-10-2015
zgodna z prawem
udzielenia pomocy finansowej lub rzeczowej innym jednostkom samorządu
terytorialnego
319 tomaszowski
powiat
X/102/2015
16-10-2015
zgodna z prawem
udzielenia pomocy finansowej lub rzeczowej innym jednostkom samorządu
terytorialnego
320 tomaszowski
powiat
X/103/2015
16-10-2015
zgodna z prawem
udzielenia pomocy finansowej lub rzeczowej innym jednostkom samorządu
terytorialnego
321 tomaszowski
powiat
X/104/2015
16-10-2015
zgodna z prawem
udzielenia pomocy finansowej lub rzeczowej innym jednostkom samorządu
terytorialnego
322 tomaszowski
powiat
X/105/2015
16-10-2015
zgodna z prawem
udzielenia pomocy finansowej lub rzeczowej innym jednostkom samorządu
terytorialnego
323 tomaszowski
powiat
X/106/2015
16-10-2015
zgodna z prawem
udzielenia pomocy finansowej lub rzeczowej innym jednostkom samorządu
terytorialnego
324 tomaszowski
powiat
X/107/2015
16-10-2015
zgodna z prawem
udzielenia pomocy finansowej lub rzeczowej innym jednostkom samorządu
terytorialnego
325 tomaszowski
powiat
X/108/2015
16-10-2015
zgodna z prawem
udzielenia pomocy finansowej lub rzeczowej innym jednostkom samorządu
terytorialnego
326 tomaszowski
powiat
X/95/2015
16-10-2015
zgodna z prawem
zmian w wieloletniej prognozie finansowej
327 tomaszowski
powiat
X/96/2015
16-10-2015
zgodna z prawem
zmian w budżecie na 2015 rok
328 tomaszowski
powiat
X/97/2015
16-10-2015
zgodna z prawem
udzielenia pomocy finansowej lub rzeczowej innym jednostkom samorządu
terytorialnego
329 tomaszowski
powiat
X/98/2015
16-10-2015
zgodna z prawem
udzielenia pomocy finansowej lub rzeczowej innym jednostkom samorządu
terytorialnego
330 tomaszowski
powiat
X/99/2015
16-10-2015
zgodna z prawem
udzielenia pomocy finansowej lub rzeczowej innym jednostkom samorządu
terytorialnego
331 Tomaszów Lubelski
miasto
XIII/87/2015
23-10-2015
zgodna z prawem
udzielenia pomocy finansowej lub rzeczowej innym jednostkom samorządu
terytorialnego
332 Tomaszów Lubelski
miasto
XIII/91/2015
23-10-2015
zgodna z prawem
zmian w budżecie na 2015 rok
333 Tomaszów Lubelski
miasto
XIII/92/2015
23-10-2015
zgodna z prawem
zmian w wieloletniej prognozie finansowej
334 Tomaszów Lubelski
miasto
XIII/93/2015
23-10-2015
wszczęcie postępowania
nadzorczego
335 Trawniki
gmina
VIII/32/15
29-10-2015
zgodna z prawem
zmian w budżecie na 2015 rok
336 Trzebieszów
gmina
VII/54/2015
12-10-2015
zgodna z prawem
zmian w budżecie na 2015 rok
337 Trzeszczany
gmina
X/66/2015
29-10-2015
wszczęcie postępowania
nadzorczego
ustalenia trybu udzielania i rozliczania dotacji dla niepublicznych innych form
wychowania przedszkolnego prowadzonych na terenie gminy, dla których organem
prowadzącym jest organ inny niż Gmina oraz trybu i zakresu przeprowadzania
kontroli prawidłowości
określenia dziennej stawki opłaty miejscowej w 2016 roku
338 Trzeszczany
gmina
X/67/2015
29-10-2015
zgodna z prawem
ustalenia trybu udzielania i rozliczania dotacji dla publicznych szkół oraz oddziałów
przedszkolnych w publicznych szkołach podstawowych prowadzonych na terenie
gminy Trzeszczany przez osoby prawne inne niż jednostka samorządu
terytorialnego i osoby fizyczne oraz trybu i zakresu przeprowadzania kontroli
prawidłowości ich pobrania i wykorzystania
339 Trzeszczany
gmina
X/70/2015
29-10-2015
zgodna z prawem
zaciągnięcia/udzielenia kredytu lub pożyczki
340 Trzydnik Duży
gmina
XI/67/15
28-10-2015
zgodna z prawem
zmian w budżecie na 2015 rok
341 Tuczna
gmina
XI/44/2015
30-10-2015
zgodna z prawem
zmian w budżecie na 2015 rok
342 Tuczna
gmina
XI/45/2015
30-10-2015
zgodna z prawem
obniżenia średniej ceny skupu żyta przyjmowanej do obliczenia podatku rolnego
na 2016 rok
343 Tuczna
gmina
XI/46/2015
30-10-2015
zgodna z prawem
obniżenia średniej ceny sprzedaży drewna przyjmowanej do obliczenia podatku
leśnego na 2016 rok
344 Tuczna
gmina
XI/47/2015
30-10-2015
zgodna z prawem
określenia terminu, częstotliwości i trybu uiszczania opłaty za gospodarowanie
odpadami komunalnymi
345 Tuczna
gmina
XI/48/2015
30-10-2015
zgodna z prawem
wyboru metody ustalenia opłaty za gospodarowanie odpadami komunalnymi oraz
ustalenia wysokości tej opłaty
346 Turobin
gmina
XII/57/2015
29-10-2015
zgodna z prawem
wprowadzenia opłaty targowej i określenia zasad ustalania i poboru oraz terminów
płatności, wysokości stawek opłaty, zarządzenia jej poboru w drodze inkasa oraz
określenia inkasenta opłaty targowej
347 Turobin
gmina
XII/58/2015
29-10-2015
zgodna z prawem
obniżenia średniej ceny skupu żyta przyjmowanej do obliczenia podatku rolnego
na 2016 rok
348 Turobin
gmina
XII/59/2015
29-10-2015
zgodna z prawem
zmian w budżecie na 2015 rok
349 Turobin
gmina
XII/60/2015
29-10-2015
zgodna z prawem
określenia wysokości rocznych stawek podatku od środków transportowych
350 Ulan-Majorat
gmina
IX/41/2015
26-10-2015
zgodna z prawem
zmian w budżecie na 2015 rok
351 Ulan-Majorat
gmina
IX/42/2015
26-10-2015
zgodna z prawem
zmian w wieloletniej prognozie finansowej
143/2015
146/2015
352 Ulan-Majorat
gmina
IX/48/2015
26-10-2015
zgodna z prawem
obniżenia średniej ceny skupu żyta przyjmowanej do obliczenia podatku rolnego
na 2016 rok
353 Ulan-Majorat
gmina
IX/49/2015
26-10-2015
zgodna z prawem
określenia wysokości stawek podatku od środków transportowych na 2016 rok
354 Ulan-Majorat
gmina
IX/50/2015
26-10-2015
zgodna z prawem
określenia wzorów deklaracji i informacji podatkowych w zakresie podatku
od nieruchomości, rolnego i leśnego
355 Ulan-Majorat
gmina
IX/51/2015
26-10-2015
zgodna z prawem
wprowadzenia opłaty targowej i określenia zasad ustalania i poboru oraz terminów
płatności, wysokości stawek opłaty, zarządzenia jej poboru w drodze inkasa oraz
określenia inkasenta opłaty targowej
356 Ułęż
gmina
X/45/15
20-10-2015
zgodna z prawem
zmian w budżecie na 2015 rok
357 Urszulin
gmina
XII/53/2015
30-10-2015
zgodna z prawem
obniżenia średniej ceny skupu żyta przyjmowanej do obliczenia podatku rolnego
na 2016 rok
358 Uścimów
gmina
IX/43/15
28-10-2015
zgodna z prawem
zmian w budżecie na 2015 rok
359 Uścimów
gmina
IX/44/15
28-10-2015
zgodna z prawem
zmian w wieloletniej prognozie finansowej
360 Wąwolnica
gmina
X/49/15
26-10-2015
zgodna z prawem
zmian w budżecie na 2015 rok
361 Werbkowice
gmina
XIII/89/2015
28-10-2015
zgodna z prawem
zmian w budżecie na 2015 rok
362 Werbkowice
gmina
XIII/90/2015
28-10-2015
zgodna z prawem
zmian w wieloletniej prognozie finansowej
363 Wilkołaz
gmina
XI/55/15
30-10-2015
wszczęcie postępowania
nadzorczego
364 Wisznice
gmina
IX/48/2015
27-10-2015
zgodna z prawem
trybu udzielania i rozliczania dotacji dla niepublicznych przedszkoli, niepublicznych
innych form wychowania przedszkolnego oraz trybu i zakresu kontroli
prawidłowości ich pobrania i wykorzystania
365 Wisznice
gmina
IX/49/2015
27-10-2015
zgodna z prawem
zaciągnięcia/udzielenia kredytu lub pożyczki
366 Wisznice
gmina
IX/50/2015
27-10-2015
zgodna z prawem
zmian w wieloletniej prognozie finansowej
367 Wisznice
gmina
IX/52/2015
27-10-2015
zgodna z prawem
zmian w budżecie na 2015 rok
368 Włodawa
gmina
XV/80/15
28-10-2015
zgodna z prawem
udzielenia pomocy finansowej lub rzeczowej innym jednostkom samorządu
terytorialnego
369 Włodawa
gmina
XV/81/15
28-10-2015
zgodna z prawem
wprowadzenia zwolnień od podatku od nieruchomości na 2016 rok
370 Włodawa
gmina
XV/82/15
28-10-2015
zgodna z prawem
obniżenia średniej ceny skupu żyta przyjmowanej do obliczenia podatku rolnego
na 2016 rok
371 Włodawa
gmina
XV/83/15
28-10-2015
zgodna z prawem
określenia trybu i szczegółowych warunków zwolnienia od podatku rolnego
gruntów gospodarstw rolnych, na których zaprzestano produkcji rolnej
372 Włodawa
gmina
XV/84/15
28-10-2015
zgodna z prawem
zarządzenia poboru podatku od nieruchomości, rolnego i leśnego od osób
fizycznych w drodze inkasa, określenia inkasentów i wysokości wynagrodzenia za
inkaso
373 Włodawa
gmina
XV/85/15
28-10-2015
zgodna z prawem
określenia wysokości rocznych stawek podatku od środków transportowych
374 Włodawa
gmina
XV/86/15
28-10-2015
zgodna z prawem
wprowadzenia zwolnień od podatku od środków transportowych
375 Włodawa
gmina
XV/87/15
28-10-2015
zgodna z prawem
wprowadzenia opłaty targowej i określenia zasad ustalania i poboru oraz terminów
płatności, wysokości stawek opłaty, zarządzenia jej poboru w drodze inkasa oraz
określenia inkasenta opłaty targowej
376 Włodawa
gmina
XV/88/15
28-10-2015
zgodna z prawem
wprowadzenia opłaty miejscowej i określenia stawek, zasad ustalania i terminu
płatności opłaty oraz zarządzenia jej poboru w drodze inkasa
wprowadzania zwolnień od podatku od nieruchomości
142/2015
377 Włodawa
gmina
XV/89/15
28-10-2015
zgodna z prawem
wprowadzenia opłaty prolongacyjnej
378 Włodawa
miasto
XVI/63/15
22-10-2015
zgodna z prawem
zmian w budżecie na 2015 rok
379 Wohyń
gmina
X/57/2015
15-10-2015
zgodna z prawem
zmian w budżecie na 2015 rok
380 Wohyń
gmina
X/58/2015
15-10-2015
zgodna z prawem
udzielenia dotacji celowej na sfinansowanie prac konserwatorskich i
restauratorskich przy zabytku wpisanym do rejestru zabytków
381 Wojciechów
gmina
XV/49/15
27-10-2015
zgodna z prawem
zmian w budżecie na 2015 rok
382 Wojcieszków
gmina
VIII/37/2015
30-10-2015
zgodna z prawem
zmian w wieloletniej prognozie finansowej
383 Wojcieszków
gmina
VIII/38/2015
30-10-2015
zgodna z prawem
zmian w budżecie na 2015 rok
384 Wola Mysłowska
gmina
VIII/34/2015
16-10-2015
zgodna z prawem
zmian w budżecie na 2015 rok
385 Wola Uhruska
gmina
IX/53/2015
29-10-2015
zgodna z prawem
określenia wysokości rocznych stawek podatku od środków transportowych
386 Wola Uhruska
gmina
IX/54/2015
29-10-2015
zgodna z prawem
wprowadzenia opłaty targowej i określenia zasad ustalania i poboru oraz terminów
płatności, wysokości stawek opłaty, zarządzenia jej poboru w drodze inkasa oraz
określenia inkasenta opłaty targowej
387 Wola Uhruska
gmina
IX/58/2015
29-10-2015
zgodna z prawem
udzielenia pomocy finansowej lub rzeczowej innym jednostkom samorządu
terytorialnego
388 Wólka
gmina
XIV/83/2015
16-10-2015
zgodna z prawem
zmian w budżecie na 2015 rok
389 Wólka
gmina
XIV/84/2015
16-10-2015
zgodna z prawem
zmian w wieloletniej prognozie finansowej
390 Wólka
gmina
XIV/85/2015
16-10-2015
zgodna z prawem
udzielenia pomocy finansowej lub rzeczowej innym jednostkom samorządu
terytorialnego
391 Wólka
gmina
XIV/86/2015
16-10-2015
zgodna z prawem
realizacji zadania pn „Przebudowa drogi gminnej nr 112458l klasy KDD - G od km
0+000 do km 2 +013,00 w miejscowości Biskupie - Kolonia (etap I)” w ramach
Programu rozwoju gminnej i powiatowej infrastruktury drogowej na lata 2016-2019
392 Zakrzówek
gmina
62/XII/2015
28-10-2015
zgodna z prawem
zmian w wieloletniej prognozie finansowej
393 Zakrzówek
gmina
63/XII/2015
28-10-2015
zgodna z prawem
zmian w budżecie na 2015 rok
394 Zakrzówek
gmina
65/XII/2015
28-10-2015
zgodna z prawem
udzielenia pomocy finansowej lub rzeczowej innym jednostkom samorządu
terytorialnego
395 Zakrzówek
gmina
66/XII/2015
28-10-2015
zgodna z prawem
udzielenia pomocy finansowej lub rzeczowej innym jednostkom samorządu
terytorialnego
396 Zalesie
gmina
VII/45/2015
27-10-2015
zgodna z prawem
zmian w budżecie na 2015 rok
397 Zalesie
gmina
VII/46/2015
27-10-2015
zgodna z prawem
zmian w wieloletniej prognozie finansowej
398 Zalesie
gmina
VII/47/2015
27-10-2015
zgodna z prawem
udzielenia pomocy finansowej lub rzeczowej innym jednostkom samorządu
terytorialnego
399 zamojski
powiat
VII/55/2015
28-10-2015
zgodna z prawem
zmian w budżecie na 2015 rok
400 zamojski
powiat
VII/56/2015
28-10-2015
zgodna z prawem
udzielenia pomocy finansowej lub rzeczowej innym jednostkom samorządu
terytorialnego
401 Zamość
gmina
XIV/100/15
27-10-2015
zgodna z prawem
udzielenia pomocy finansowej lub rzeczowej innym jednostkom samorządu
terytorialnego
402 Zamość
gmina
XIV/101/15
27-10-2015
zgodna z prawem
udzielenia pomocy finansowej lub rzeczowej innym jednostkom samorządu
terytorialnego
403 Zamość
gmina
XIV/102/15
27-10-2015
zgodna z prawem
ustalenia trybu udzielania i rozliczania dotacji dla publicznych i niepublicznych
podmiotów oświatowych oraz zakresu i trybu kontroli prawidłowości ich pobrania i
wykorzystania
404 Zamość
gmina
XIV/103/15
27-10-2015
zgodna z prawem
określenia wysokości stawek podatku od nieruchomości na 2016 rok
405 Zamość
gmina
XIV/104/15
27-10-2015
zgodna z prawem
wprowadzenia zwolnień od podatku od nieruchomości na 2016 rok
406 Zamość
gmina
XIV/105/15
27-10-2015
zgodna z prawem
wprowadzenia opłaty prolongacyjnej
407 Zamość
gmina
XIV/106/15
27-10-2015
zgodna z prawem
obniżenia średniej ceny skupu żyta przyjmowanej do obliczenia podatku rolnego
na 2016 rok
408 Zamość
gmina
XIV/107/15
27-10-2015
wszczęcie postępowania
nadzorczego
409 Zamość
gmina
XIV/98/15
27-10-2015
zgodna z prawem
zmian w wieloletniej prognozie finansowej
410 Zamość
gmina
XIV/99/15
27-10-2015
zgodna z prawem
zmian w budżecie na 2015 rok
opłaty targowej
411 Zamość
powiat grodzki XII/134/2015
26-10-2015
zgodna z prawem
wprowadzenia zwolnień od podatku od nieruchomości na 2016 rok (uchylająca)
412 Zamość
powiat grodzki XII/135/2015
26-10-2015
zgodna z prawem
określenia wzorów deklaracji i informacji podatkowych w zakresie podatku
od nieruchomości, rolnego i leśnego
413 Zamość
powiat grodzki XII/136/2015
26-10-2015
wszczęcie postępowania
nadzorczego
414 Zamość
powiat grodzki XII/137/2015
26-10-2015
zgodna z prawem
wprowadzenia zwolnień w podatku leśnym (uchylająca)
415 Zamość
powiat grodzki XII/138/2015
26-10-2015
zgodna z prawem
obniżenia średniej ceny skupu żyta przyjmowanej do obliczenia podatku rolnego
na 2016 rok
416 Zamość
powiat grodzki XII/139/2015
26-10-2015
zgodna z prawem
zmian w wieloletniej prognozie finansowej
417 Zamość
powiat grodzki XII/140/2015
26-10-2015
zgodna z prawem
zmian w budżecie na 2015 rok
418 Zwierzyniec
miasto i gmina XIII/83/15
29-10-2015
zgodna z prawem
udzielenia pomocy finansowej lub rzeczowej innym jednostkom samorządu
terytorialnego
419 Zwierzyniec
miasto i gmina XIII/84/15
29-10-2015
zgodna z prawem
zmian w wieloletniej prognozie finansowej
420 Zwierzyniec
miasto i gmina XIII/85/15
29-10-2015
zgodna z prawem
zmian w budżecie na 2015 rok
421 Zwierzyniec
miasto i gmina XIII/86/15
29-10-2015
zgodna z prawem
określenia wysokości stawek podatku od nieruchomości na 2016 rok
422 Zwierzyniec
miasto i gmina XIII/87/15
29-10-2015
zgodna z prawem
obniżenia średniej ceny skupu żyta przyjmowanej do obliczenia podatku rolnego
na 2016 rok
423 Zwierzyniec
miasto i gmina XIII/88/15
29-10-2015
zgodna z prawem
określenia wysokości stawek podatku od środków transportowych na 2016 rok
424 Zwierzyniec
miasto i gmina XIII/89/15
29-10-2015
zgodna z prawem
wprowadzenia opłaty targowej i określenia zasad ustalania i poboru oraz terminów
płatności, wysokości stawek opłaty, zarządzenia jej poboru w drodze inkasa oraz
określenia inkasenta opłaty targowej
425 Zwierzyniec
miasto i gmina XIII/90/15
29-10-2015
zgodna z prawem
określenia wzorów deklaracji i informacji podatkowych w zakresie podatku
od nieruchomości, rolnego i leśnego
wprowadzenia opłaty targowej i określenia zasad ustalania i poboru oraz terminów
płatności, wysokości stawek opłaty i zarządzenia jej poboru w drodze inkasa
426 Żółkiewka
gmina
IX/52/15
28-10-2015
zgodna z prawem
zmian w budżecie na 2015 rok
427 Żółkiewka
gmina
IX/53/15
28-10-2015
zgodna z prawem
zmian w wieloletniej prognozie finansowej
428 Żółkiewka
gmina
IX/59/15
28-10-2015
zgodna z prawem
obniżenia średniej ceny skupu żyta przyjmowanej do obliczenia podatku rolnego
na 2016 rok
429 Żółkiewka
gmina
IX/60/15
28-10-2015
zgodna z prawem
wprowadzenia zwolnień od podatku od nieruchomości na 2016 rok
147/2015
144/2015
430 Żółkiewka
gmina
IX/61/15
28-10-2015
wszczęcie postępowania
nadzorczego
określenia wysokości rocznych stawek podatku od środków transportowych
431 Żyrzyn
gmina
VII/44/2015
30-10-2015
zgodna z prawem
udzielenia pomocy finansowej lub rzeczowej innym jednostkom samorządu
terytorialnego
141//2015