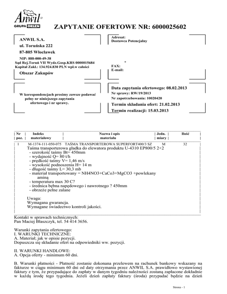
zapytanie ofertowe nr: 6000025602

Transkrypt

zapytanie ofertowe nr: 6000025602
ZAPYTANIE OFERTOWE NR: 6000025602
ANWIL S.A.
ul. Toruńska 222
87-805 Włocławek
NIP: 888-000-49-38
Sąd Rej.Toruń VII Wydz.Gosp.KRS 0000015684
Kapitał Zakł.: 134.924.830 PLN wpł.w całości
Obszar Zakupów
Adresat:
Dostawca Potencjalny
*
FAX:
E-mail:
Data zapytania ofertowego: 08.02.2013
W korespondencjach prosimy zawsze podawać
pełny nr niniejszego zapytania
ofertowego i nr sprawy.
Nr sprawy: RW/19/2013
Nr zapotrzebowania: 10020420
Termin składania ofert: 21.02.2013
Termin realizacji: 15.03.2013
__________________________________________________________________________________________________
| Nr |
Indeks
|
Nazwa i opis
| Jedn. |
Ilość
|
| poz. | materiałowy
|
materiału
| miary |
|
__________________________________________________________________________________________________
| 1
M-1374-111-050-075 TAŚMA TRANSPORTEROWA SUPERFORT400/3 SZ
M
32
|
|
Taśma transporterowa gładka do elewatora produktu U-4310 EP800/5 2+2
|
|
- szerokość taśmy Bt= 450mm
|
|
- wydajność Q= 80 t/h
|
|
- prędkość taśmy V= 1,46 m/s
|
|
- wysokość podnoszenia H= 14 m
|
|
- długość taśmy L= 30,3 mb
|
|
- materiał transportowany = NH4NO3+CaCo3+MgCO3 +powlekany
|
|
aminą
|
|
- temperatura max 30 C?
|
|
- średnica bębna napędowego i nawrotnego ? 450mm
|
|
- obrzeże pełne zalane
|
|
|
|
Uwaga:
|
|
Wymagana gwarancja.
|
|
Wymagane świadectwo kontroli jakości.
|
|__________________________________________________________________________________________________|
Kontakt w sprawach technicznych:
Pan Maciej Błaszczyk, tel. 54 414 3656.
Warunki zapytania ofertowego:
I. WARUNKI TECHNICZNE:
A. Materiał; jak w opisie pozycji.
Dopuszcza się składanie ofert na odpowiedniki ww. pozycji.
II. WARUNKI HANDLOWE:
A. Opcja oferty - minimum 60 dni.
B. Warunki płatności - Płatność zostanie dokonana przelewem na rachunek bankowy wskazany na
fakturze w ciągu minimum 60 dni od daty otrzymania przez ANWIL S.A. prawidłowo wystawionej
faktury z tym, że przypadające do zapłaty w danym tygodniu należności zostaną zapłacone dokładnie
w każdą środę tego tygodnia. Jeżeli dzień zapłaty faktury (środa) przypadać będzie na dzień
Strona - 1
Strona - 2
ZAPYTANIE OFERTOWE NR: 6000025602
__________________________________________________________________________________________________
ustawowo wolny od pracy, płatność nastąpi w następnym dniu roboczym po takim dniu.
C. Cena oferty DO NEGOCJACJI - w PLN lub w EUR (instrument wbudowany lub płatność w EUR
w Polsce lub za granicę Polski).
D. Oferent, który nie jest zarejestrowany w bazie dostawców ANWILU S.A., winien wraz z ofertą
złożyć kopię dokumentów rejestracyjnych swojej Firmy, podać zasięg działania, głównych klientów.
Każdy oferent winien przedstawić referencje na oferowany towar.
E. Oferta winna zawierać:
- przedmiot oferty, ilość, specyfikacja oferowanych materiałów, nazwa producenta,
- referencje,
- długość gwarancji,
- termin dostawy,
- oświadczenie, że w stosunku do oferenta nie wszczęto postępowania likwidacyjnego lub
upadłościowego
- oświadczenie, że oferent zapoznał się i akceptuje warunki niniejszego zapytania oraz proponowanej
treści Kontraktu.
- ilość, cena jednostkowa na bazie DDP Włocławek, wartość poszczególnych pozycji oraz wartość
ogółem oferty,
- kraj pochodzenia, kraj wysyłki, kod taryfy celnej,
- termin płatności,
- baza dostawy.
F. Oferta będzie oceniana pod względem przedstawionych powyżej warunków technicznych i
handlowych.
G. Prosimy o złożenie oferty lub przesłanie informacji o odstąpieniu od złożenia oferty na podany na
końcu dokumentu adres e-mail w terminie ofertowym oraz oryginał pocztą. Oferta winna być
podpisana przez osobę upoważnioną do reprezentacji oferenta w obrocie prawnym. Za datę złożenia
oferty uznaje się otrzymanie oferty e-mailem. Brak złożenia oferty w terminie ofertowym lub brak
oświadczenia o akceptacji warunków niniejszego zapytania może skutkować brakiem rozpatrzenia
oferty.
Oferent może złożyć tylko jedną ofertę.
H. W przypadku niejasności lub wątpliwości, co do zapytania ofertowego prosimy kontaktować się z
osobą prowadzącą sprawę, której dane znajdują się na końcu dokumentu.
I. W przypadku zawarcia kontraktu będą obowiązywać następujące warunki jego realizacji:
§1
Przedmiot i zakres Kontraktu
Przedmiotem niniejszego Kontraktu jest zakup i dostawa: wg poz. Kontraktu.
§2
Wartość Kontraktu
... PLN netto plus VAT zgodnie z przepisami obowiązującymi w dniu wystawienia faktury
Słownie: ... złotych.
§3
Wymagania techniczne
Zgodnie z ofertą nr .... oraz zapytaniem ofertowym.
Dokumenty zwiążane: oferta nr....
Strona - 3
ZAPYTANIE OFERTOWE NR: 6000025602
__________________________________________________________________________________________________
§4
Warunki płatności
Wartość kontraktu stała w PLN.
Płatność za towar zostanie dokonana na podstawie oryginału faktury VAT, wystawionej na wartość
netto zgodną z wartością kontraktu , powiększoną o kwotę należnego VAT. Faktura nie może być
wystawiona przed wysyłką towaru.
Płatność nastąpi w formie przelewu bankowego w terminie 60 dni, licząc od daty wystawienia ważnej
i poprawnej faktury na konto bankowe Sprzedawcy podane na fakturze, pod warunkiem, że dostawa
będzie zgodna z Kontraktem.
Faktury przypadające do zapłaty w danym tygodniu należności zostaną zapłacone w środę tego
tygodnia. Jeśli dzień zapłaty faktury (środa ) przypadać będzie na dzień ustawowo wolny od pracy,
płatność nastąpi w następnym dniu roboczym po takim dniu. Tym samym płatności, które przypadają
na poniedziałek lub wtorek opóźnione zostaną o 1-2 dni, natomiast płatności przypadające na
czwartek, piątek lub sobotę będą przyspieszone odpowiednio o 1, 2 lub 3 dni.
Dla dostawy niezgodnej z zamówieniem termin płatności faktury będzie liczony od momentu
usunięcia niezgodności/załatwienia reklamacji.
Strony ustalają, iż Sprzedawca nie może dokonać cesji wierzytelności pieniężnych wynikających z
niniejszego kontraktu na osoby trzecie bez zgody Kupującego.
Sprzedawca i Kupujący oświadczą, że są zarejestrowanymi podatnikami VAT czynnymi i
posiadającymi nr identyfikacyjne NIP wskazane w komparycji kontraktu.
Zobowiązuje się Sprzedawcę do:
Umieszczania na wszystkich wystawianych fakturach danych umożliwiających jednoznaczną
identyfikację komórki zamawiającej w ANWILU S.A., a więc faktury powinny zawierać:
numer kontraktu i nazwę komórki zamawiającej KUPUJĄCEGO - OBSZAR ZAKUPÓW
Sporządzania dobrych jakościowo dokumentów.
Faktury powinny być:
drukowane w postaci druku jednostronnego, na papierze najlepiej w kolorze białym, wypełnione, w
miarę możliwości - pismem maszynowym, a nie odręcznym, drukowane czytelnie, wyraźnie
(odpowiedni rozmiar czcionki, dobra jakość tuszu itp.
List z oryginałem faktury należy wysłać na BIURO ZARZĄDZANIA FINANSAMI
ANWILU S.A. w kopercie z dopiskiem faktura (prosimy nie dołączać oryginału faktury do towaru).
§5
Baza dostawy:
DDP Włocławek, Magazyn Surowców i Materiałów Pomocniczych zgodnie z INCOTERMS 2010.
Magazyn czynny jest w dni robocze, w godz. 7.00 do 14.30, tel. 054/2373744, 054/2372235 i
695020748.
§6
Termin dostawy:
.... tygodnie od daty podpisania kontraktu przez obie Strony.
Za zrealizowaną dostawę uważa się datę dostarczenia towaru i dokumentacji technicznej,
spełniających wymagania kontraktu .
§7
Awizacja, opakowanie i oznaczenie dostawy
1. Dokumenty dostawy; kopia listu przewozowego oraz kopia specyfikacji lub WZ z nazwą towaru
zgodną z opisem w pozycjach kontraktu, wagą netto/brutto, ilością i wymiarami opakowania,
numerem kontraktu, nazwą i adresem Kupującego oraz Sprzedawcy. Instrukcja rozładunkowa dla
towarów wymagających specjalnego rozładunku.
Strona - 4
ZAPYTANIE OFERTOWE NR: 6000025602
__________________________________________________________________________________________________
2. Dostawa wymaga awizacji w formie kopii specyfikacji lub WZ.
3. Wymagane jest opakowanie standardowe wg przepisów o transporcie dla rodzaju towaru objętego
kontraktem, zapewniające jego bezpieczne przemieszczanie w normalnych warunkach przewożenia i
rozładunku oraz zabezpieczające przed jego uszkodzeniem.
4. Przesyłka powinna być oznakowana w następujący sposób:
ANWIL S.A.
ul. Toruńska 222,87-805 Włocławek,
Magazyn Surowców i Materiałów Pomocniczych
Nazwa towaru zgodna z opisem w pozycjach kontraktu. Waga netto/brutto, numer kontraktu, nazwa i
adres Sprzedawcy.
Wszystkie opakowania wymagające ostrożności przy rozładunku muszą być dodatkowo oznakowane:
"góra", "nie wywracać", "przemieszczać z zachowaniem ostrożności", itp.
5. W przypadku; braku awizacji, niewłaściwie wypełnionych dokumentów dostawy, oznakowania
niezgodnego z zamówieniem przesyłka może zostać odesłana do Sprzedawcy na jego koszt i ryzyko.
§8
Gwarancja
1. Sprzedawca udziela Kupującemu 12 miesięcznej gwarancji na dostarczone materiały/ towary/
urządzenia, licząc od daty ich zakupu.
2. Wszelkie wady sprzedanych i dostarczonych przez Sprzedawcę urządzeń/ materiałów/towarów,
będą zgłaszane w okresie gwarancji, w terminie 14 dni od daty ich wykrycia. Kupujący poinformuje
Sprzedawcę o wystąpieniu wady w formie pisemnej.
3. Sprzedawca rozpatrzy zgłoszenie wady w terminie 14 dni roboczych od jej zgłoszenia. W
wypadku braku zajęcia stanowiska przez Sprzedawcę wobec zgłoszonej wady w ww. terminie,
Sprzedawca zapłaci Kupującemu karę umowną w wysokości 0,2% wynagrodzenia netto określonego
w § 2 kontraktu, za każdy dzień zwłoki w rozpatrzeniu zgłoszenia wady.
4. Sprzedawca zobowiązany jest na swój koszt usunąć wadę sprzedanego urządzenia/ materiału/
towaru w terminie 45 dni od rozpatrzenia zgłoszenia wady, lub wymienić towar/ urządzenie/
materiał, który nie da się naprawić, w terminie 45 dni od rozpatrzenia zgłoszenia wady.
5. Sprzedawca wymieni urządzenie/materiał/towar wadliwy na wolny od wad, jeżeli
urządzenie/materiał/towar był już 2 razy naprawiany, a nadal wykazuje wadliwość uniemożliwiającą
użytkowanie go zgodnie z przeznaczeniem, w terminie 14 dni od dnia zgłoszenia bezskuteczności
naprawy.
6. W wypadku gdyby Sprzedawca nie usunął wady lub nie wymienił wadliwego towaru w terminach
określonych powyżej, Sprzedawca zapłaci Kupującemu karę umowną w wysokości 0,2%
wynagrodzenia netto określonego w § 2 za każdy dzień zwłoki w usunięciu wady lub braku wymiany
wadliwego towaru.
7. Każdy okres, w którym urządzenie/towar/materiał nie będzie się nadawać do wykorzystania ze
względu na dostarczone przez Sprzedawcę wadliwe materiały, wydłuży okres gwarancji o czas równy
długości tego okresu nieprzydatności do eksploatacji.
§9
Warunki reklamacyjne
1) reklamacja ilościowa będzie zgłoszona w ciągu 14 dni od daty dostawy do ANWILU S.A.
Uszkodzenie opakowania będzie potwierdzone przez przewoźnika i magazyn na liście przewozowym.
2) Sprzedawca rozpatrzy reklamację w terminie 7 dni roboczych od jej zgłoszenia.
§ 10
Kary umowne
1. W przypadku nie wykonania przedmiotu Kontraktu w terminie określonym w § 6 Kupujący będzie
miał prawo naliczyć i potrącić z wynagrodzenia wymienionego w § 2 równowartość 0,2%
wynagrodzenia netto, za każdy dzień zwłoki w realizacji Kontraktu i wystawi notę obciążeniową. Tak
wystawiony dokument będzie podstawą do dokonania potrącenia z płatności na rzecz Sprzedawcy.
2. W przypadku odstąpienia od Kontraktu przez Kupującego z winy Sprzedawcy, Sprzedawca zapłaci
na rzecz Kupującego karę umowną w wysokości 10% wynagrodzenia netto określonego w § 2.
3. W przypadku odstąpienia od Kontraktu przez Sprzedawcę z winy Kupującego, Kupujący zapłaci na
Strona - 5
ZAPYTANIE OFERTOWE NR: 6000025602
__________________________________________________________________________________________________
rzecz Sprzedawcy karę umowną w wysokości 10% wynagrodzenia netto określonego w § 2.
4. W przypadku faktycznego zerwania Kontraktu przez Kupującego bez winy Sprzedawcy, Kupujący
zapłaci karę umowną w wysokości 10% wynagrodzenia netto określonego w § 2.
5. W przypadku faktycznego zerwania Kontraktu przez Sprzedawcę bez winy Kupującego,
Sprzedawca zapłaci karę umowną w wysokości 10% wynagrodzenia netto określonego w § 2.
6. Niezależnie od zastrzeżonych powyżej kar umownych, Strony dopuszczają możliwość
dochodzenia odszkodowania do wartości wynagrodzenia netto określonego w § 2.
7. Za porozumieniem obu Stron dopuszcza się rozwiązanie Kontraktu bez stosowania kar umownych.
8. Strony mogą odstąpić od stosowania kar umownych.
§ 11
Rozstrzyganie sporów
Wszelkie spory wynikające z kontraktu będą rozstrzygane na drodze polubownych negocjacji. Spory,
których nie da się rozstrzygnąć, będą kierowane do rozstrzygnięcia przez Sąd Powszechny właściwy
miejscowo dla siedziby Kupującego.
§ 12
Prawo właściwe
W sprawach nie uregulowanych niniejszym kontraktem mają zastosowanie odpowiednie przepisy
Kodeksu Cywilnego i innych aktów prawnych obowiązujących na terenie RP.
§ 13
Zmiana kontraktu
Zmiany i uzupełnienia niniejszej kontraktu mogą nastąpić wyłącznie w formie pisemnej pod rygorem
nieważności.
§ 14
Postanowienia pozostałe
Niniejszy kontrakt sporządzono w dwóch jednobrzmiących egzemplarzach, po jednym dla każdej ze
Stron
i
jest
jedynym
obowiązującym
dokumentem.
ANWIL S.A. zastrzega sobie prawo do dowolnego wyboru podmiotu/podmiotów, z którymi
będą prowadzone negocjacje w odniesieniu do części lub całości zakresu złożonych odpowiedzi oraz
do zawarcia umowy z więcej niż jednym Dostawcą wyłonionym w drodze negocjacji, przy czym
zakres umowy może obejmować całość lub część zakresu złożonej odpowiedzi na zapytanie
ofertowe.
Wszystkie materiały przekazane oferentowi należy traktować jako poufne.Oferent nie będzie ich
ujawniał osobom trzecim i nie będzie wykorzystywał żadnych informacji dotyczących
Zamawiającego. Oferent jest odpowiedzialny za dochowanie obowiązku poufności przez wszystkie
osoby prawne i fizyczne biorące udział w opracowaniu oferty.
ANWIL S.A. zastrzega sobie prawo do odwołania lub zamknięcia procesu wyboru Dostawcy i
odstąpienia od negocjacji bez podania przyczyn. Z tego tytułu nie przysługują żadne roszczenia
wobec Zapraszającego.
Niniejsze zapytanie stanowi zaproszenie do negocjacji w rozumieniu art. 72 k.c., a tym samym nie
mają zastosowania przepisy dotyczące oferty w rozumieniu art.66 i n. k.c.
Sprawę prowadzi:
Roland Walczak
Tel. 54 414 21 53
Fax. 24 367 76 33
E-mail: [email protected]
Dokument został wygenerowany elektronicznie przez osobę prowadzącą sprawę i nie wymaga jej podpisu.