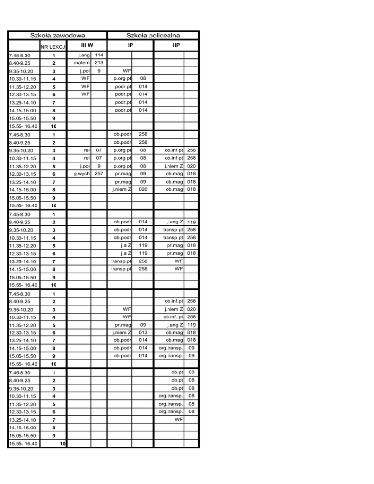
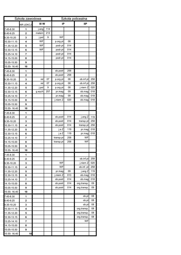
Szkoła policealna Szkoła zawodowa

Transkrypt

Szkoła policealna Szkoła zawodowa
Szkoła zawodowa
NR LEKCJI
Szkoła policealna
III W
IP
IIP
7.45-8.30
1
j.ang
114
8.40-9.25
2
matem
213
9.35-10.20
3
j.pol
10.30-11.15
4
WF
p.org pt
08
11.35-12.20
5
WF
podr.pt
014
12.30-13.15
6
WF
podr.pt
014
13.25-14.10
7
podr.pt
014
14.15-15.00
8
podr.pt
014
9
WF
15.05-15.50
9
15.55- 16.40
10
7.45-8.30
1
ob.podr
258
8.40-9.25
2
ob.podr
258
9.35-10.20
3
rel
07
p.org pt
08
10.30-11.15
4
rel
07
p.org pt
08
ob.inf pt 258
11.35-12.20
5
j.pol
9
p.org pt
08
j.niem Z 020
12.30-13.15
6
g.wych
257
pr.mag
09
ob.mag 018
13.25-14.10
7
pr.mag
09
ob.mag 018
14.15-15.00
8
j.niem Z
020
ob.mag 018
15.05-15.50
9
15.55- 16.40
10
7.45-8.30
1
8.40-9.25
2
ob.podr
014
j.ang Z 119
9.35-10.20
3
ob.podr
014
transp pt 258
10.30-11.15
4
ob.podr
014
transp pt 258
11.35-12.20
5
j.a Z
119
pr.mag 018
12.30-13.15
6
j.a Z
119
pr.mag 018
13.25-14.10
7
transp.pt
258
WF
14.15-15.00
8
transp.pt
258
WF
ob.inf pt 258
15.05-15.50
9
15.55- 16.40
10
7.45-8.30
1
8.40-9.25
2
9.35-10.20
3
WF
j.niem Z 020
10.30-11.15
4
WF
ob.inf. pt 258
11.35-12.20
5
pr.mag
09
j.ang Z 119
12.30-13.15
6
j.niem Z
013
ob.mag 018
13.25-14.10
7
ob.podr
014
14.15-15.00
8
ob.podr
014
org.transp.
09
15.05-15.50
9
ob.podr
014
org.transp.
09
15.55- 16.40
10
7.45-8.30
1
ob.pt
08
8.40-9.25
2
ob.pt
08
9.35-10.20
3
ob.pt
08
10.30-11.15
4
org.transp.
08
11.35-12.20
5
org.transp.
08
12.30-13.15
6
org.transp.
08
13.25-14.10
7
WF
14.15-15.00
8
15.05-15.50
9
15.55- 16.40
ob.inf.pt 258
10
ob.mag 018