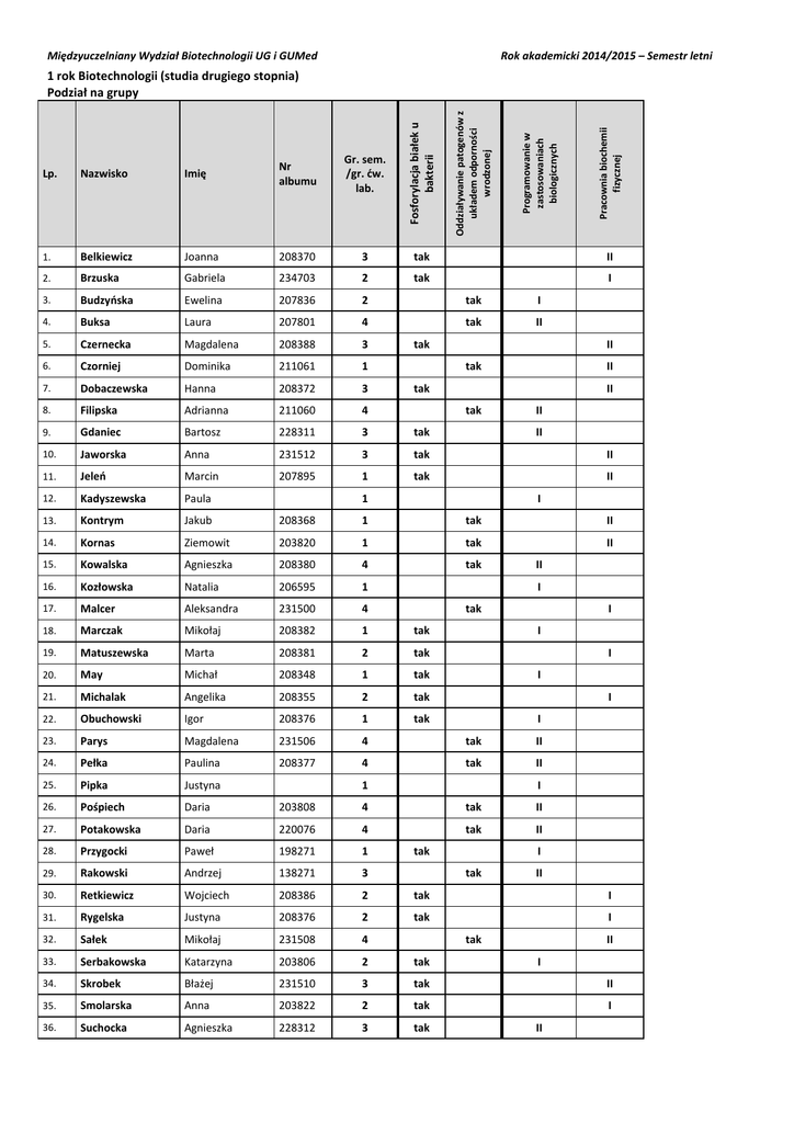
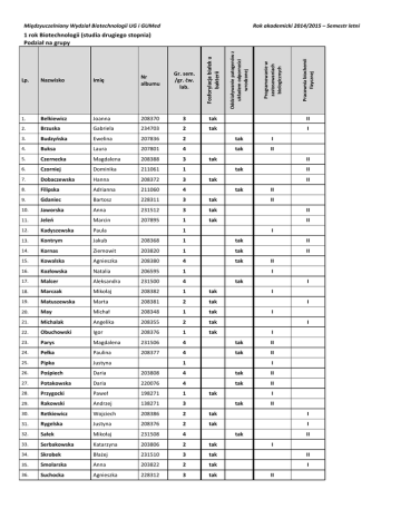
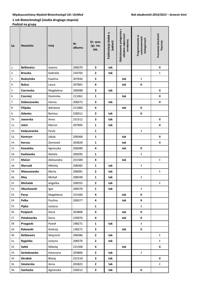
I rok Biotechnologii – semestr letni

Transkrypt

I rok Biotechnologii – semestr letni
Międzyuczelniany Wydział Biotechnologii UG i GUMed
Rok akademicki 2014/2015 – Semestr letni
Imię
Nr
albumu
Gr. sem.
/gr. ćw.
lab.
1.
Belkiewicz
Joanna
208370
3
tak
II
2.
Brzuska
Gabriela
234703
2
tak
I
3.
Budzyńska
Ewelina
207836
2
tak
I
4.
Buksa
Laura
207801
4
tak
II
5.
Czernecka
Magdalena
208388
3
6.
Czorniej
Dominika
211061
1
7.
Dobaczewska
Hanna
208372
3
8.
Filipska
Adrianna
211060
4
9.
Gdaniec
Bartosz
228311
3
tak
10.
Jaworska
Anna
231512
3
tak
II
11.
Jeleń
Marcin
207895
1
tak
II
12.
Kadyszewska
Paula
13.
Kontrym
Jakub
208368
1
tak
II
14.
Kornas
Ziemowit
203820
1
tak
II
15.
Kowalska
Agnieszka
208380
4
tak
16.
Kozłowska
Natalia
206595
1
17.
Malcer
Aleksandra
231500
4
18.
Marczak
Mikołaj
208382
1
tak
19.
Matuszewska
Marta
208381
2
tak
20.
May
Michał
208348
1
tak
21.
Michalak
Angelika
208355
2
tak
22.
Obuchowski
Igor
208376
1
tak
23.
Parys
Magdalena
231506
4
tak
II
24.
Pełka
Paulina
208377
4
tak
II
25.
Pipka
Justyna
26.
Pośpiech
Daria
203808
4
tak
II
27.
Potakowska
Daria
220076
4
tak
II
28.
Przygocki
Paweł
198271
1
29.
Rakowski
Andrzej
138271
3
30.
Retkiewicz
Wojciech
208386
2
tak
I
31.
Rygelska
Justyna
208376
2
tak
I
32.
Sałek
Mikołaj
231508
4
33.
Serbakowska
Katarzyna
203806
2
tak
34.
Skrobek
Błażej
231510
3
tak
II
35.
Smolarska
Anna
203822
2
tak
I
36.
Suchocka
Agnieszka
228312
3
tak
tak
Pracownia biochemii
fizycznej
Nazwisko
Programowanie w
zastosowaniach
biologicznych
Lp.
Fosforylacja białek u
bakterii
Oddziaływanie patogenów z
układem odporności
wrodzonej
1 rok Biotechnologii (studia drugiego stopnia)
Podział na grupy
II
tak
II
tak
II
tak
II
II
1
I
II
I
tak
I
I
I
I
I
I
1
I
tak
I
tak
II
tak
II
I
II
Imię
Nr
albumu
Gr. sem.
/gr. ćw.
lab.
37.
Wcisła
Kinga
208353
2
tak
38.
Węsławski
Jan
208384
3
39.
Witosławska
Jagoda
195291
3
tak
40.
Wolnikowska
Katarzyna
208374
2
tak
41.
Wróblewski
Maciej
198254
2
42.
Zieliński
Mikołaj
231504
1
Pracownia biochemii
fizycznej
Nazwisko
Programowanie w
zastosowaniach
biologicznych
Lp.
Oddziaływanie patogenów z
układem odporności
wrodzonej
Rok akademicki 2014/2015 – Semestr letni
Fosforylacja białek u
bakterii
Międzyuczelniany Wydział Biotechnologii UG i GUMed
I
tak
II
II
I
tak
I
I